The Uncertainty of SNO Cross-Calibration for Satellite Infrared Channels
Abstract
1. Introduction
2. SNO Cross-Calibration and Uncertainty Assessment Model
2.1. SNO Cross-Calibration Method
2.2. Derivation of a Generalized Model for SNO Cross-Calibration Uncertainty Assessment
3. Design of Simulation Test
3.1. HIRAS and MERSI
3.2. Model
4. Sensitivity Analysis of Error Propagation
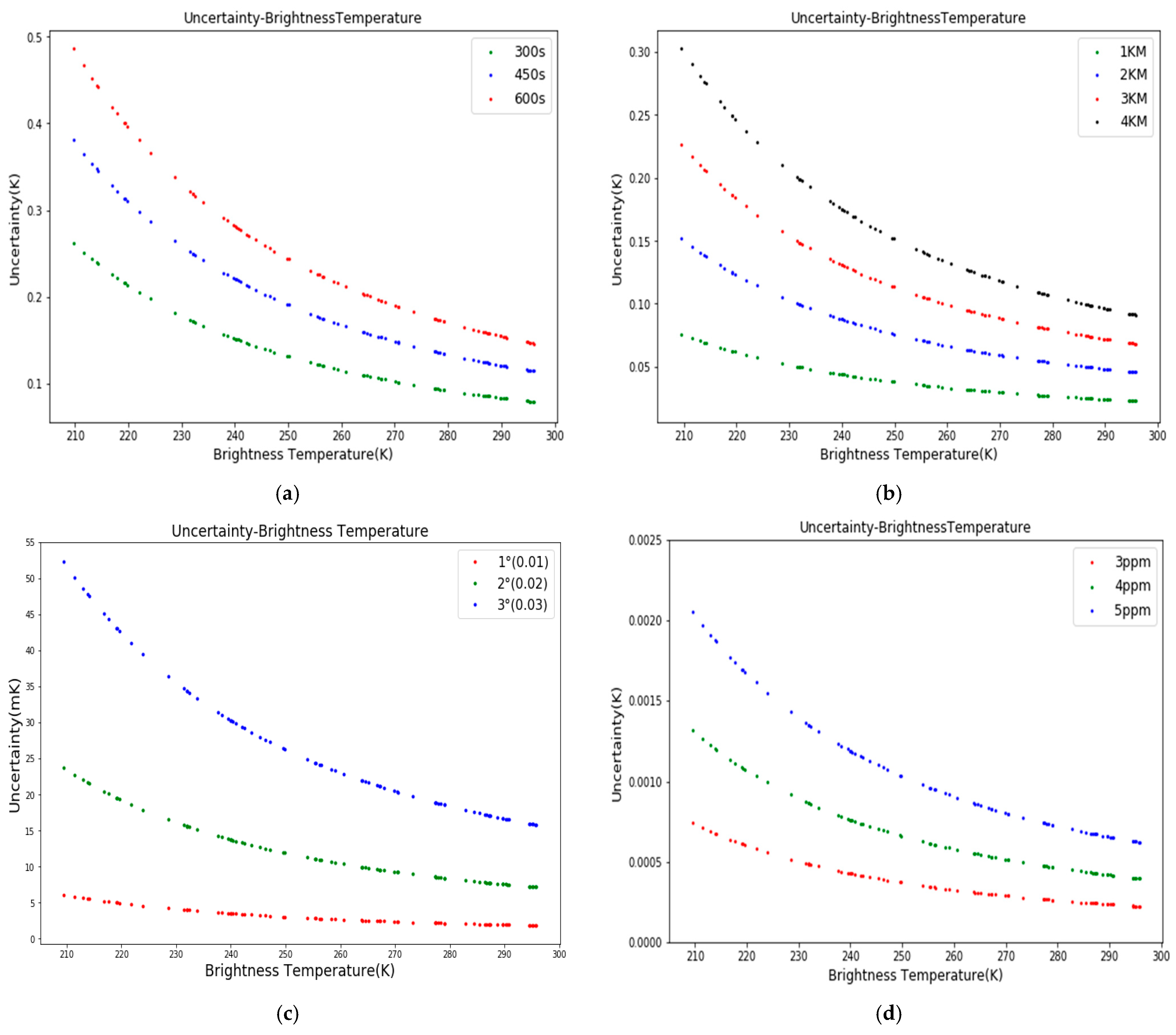
4.1. Sensitivity to Temporal Matching
4.2. Sensitivity to Spatial Matching
4.3. Sensitivity to the Zenith Angle Threshold of Satellite Observations
4.4. Sensitivity to Instrument Spectral Matching
5. Uncertainty Assessment of SNO Cross-Calibration
5.1. Standard Uncertainties Caused by Factors in Sample Matching
5.2. Combined Uncertainty of Calibration Results
6. Discussion
- (1)
- Lack of representative data: the amount of data available may not be enough or may not be representative of all possible atmospheric conditions and surface types;
- (2)
- Instrument noise: the instruments used to collect the data may add noise or bias to the measurements, which can affect the accuracy of the calibration.
