Computing the Radar Cross-Section of Dielectric Targets Using the Gaussian Beam Summation Method
Abstract
1. Introduction
2. Materials and Methods
2.1. Formulation of the Problem and Notations
2.2. The Gaussian Beam Summation Method
2.2.1. The 2D GBS Method for a 2D Metallic Scatterer
2.2.2. Extension of the GBS Method for Dielectric Targets
2.2.3. Formulation of the 3D GBS Method
3. Numerical Results
3.1. Sensitivity Analysis of the GBS Method with the Parameters
- The wavelength ,
- The distance r between the receiver and the source (the object ),
- The number of discreet angles to approximate the integral N,
- The half-beam width .
3.2. RCS Computation of Metallic Targets Using the GBS Method
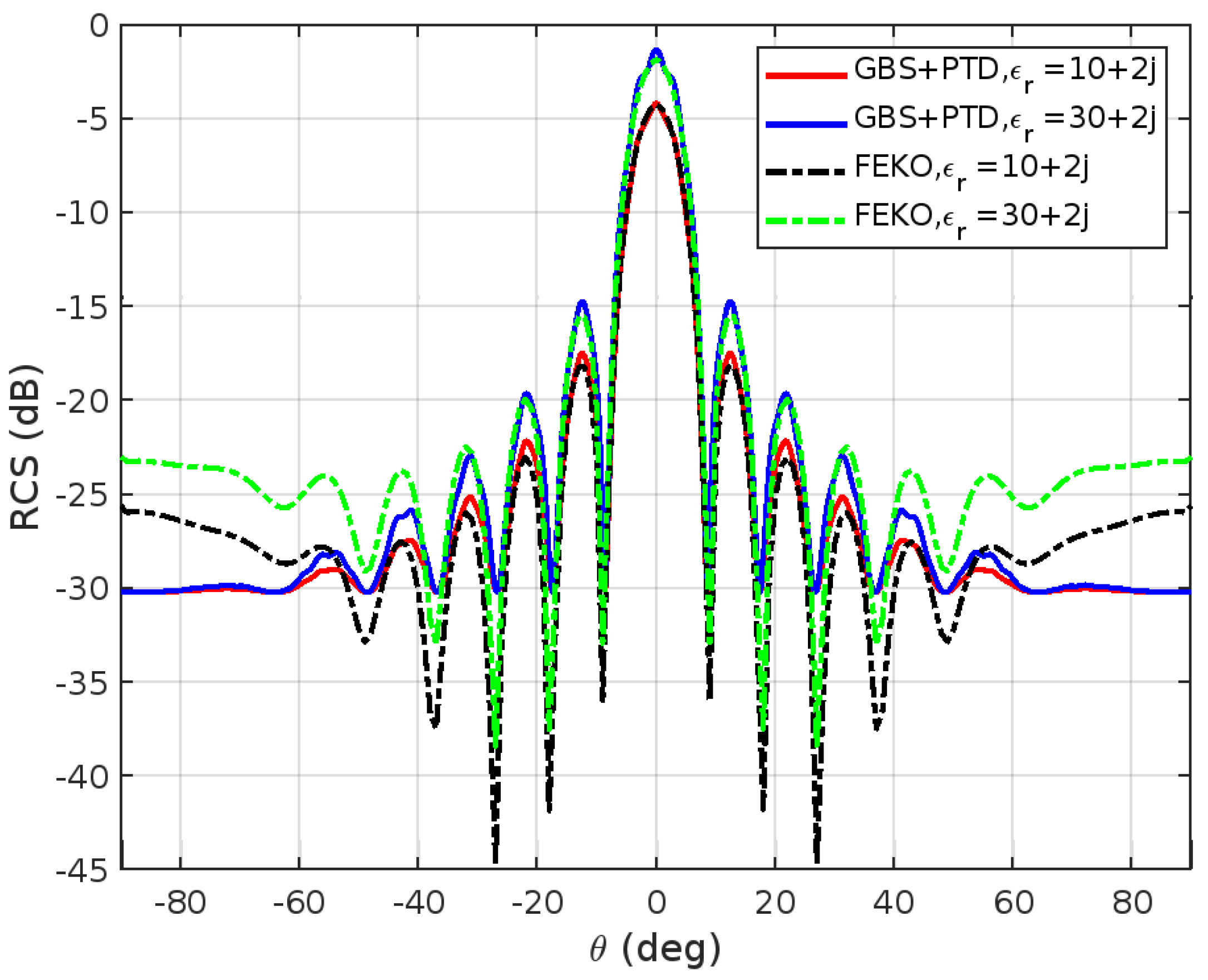
3.3. Numerical Analysis of the GBS Method to Compute the RCS of a Dielectric Cuboid
3.3.1. Trade-Off between Accuracy and Computational Cost
3.3.2. Exploring a Different Frequency Range
3.3.3. Numerical Validation with Existing Materials
4. Discussion and Conclusions
Author Contributions
Funding
Acknowledgments
Conflicts of Interest
Abbreviations
| RCS | Radar Cross-Section |
| MoM | Method of Moments |
| PO | Physical Optics |
| GO | Geometrical Optics |
| PTD | Physical Theory of Diffraction |
| GBS | Gaussian Beam Summation |
| GBL | Gaussian Beam Launching |
| PEC | Perfect Electrical Conductor |
| PCB | Printed Circuit Boards |
| FR4 | Flame Retardant 4 |
| ABS | Acrylonitrile Butadiene Styrene |
References
- Burkholder, R.; Tokgoz, C.; Reddy, C.J.; Coburn, W.O. Iterative physical optics for radar scattering predictions. ACES J. 2009, 24, 241–258. [Google Scholar]
- Hwang, J.-T.; Hong, S.-Y.; Song, J.-H.; Kwon, H.-W. Radar Cross Section analysis using physical optics and its applications to marine targets. J. Appl. Math. Phys. 2015, 3, 166–171. [Google Scholar] [CrossRef]
- Hamel, P.; Adam, J.P.; Kubické, G.; Pouliguen, P. Design of a stealth wind turbine. In Proceedings of the Loughborough Antennas & Propagation Conference (LAPC), Loughborough, UK, 12–13 November 2012. [Google Scholar]
- Dorn, O.; Lesselier, D. Level set methods for inverse scattering. Inverse Probl. 2006, 22, R67. [Google Scholar] [CrossRef]
- Gibson, W.C. The Method of Moments in Electromagnetics; Chapman and Hall/CRC: Boca Raton, FL, USA, 2021. [Google Scholar]
- Deschamps, G.A. Ray techniques in electromagnetics. Proc. IEEE 1972, 60, 1022–1035. [Google Scholar] [CrossRef]
- Nieto-Vesperinas, M. Scattering and Diffraction in Physical Optics, 2nd ed.; World Scientific Publishing: Singapore, 2006. [Google Scholar]
- Bennett, C.A. Principles of Physical Optics; John Wiley & Sons: Hoboken, NJ, USA, 2022. [Google Scholar]
- Luneburg, R.K. Mathematical Theory of Optics; University of California Press: Berkeley, CA, USA, 1966. [Google Scholar]
- Harrington, R.F. Time-Harmonic Electromagnetic Fields; IEEE Press: New York, NY, USA, 2001. [Google Scholar]
