Spectral Calibration for SO2 Cameras with Light Dilution Effect Correction
Abstract
1. Introduction
2. SO2 Camera
2.1. Theory
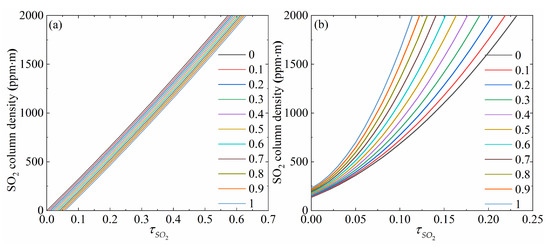
2.2. Light Dilution
3. OD Image Acquisition
4. Calibration
4.1. DOAS Calibration
4.2. Spectral Calibration
5. Inversion
5.1. Column Density Inversion
5.2. Speed Acquisition
5.3. Emission Rate Inversion
6. Discussion
6.1. Quantum Efficiency
6.2. Off-Axis System Sensitivity
7. Conclusions
Author Contributions
Funding
Data Availability Statement
Acknowledgments
Conflicts of Interest
References
- Liu, B.; Fu, A.; Yao, Z.; Qu, F.; Man, T. SO2 Column density retrieval algorithm using EMD and PCA with application in CEMS based on UV-DOAS. Optik 2018, 158, 273–282. [Google Scholar] [CrossRef]
- Anand, A.; Wei, P.; Gali, N.K.; Sun, L.; Yang, F.; Westerdahl, D.; Zhang, Q.; Deng, Z.; Wang, Y.; Liu, D.; et al. Protocol development for real-time ship fuel sulfur content determination using drone based plume sniffing microsensor system. Sci. Total Environ. 2020, 744, 140885. [Google Scholar] [CrossRef] [PubMed]
- Schmidt, S.; Kinne, J.; Lautenbach, S.; Blaschke, T.; Lenz, D.; Resch, B. Greenwashing in the US metal industry? A novel approach combining SO2 column densitys from satellite data, a plant-level firm database and web text mining. Sci. Total Environ. 2022, 835, 155512. [Google Scholar] [CrossRef] [PubMed]
- Krotkov, N.; Realmuto, V.; Li, C.; Seftor, C.; Li, J.; Brentzel, K.; Stuefer, M.; Cable, J.; Dierking, C.; Delamere, J.; et al. Day–Night Monitoring of Volcanic SO2 and Ash Clouds for Aviation Avoidance at Northern Polar Latitudes. Remote Sens. 2021, 13, 4003. [Google Scholar] [CrossRef]
- Elias, T.; Kern, C.; Horton, K.A.; Sutton, A.J.; Garbeil, H. Measuring SO2 Emission Rates at Kīlauea Volcano, Hawaii, Using an Array of Upward-Looking UV Spectrometers, 2014–2017. Front. Earth Sci. 2018, 6, 214. [Google Scholar] [CrossRef]
- Costa, A.; Suzuki, Y.J.; Koyaguchi, T. Understanding the plume dynamics of explosive super-eruptions. Nat. Commun. 2018, 9, 654. [Google Scholar] [CrossRef]
- Lierenfeld, M.B.; Zajacz, Z.; Bachmann, O.; Ulmer, P. Sulfur diffusion in dacitic melt at various oxidation states: Implications for volcanic degassing. Geochim. Et Cosmochim. Acta 2018, 226, 50–68. [Google Scholar] [CrossRef]
- Shreve, T.; Grandin, R.; Boichu, M.; Garaebiti, E.; Moussallam, Y.; Ballu, V.; Delgado, F.; Leclerc, F.; Vallée, M.; Henriot, N.; et al. From prodigious volcanic degassing to caldera subsidence and quiescence at Ambrym (Vanuatu): The influence of regional tectonics. Sci. Rep. 2019, 9, 18868. [Google Scholar] [CrossRef]
- Szakács, A.; Pécskay, Z.; Gál, Á. Patterns and trends of time–space evolution of Neogene volcanism in the Carpathian–Pannonian region: A review. Acta. Geod. Geophys. 2018, 53, 347–367. [Google Scholar] [CrossRef]
- Roberts, T.; Dayma, G.; Oppenheimer, C. Reaction Rates Control High-Temperature Chemistry of Volcanic Gases in Air. Front. Earth Sci. 2019, 7, 154. [Google Scholar] [CrossRef]
- Liu, Y.; Pellikka, P.K.E.; Li, H.; Fang, X. Detection of the dispersion and residence of volcanic SO2 and sulfate aerosol from Nabro in 2011. Atmos. Environ. 2019, 197, 36–44. [Google Scholar] [CrossRef]
- Seyler, A.; Wittrock, F.; Kattner, L.; Mathieu-Üffing, B.; Peters, E.; Richter, A.; Schmolke, S.; Burrows, J. Monitoring shipping emissions in the German Bight using MAX-DOAS measurements. Atmos. Chem. Phys. 2017, 17, 10997–11023. [Google Scholar] [CrossRef]
- Huret, N.; Segonne, C.; Payan, S.; Salerno, G.; Catoire, V.; Ferrec, Y.; Roberts, T.; Fossi, A.P.; Rodriguez, D.; Croizé, L.; et al. Infrared Hyperspectral and Ultraviolet Remote Measurements of Volcanic Gas Plume at MT Etna during IMAGETNA Campaign. Remote Sens. 2019, 11, 1175. [Google Scholar] [CrossRef]