7. Conclusions
- (1)
- Analysis of more remote sensing data to obtain a realistic situation;
- (2)
- Further analysis of the influencing factors such as observation geometry conditions and spectral corrections to improve the links;
- (3)
- Combination of the theoretical results with the actual remote sensing data to confirm the applicability of the method and make a correlation.
Author Contributions
Funding
Data Availability Statement
Acknowledgments
Conflicts of Interest
References
- Bouvet, M.; Thome, K.; Berthelot, B.; Bialek, A.; Czapla-Myers, J.; Fox, N.P.; Goryl, P.; Henry, P.; Ma, L.; Marcq, S. RadCalNet: A radiometric calibration network for Earth observing imagers operating in the visible to shortwave infrared spectral range. Remote Sens. 2019, 11, 2401. [Google Scholar] [CrossRef]
- Okuyama, A.; Takahashi, M.; Date, K.; Hosaka, K.; Murata, H.; Tabata, T.; Yoshino, R. Validation of Himawari- 8/AHI radiometric calibration based on two years of in-orbit data. J. Meteorol. Soc. Jpn. Ser II 2018, 96, 91–109. [Google Scholar] [CrossRef]
- Liu, Y.; Ma, L.; Zhao, Y.; Wang, N.; Qian, Y.; Li, W.; Gao, C.; Qiu, S.; Li, C. A spectrum extension approach for radiometric calibration of the advanced hyperspectral imager aboard the Gaofen-5 Satellite. IEEE Trans. Geosci. Remote Sens. 2021, 60, 1–10. [Google Scholar] [CrossRef]
- Yan, L.; Hu, Y.; Zhang, Y.; Li, X.-M.; Dou, C.; Li, J.; Si, Y.; Zhang, L. Radiometric Calibration Evaluation for FY3D MERSI-II Thermal Infrared Channels at Lake Qinghai. Remote Sens. 2021, 13, 466. [Google Scholar] [CrossRef]
- Rong, Z.; Zhang, Y.; Lu, F.; Xu, J.; Qiu, K. Inter-calibration of FY-2B IR channel with NOAA satellites. Acta Meteorol. Sin. 2005, 63, 485–492. [Google Scholar]
- Cao, C.; Uprety, S.; Blonski, S. Establishing radiometric consistency among VIIRS, MODIS, and AVHRR using SNO and SNOx methods. In Proceedings of the 2012 IEEE International Geoscience and Remote Sensing Symposium, Munich, Germany, 22–27 July 2012; pp. 6928–6931. [Google Scholar]
- Biggar, S.F.; Slater, P.N.; Gellman, D.I. Uncertainties in the in-flight calibration of sensors with reference to measured ground sites in the 0.4-1.1 μm range. Remote Sens. Environ. 1994, 48, 245–252. [Google Scholar] [CrossRef]
- Dinguirard, M.; Slater, P.N. Calibration of space-multispectral imaging sensors: A review. Remote Sens. Environ. 1999, 68, 194–205. [Google Scholar] [CrossRef]