- Oodo, M.; Murasaki, T.; Ando, M. Errors of physical optics in shadow region-fictitious penetrating rays. IEICE Trans. Electron. 1994, 77, 995–1004. [Google Scholar]
- Keller, J.B. A geometrical theory of diffraction. In Calculus of Variations and Its Applications; McGraw-Hill: New York, NY, USA, 1958. [Google Scholar]
- Levy, B.R. Diffraction by a Smooth Object; New York University, Graduate School: New York, NY, USA, 1958. [Google Scholar]
- Kouyoumjian, R.G.; Pathak, P.H. A uniform geometrical theory of diffraction for an edge in a perfectly conducting surface. Proc. IEEE 1974, 62, 1448–1461. [Google Scholar] [CrossRef]
- Kouyoumjian, R.G.; Pathak, P.H.; Burnside, W.D. A uniform GTD for the diffraction by edges vertices and convex surfaces. In Theoretical Methods for Determining the Interaction of Electromagnetic Waves with Structures; Sijthoff and Noordhoff: Amsterdam, The Netherlands, 1981; pp. 497–561. [Google Scholar]
- Pathak, P.H. An asymptotic analysis of the scattering of plane waves by a smooth convex cylinder. Radio Sci. 1979, 14, 419–435. [Google Scholar] [CrossRef]
- Ufimtsev, P.Y. Fundamentals of the Physical Theory of Diffraction; John Wiley & Sons: Hoboken, NJ, USA, 2014. [Google Scholar]
- Ufimtsev, P.Y. Elementary edge waves and the physical theory of diffraction. Electromagnetics 1991, 11, 125–160. [Google Scholar] [CrossRef]
- Popov, M.M. A new method of computation of wave fields using Gaussian beams. Wave Motion 1982, 4, 85–97. [Google Scholar] [CrossRef]
- Cerveny, V. Gaussian beam synthetic seismograms. J. Geophys. 1985, 58, 44–72. [Google Scholar]
- Levy, M. Parabolic Equation Methods for Electromagnetic Wave Propagation; IEE: London, UK, 2000. [Google Scholar]
- White, B.S.; Norris, A.; Bayliss, A.; Burridge, R. Some remarks on the Gaussian beam summation method. Geophys. J. Int. 1987, 89, 579–636. [Google Scholar] [CrossRef]
- Chou, H.-T.; Pathak, P.H.; Burkholder, R.J. Novel Gaussian beam method for the rapid analysis of large reflector antennas. IEEE Trans. Antennas Propag. 2001, 49, 880–893. [Google Scholar] [CrossRef]
- Lugara, D.; Letrou, C.; Shlivinski, A.; Heyman, E.; Boag, A. Frame-based Gaussian beam summation method: Theory and applications. Radio Sci. 2003, 38, 27. [Google Scholar] [CrossRef]
- Fluerasu, A.; Letrou, C. Gaussian beam launching for 3D physical modeling of propagation channels. Ann. Telecommun. 2009, 64, 763–776. [Google Scholar] [CrossRef]
- L’Hour, C.-A.; Fabbro, V.; Chabory, A.; Sokoloff, J. 2-D propagation modeling in inhomogeneous refractive atmosphere based on gaussian beams part i: Propagation modeling. IEEE Trans. Antennas Propag. 2019, 67, 5477–5486. [Google Scholar] [CrossRef]
- Leye, P.O.; Khenchaf, A.; Pouliguen, P. Gaussian beam summation method vs. gaussian beam launching in high-frequency rcs of complex radar targets. In Proceedings of the 2016 IEEE International Geoscience and Remote Sensing Symposium (IGARSS), Beijing, China, 10–15 July 2016; pp. 2630–2633. [Google Scholar]