- Wood, K.; Thomas, H.; Watson, M.; Calway, A.; Richardson, T.; Stebel, K.; Naismith, A.; Berthoud, L.; Lucas, J. Measurement of three dimensional volcanic plume properties using multiple ground based infrared cameras. ISPRS J. Photogramm. Remote Sens. 2019, 154, 163–175. [Google Scholar] [CrossRef]
- Somekawa, T.; Ichikawa, Y.; Ogita, M.; Sugimoto, S.; Chosrowjan, H.; Taniguchi, S.; Asahi, I. Flash resonance Raman lidar for SO2 gas leak detection. Opt. Commun. 2022, 513, 128083. [Google Scholar] [CrossRef]
- Wu, K.; Xiong, Y.; Feng, Y.; Yu, Y.; Li, F. Development of a self-calibration method for real-time monitoring of SO2 ship emissions with UV cameras. Opt. Express 2021, 29, 1813–1823. [Google Scholar] [CrossRef]
- Bluth, G.J.S.; Shannon, J.M.; Watson, I.M.; Prata, A.J.; Realmuto, V.J. Development of an ultraviolet digital camera for volcanic SO2 imaging. J. Volcanol. Geoth. Res. 2007, 161, 47–56. [Google Scholar] [CrossRef]
- Mori, T.; Burton, M. The SO2 camera: A simple, fast and cheap method for ground-based imaging of SO2 in volcanic plumes. Geophys. Res. Lett. 2006, 33, L17315. [Google Scholar] [CrossRef]
- Cao, K.; Zhang, Z.; Li, Y.; Zheng, Y.; Xie, M. Ship fuel sulfur content prediction based on convolutional neural network and ultraviolet camera images. Environ. Pollut. 2021, 273, 116501. [Google Scholar] [CrossRef]
- Kern, C.; Werner, C.; Elias, T.; Sutton, A.J.; Lübcke, P. Applying UV cameras for SO2 detection to distant or optically thick volcanic plumes. J. Volcanol. Geoth. Res. 2013, 262, 80–89. [Google Scholar] [CrossRef]
- Pering, T.D.; Liu, E.; Wood, K.; Wilkes, T.; Aiuppa, A.; Tamburello, G.; Bitetto, M.; Richardson, T.; McGonigle, A. Combined ground and aerial measurements resolve vent-specific gas fluxes from a multi-vent volcano. Nat. Commun. 2020, 11, 3039. [Google Scholar] [CrossRef] [PubMed]
- Thomas, H.E.; Prata, A.J. Computer vision for improved estimates of SO2 emission rates and plume dynamics. Int. J. Remote Sens. 2018, 39, 1285–1305. [Google Scholar] [CrossRef]
- Varnam, M.; Burton, M.; Esse, B.; Salerno, G.; Kazahaya, R.; Ibarra, M. Two Independent Light Dilution Corrections for the SO2 Camera Retrieve Comparable Emission Rates at Masaya Volcano, Nicaragua. Remote Sens. 2021, 13, 935. [Google Scholar] [CrossRef]
- Gliß, J.; Stebel, K.; Kylling, A.; Dinger, A.S.; Sihler, H.; Sudbø, A. Pyplis—A Python software toolbox for the analysis of SO2 camera images for emission rate retrievals from point sources. Geosciences 2017, 7, 134. [Google Scholar] [CrossRef]
- Gutmann, A.; Bobrowski, N.; Liotta, M.; Hoffmann, T. Bromine speciation in volcanic plumes: New in situ derivatization LC-MS method for the determination of gaseous hydrogen bromide by gas diffusion denuder sampling. Atmos. Meas. Tech. 2021, 14, 6395–6406. [Google Scholar] [CrossRef]
- Schiavo, B.; Stremme, W.; Grutter, M.; Campion, R.; Guarin, C.A.; Rivera, C.; Inguaggiato, S. Characterization of a UV camera system for SO2 measurements from Popocatépetl Volcano. J. Volcanol. Geoth. Res. 2021, 370, 82–94. [Google Scholar] [CrossRef]
- He, L.; Wu, H.; Li, J.; Li, B.; Sun, Y.; Jiang, P.; Wang, X.; Lin, G. Solid Particle Swarm Measurement in Jet Fuel Based on Mie Scattering Theory and Extinction Method. Sensors 2023, 23, 2837. [Google Scholar] [CrossRef]
- Mei, L.; Somesfalean, G.; Svanberg, S. Pathlength Determination for Gas in Scattering Media Absorption Spectroscopy. Sensors 2014, 14, 3871–3890. [Google Scholar] [CrossRef]
- Ilanko, T.; Pering, T.D.; Wilkes, T.; Woitischek, J.; D’Aleo, R.; Aiuppa, A.; McGonigle, A.; Edmonds, M.; Garaebiti, E. Ultraviolet Camera Measurements of Passive and Explosive (Strombolian) Sulphur Dioxide Emissions at Yasur Volcano, Vanuatu. Remote Sens. 2020, 12, 2703. [Google Scholar] [CrossRef]