- Cao, C.; Weng, F.; Goldberg, M.; Wu, X.; Xu, H.; Ciren, P. Intersatellite calibration of Polar-orbiting radiometers using the SNO/SCO method. In Proceedings of the IEEE International Geoscience and Remote Sensing Symposium, Seoul, Republic of Korea, 29 July 2005; pp. 109–112. [Google Scholar]
- Chander, G.; Hewison, T.J.; Fox, N.; Wu, X.; Xiong, X.; Blackwell, W.J. Overview of Intercalibration of Satellite Instruments. IEEE Trans. Geosci. Remote Sens. 2013, 51, 1056–1080. [Google Scholar] [CrossRef]
- Tobin, D.; Holz, R.; Nagle, F.; Revercomb, H. Characterization of the Climate Absolute Radiance and Refractivity Observatory (CLARREO) ability to serve as an infrared satellite intercalibration reference. J. Geophys. Res. Atmos. 2016, 121, 4258–4271. [Google Scholar] [CrossRef]
- Guo, Q.; Chen, B.-Y.; Zhang, Y.; Xu, N.; Feng, X.; Yang, C.J.; Wang, X.; Han, X.Z.; Li, Y.; Hu, X.Q. Progress in on-orbit radiometric calibration technology for Fengyun-2 satellite. Adv. Meteorol. Sci. Technol. 2013, 3, 6–12. [Google Scholar]
- Zhang, Z.; Zhang, H.; Chang, Y.; Chen, Z.C. Review of radiometric calibration methods of Landsat series optical remote sensors. J. Remote Sens. 2015, 19, 719. [Google Scholar]
- Jin, C.; Choi, C. The Assessment of Cross Calibration/Validation Accuracy for KOMPSAT-3 Using Landsat 8 and 6S. Korean J. Remote Sens. 2021, 37, 123–137. [Google Scholar]
- Xu, N.; Hu, X.-Q.; Chen, L.; Zhang, Y.-X. Cross-calibration of FY-2 E/VISSR infrared window and water vapor channels with TERRA/MODIS. J. Infrared Millim. Waves. 2012, 31, 319–324. [Google Scholar] [CrossRef]
- Xu, N.; Hu, X.; Chen, L.; Min, M. Inter-calibration of infrared channels of FY-2/VISSR using high-spectral resolution sensors IASI and AIRS. Yaogan Xuebao-J. Remote Sens. 2012, 16, 939–952. [Google Scholar]
- Zhang, P.; Lu, Q.; Hu, X.; Gu, S.; Yang, L.; Min, M.; Chen, L.; Xu, N.; Sun, L.; Bai, W. Latest progress of the Chinese meteorological satellite program and core data processing technologies. Adv. Atmos. Sci. 2019, 36, 1027–1045. [Google Scholar] [CrossRef]
- Xu, L.; Ma, L.; Hu, J.; Tang, L. Cross-calibration of HJ-1B/CCD1 against Terra/MODIS. Remote Sens. Inf. 2011, 2, 26–31. [Google Scholar]
- Zhang, Y.-H.; Mao, H.-Q.; Wang, Z.-T.; Guo, W.; Li, Q.; Li, Z.-Q.; Chen, X.-F.; Chen, H. Cross Calibration Between GOCI and MODIS Based on Spectral and Geometry Matching. J. Atmos. Environ. Opt. 2016, 11, 412–422. [Google Scholar]
- Wang, Z.; Xiao, P.; Gu, X.; Feng, X.; Li, X.; Gao, H.; Li, H.; Lin, J.; Zhang, X. Uncertainty analysis of cross-calibration for HJ-1 CCD camera. Sci. China Technol. Sci. 2013, 56, 713–723. [Google Scholar] [CrossRef]