- Leye, P.O.; Khenchaf, A.; Pouliguen, P. RCS complex target, Gaussian beam summation method. In Proceedings of the EUCAP 2016, Davos, Switzerland, 10–15 April 2016. [Google Scholar]
- Leye, P.O.; Khenchaf, A.; Pouliguen, P. The Gaussian beam summation and the gaussian launching methods in scattering problem. J. Electromagn. Anal. Appl. 2016, 8, 219. [Google Scholar] [CrossRef]
- Kaissar Abboud, M.; Khenchaf, A.; Pouliguen, P. Gaussian beams formalism for high frequency scattering problems by metallic targets. In Proceedings of the IEEE Conference on Antenna Measurments and Applications, (CAMA 2021), Antibes Juan-les-Pins, France, 15–17 November 2021. [Google Scholar]
- Stratton, J.A.; Chu, L.J. Diffraction theory of electromagnetic waves. Phys. Rev. 1939, 56, 99. [Google Scholar] [CrossRef]
- Guo, L.-X.; Jiao, L.-C.; Wu, Z.-S. Electromagnetic scattering from two-dimensional rough surface using the Kirchhoff approximation. Chin. Phys. Lett. 2001, 18, 214. [Google Scholar]
- Mohammadzadeh, H.; Nezhad, A.Z.; Firouzeh, Z.H. Modified Physical Optics approximation for RCS calculation of electrically large objects with coated dielectric. J. Electr. Comput. Innov. JECEI 2015, 3, 115–122. [Google Scholar] [CrossRef]
- Hill, N.R. Gaussian beam migration. Geophysics 1990, 55, 1416–1428. [Google Scholar] [CrossRef]
- Erdelyi, A. Asymptotic representations of Fourier integrals and the method of stationary phase. J. Soc. Ind. Appl. Math. 1955, 3, 17–27. [Google Scholar] [CrossRef]
- Cerveny, V.; Popov, M.M.; Psencik, I. Computation of wave fields in inhomogeneous media—Gaussian beam approach. J. R. Astron. Soc. 1982, 70, 109–128. [Google Scholar] [CrossRef]
- Schelkunoff, S.A. On diffraction and radiation of electromagnetic waves. Phys. Rev. 1939, 56, 308. [Google Scholar] [CrossRef]
- Norris, A.N. Complex point-source representation of real point sources and the Gaussian beam summation method. JOSA A 1986, 3, 2005–2010. [Google Scholar] [CrossRef]
- Horwitz, A. A generalization of Simpson’s rule. Approx. Theory Its Appl. 1993, 9, 71–80. [Google Scholar]
- Nguyen, A.; Shirai, H. Electromagnetic scattering analysis from rectangular dielectric cuboids-TE polarization. IEICE Trans. Electron. 2016, 99, 11–17. [Google Scholar] [CrossRef]
- Quang, H.N.; Shirai, H. High frequency plane wave scattering analysis from dielectric cuboids—TM polarization. In Proceedings of the 2017 XXXIInd General Assembly and Scientific Symposium of the International Union of Radio Science (URSI GASS), Montreal, QC, Canada, 19–26 August 2017; pp. 1–4. [Google Scholar] [CrossRef]
- Apaydin, G.; Hacivelioglu, F.; Sevgi, L.; Gordon, W.B.; Ufimtsev, P.Y. Diffraction at a rectangular plate: First-order PTD approximation. IEEE Trans. Antennas Propag. 2016, 64, 1891–1899. [Google Scholar] [CrossRef]