- Prata, F. Measuring SO2 ship emissions with an ultraviolet imaging camera. Atmos. Meas. Tech. 2014, 7, 1213–1229. [Google Scholar] [CrossRef]
- Lübcke, P.; Bobrowski, N.; Illing, S.; Kern, C.; Nieves, J.; Vogel, L.; Zielcke, J.; Delgado Granados, H.; Platt, U. On the absolute calibration of SO2 cameras. Atmos. Meas. Tech. 2012, 5, 6183–6240. [Google Scholar] [CrossRef]
- Wu, K.; Feng, Y.; Xiong, Y.; Duan, W.; Yu, G.; Li, F. Real-time continuous calibration method for an ultraviolet camera. Opt. Lett. 2020, 45, 6851–6854. [Google Scholar] [CrossRef]
- Gliß, J.; Stebel, K.; Kylling, A.; Sudbø, A. Improved optical flow velocity analysis in SO2 camera images of volcanic plumes–implications for emission-rate retrievals investigated at Mt Etna, Italy and Guallatiri, Chile. Atmos. Meas. Tech. 2018, 11, 781–801. [Google Scholar] [CrossRef]
- Ostrikov, V.; Plakhotnikov, O.; Kirienko, A. Estimation of Spectral Resolution of Imaging Spectrometers from Fraunhofer Lines with the MODTRAN Atmospheric Model. Atmos. Ocean. Opt. 2019, 32, 622–627. [Google Scholar] [CrossRef]
- Zhang, G.; Chanson, H. Application of Local Optical Flow Methods to High-Velocity Free-surface Flows: Validation and Application to Stepped Chutes. Exp. Therm. Fluid Sci. 2018, 90, 186–199. [Google Scholar] [CrossRef]
- Peters, N.; Hoffmann, A.; Barnie, T.; Herzog, M.; Oppenheimer, C. Use of motion estimation algorithms for improved flux measurements using SO2 cameras. J. Volcanol. Geoth. Res. 2015, 300, 58–69. [Google Scholar] [CrossRef]
- Shao, L.; Wang, S.; Tang, G.; Xu, C. Influence of Particle Mie Scattering on Differential Optical Absorption Spectroscopy. Acta Opt. Sin. 2009, 29, 594. [Google Scholar] [CrossRef]
















| Camera | DOAS | ||
|---|---|---|---|
| UV Camera | Hamamatsu C8484-16C | Spectrometer | Ocean Optics USB 2000+ |
| On-band filter | Asahi UUX0310 | Telescope | f = 100 mm, (f/4) |
| Off-band filter | Asahi XBPA330 | Detector range | 200–1100 nm |
| Camera resolution | 1344 × 1024 | pixel | 2048 |
| UV lens (focal length) | 25 mm | Optical fibre | 400 µm |
Disclaimer/Publisher’s Note: The statements, opinions and data contained in all publications are solely those of the individual author(s) and contributor(s) and not of MDPI and/or the editor(s). MDPI and/or the editor(s) disclaim responsibility for any injury to people or property resulting from any ideas, methods, instructions or products referred to in the content. |
© 2023 by the authors. Licensee MDPI, Basel, Switzerland. This article is an open access article distributed under the terms and conditions of the Creative Commons Attribution (CC BY) license (https://creativecommons.org/licenses/by/4.0/).
Share and Cite
Wu, K.; Guo, J.; Zhang, Z.; Zhang, H.; Li, J.; Li, F.; He, W. Spectral Calibration for SO2 Cameras with Light Dilution Effect Correction. Remote Sens. 2023, 15, 3652. https://doi.org/10.3390/rs15143652
Wu K, Guo J, Zhang Z, Zhang H, Li J, Li F, He W. Spectral Calibration for SO2 Cameras with Light Dilution Effect Correction. Remote Sensing. 2023; 15(14):3652. https://doi.org/10.3390/rs15143652
Chicago/Turabian StyleWu, Kuijun, Jianjun Guo, Zihao Zhang, Huiliang Zhang, Juan Li, Faquan Li, and Weiwei He. 2023. "Spectral Calibration for SO2 Cameras with Light Dilution Effect Correction" Remote Sensing 15, no. 14: 3652. https://doi.org/10.3390/rs15143652
APA StyleWu, K., Guo, J., Zhang, Z., Zhang, H., Li, J., Li, F., & He, W. (2023). Spectral Calibration for SO2 Cameras with Light Dilution Effect Correction. Remote Sensing, 15(14), 3652. https://doi.org/10.3390/rs15143652