- Chen, Z.; Zhang, B.; Zhang, H.; Zhang, W. Vicarious calibration of Beijing-1 multispectral imagers. Remote Sens. 2014, 6, 1432–1450. [Google Scholar] [CrossRef]
- Bhatt, R.; Doelling, D.; Haney, C.; Scarino, B.; Gopalan, A. Consideration of radiometric quantization error in satellite sensor cross-calibration. Remote Sens. 2018, 10, 1131. [Google Scholar] [CrossRef]
- Datla, R.V.; Kessel, R.; Smith, A.W.; Kacker, R.N.; Pollock, D.B. Uncertainty analysis of remote sensing optical sensor data: Guiding principles to achieve metrological consistency. Int. J. Remote Sens. 2010, 31, 867–880. [Google Scholar] [CrossRef]
- Hewison, T.J. An evaluation of the uncertainty of the GSICS SEVIRI-IASI intercalibration products. IEEE Trans. Geosci. Remote Sens. 2013, 51, 1171–1181. [Google Scholar] [CrossRef]
- Joint Committee for Guides in Metrology. Evaluation of measurement data—Guide to the expression of uncertainty in measurement. JCGM 2008, 100, 1–116. [Google Scholar]
- Xu, N.; Hu, X.; Chen, L.; Zhang, Y.; Hu, J.; Sun, L. On-orbit radiometric calibration accuracy of FY-3A MERSI thermal infrared channel. Spectrosc. Spectr. Anal. 2014, 34, 3429–3434. [Google Scholar]
- Zhao, W.; Hu, X.; Fang, W. Development and applications of intercalibration for satellite optical instruments. Opt. Precis. Eng. 2015, 23, 1921–1931. [Google Scholar] [CrossRef]
- Damasceno, J.C.; Couto, P.R. Methods for evaluation of measurement uncertainty. In Metrology; IntechOpen: London, UK, 2018; pp. 9–28. [Google Scholar]
- ISO/TS 28037; Determination and Use of Straight-Line Calibration Functions. International Organization for Standardization: Geneva, Switzerland, 2010.
- Zhang, Z.Y.; Peng, Q.Y. Comparison of fitting ePSF and fitting Gaussian-functions. Astron. Res. Technol. 2010, 7, 132–139. [Google Scholar]
- Mahalanobis, A.; Shilling, R.; Murphy, R.; Muise, R. Recent results of medium wave infrared compressive sensing. Appl. Opt. 2014, 53, 8060–8070. [Google Scholar] [CrossRef]
- Cao, C.; Weinreb, M.; Xu, H. Predicting simultaneous nadir overpasses among polar-orbiting meteorological satellites for the intersatellite calibration of radiometers. J. Atmos. Ocean. Technol. 2004, 21, 537–542. [Google Scholar] [CrossRef]
- Wu, X.; Hewison, T.; Tahara, Y. GSICS GEO-LEO intercalibration: Baseline algorithm and early results. In Proceedings of the Atmospheric and Environmental Remote Sensing Data Processing and Utilization V: Readiness for GEOSS III, San Diego, CA, USA, 2–6 August 2009; SPIE: Bellingham, WA, USA, 2009; Volume 7456, pp. 25–36. [Google Scholar]