- Murugesan, A.; Natarajan, D.; Selvan, K.T. Low-Cost, Wideband Checkerboard Metasurfaces for Monostatic RCS Reduction. IEEE Antennas Wirel. Propag. Lett. 2021, 20, 493–497. [Google Scholar] [CrossRef]
- Furlan, W.D.; Ferrando, V.; Monsoriu, J.A.; Zagrajek, P.; Czerwińska, E.; Szustakowski, M. 3D printed diffractive terahertz lenses. Opt. Lett. 2016, 41, 1748–1751. [Google Scholar] [CrossRef]
















| 0.62 | 4.4424 | 0.00079413 | 0.00079577 | 1.8231 | 1.8242 |
| 6.3 | 14.161 | 0.00079533 | 0.00079577 | −0.78806 | −0.79786 |
| 62.8 | 44.71 | 0.00074799 | 0.00079577 | −2.2372 | −2.5613 |
| r | |||||
|---|---|---|---|---|---|
| 100 | 14.161 | 0.00079524 | 0.00079577 | −0.78817 | −0.79786 |
| 200 | 20.0267 | 0.0003976 | 0.00039789 | −1.5913 | −1.5957 |
| 300 | 24.5277 | 0.000265 | 0.00026526 | −2.3912 | −2.3936 |
| 400 | 28.3221 | 0.00019869 | 0.00019894 | 3.093 | 3.0917 |
| 500 | 31.6651 | 0.0001589 | 0.00015915 | 2.2943 | 2.2939 |
| N | |||
|---|---|---|---|
| 121 | 0.6 | 0.00079546 | −0.78797 |
| 101 | 0.5 | 0.00079577 | −0.78761 |
| 81 | 0.4 | 0.0008022 | −0.8005 |
| 61 | 0.3 | 0.0008483 | −0.72034 |
| 41 | 0.2 | 0.00069109 | −0.4339 |
| 21 | 0.1 | 0.00025856 | −0.13658 |
| 44.7 | 0.00077651 | −1.0022 |
| 20 | 0.00079607 | −0.79492 |
| 14.1 | 0.00079535 | −0.78792 |
| 10 | 0.00079238 | −0.75847 |
| 7.1 | 0.00076108 | −0.66649 |
| 5.8 | 0.00070622 | −0.58019 |
Disclaimer/Publisher’s Note: The statements, opinions and data contained in all publications are solely those of the individual author(s) and contributor(s) and not of MDPI and/or the editor(s). MDPI and/or the editor(s) disclaim responsibility for any injury to people or property resulting from any ideas, methods, instructions or products referred to in the content. |
© 2023 by the authors. Licensee MDPI, Basel, Switzerland. This article is an open access article distributed under the terms and conditions of the Creative Commons Attribution (CC BY) license (https://creativecommons.org/licenses/by/4.0/).
Share and Cite
Kaissar Abboud, M.; Khenchaf, A.; Pouliguen, P.; Bonnafont, T. Computing the Radar Cross-Section of Dielectric Targets Using the Gaussian Beam Summation Method. Remote Sens. 2023, 15, 3663. https://doi.org/10.3390/rs15143663
Kaissar Abboud M, Khenchaf A, Pouliguen P, Bonnafont T. Computing the Radar Cross-Section of Dielectric Targets Using the Gaussian Beam Summation Method. Remote Sensing. 2023; 15(14):3663. https://doi.org/10.3390/rs15143663
Chicago/Turabian StyleKaissar Abboud, Mira, Ali Khenchaf, Philippe Pouliguen, and Thomas Bonnafont. 2023. "Computing the Radar Cross-Section of Dielectric Targets Using the Gaussian Beam Summation Method" Remote Sensing 15, no. 14: 3663. https://doi.org/10.3390/rs15143663
APA StyleKaissar Abboud, M., Khenchaf, A., Pouliguen, P., & Bonnafont, T. (2023). Computing the Radar Cross-Section of Dielectric Targets Using the Gaussian Beam Summation Method. Remote Sensing, 15(14), 3663. https://doi.org/10.3390/rs15143663