- Bessho, K.; Date, K.; Hayashi, M.; Ikeda, A.; Yoshida, R. An Introduction to Himawari-8/9 — Japan’s New-Generation Geostationary Meteorological Satellites. J. Meteorol. Soc. Jpn. 2016, 94, 151–183. [Google Scholar] [CrossRef]
- Kim, D.; Gu, M.; Oh, T.H.; Kim, E.K.; Yang, H.J. Introduction of the Advanced Meteorological Imager of Geo-Kompsat-2a: In-orbit tests and performance validation. Remote Sens. 2021, 13, 1303. [Google Scholar] [CrossRef]
- Zhang, P.; Lu, N.; Li, C.; Ding, L.; Zheng, X.; Zhang, X.; Hu, X.; Ye, X.; Ma, L.; Xu, N. Development of the Chinese space-based radiometric benchmark mission LIBRA. Remote Sens. 2020, 12, 2179. [Google Scholar] [CrossRef]





| Band | Center Wavelength (µm) | Width (nm) | Spatial Resolution (m) |
|---|---|---|---|
| 1 | 0.470 | 50 | 250 |
| 2 | 0.550 | 50 | 250 |
| 3 | 0.650 | 50 | 250 |
| 4 | 0.865 | 50 | 250 |
| 5 | 1.380 | 20/30 | 1000 |
| 6 | 1.640 | 50 | 1000 |
| 7 | 2.130 | 50 | 1000 |
| 8 | 0.412 | 20 | 1000 |
| 9 | 0.443 | 20 | 1000 |
| 10 | 0.490 | 20 | 1000 |
| 11 | 0.555 | 20 | 1000 |
| 12 | 0.670 | 20 | 1000 |
| 13 | 0.709 | 20 | 1000 |
| 14 | 0.749 | 20 | 1000 |
| 15 | 0.865 | 20 | 1000 |
| 16 | 0.905 | 20 | 1000 |
| 17 | 0.936 | 20 | 1000 |
| 18 | 0.940 | 50 | 1000 |
| 19 | 1.030 | 20 | 1000 |
| 20 | 3.800 | 180 | 1000 |
| 21 | 4.050 | 155 | 1000 |
| 22 | 7.200 | 500 | 1000 |
| 23 | 8.550 | 300 | 1000 |
| 24 | 10.80 | 1000 | 250 |
| 25 | 12.00 | 1000 | 250 |
| Channel | Spectral Range | Spectral Resolution | NEΔT |
|---|---|---|---|
| 8.80~15.39 µm | 650~1136 cm−1 | 0.625 cm−1 | 0.15~0.4 K @ 250 K |
| 5.71~8.26 µm | 1210~1750 cm−1 | 1.25 cm−1 | 0.1~0.7 K @ 250 K |
| 3.92~4.64 µm | 2155~2550 cm−1 | 2.5 cm−1 | 0.3~1.2 K @ 250 K |
| σ | 0.31 | 0.33 | 0.36 | 0.39 | 0.45 |
| MTF0.5 | 0.41 | 0.36 | 0.3 | 0.25 | 0.16 |
| Matching Parameters | Time Difference (s) | Positioning Deviation (km) | Angle Deviation (°) | Spectral Drift (ppm) | Spatial Uniformity |
|---|---|---|---|---|---|
| Thresholds | 300/450/600 | 1/2/3/4 | 1/2/3 | 3/4/5 | 0.02/0.05/0.08/0.12 |
| δRSTD | Δt (s) | ||
|---|---|---|---|
| 300 | 450 | 600 | |
| 0.02 | 2.53 × 10−4 | 2.47 × 10−4 | 2.24 × 10−4 |
| 0.05 | 7.41 × 10−4 | 7.17 × 10−4 | 6.86 × 10−4 |
| 0.08 | 1.03 × 10−3 | 9.94 × 10−4 | 9.47 × 10−4 |
| 0.12 | 1.27 × 10−3 | 1.20 × 10−3 | 1.17 × 10−3 |
| δRSTD | Δd (km) | |||
|---|---|---|---|---|
| 1 | 2 | 3 | 4 | |
| 0.02 | 2.56 × 10−2 | 2.59 × 10−2 | 2.56 × 10−2 | 2.58 × 10−2 |
| 0.05 | 6.44 × 10−2 | 6.43 × 10−2 | 6.40 × 10−2 | 6.42 × 10−2 |
| 0.08 | 1.04 × 10−1 | 1.02 × 10−1 | 1.03 × 10−1 | 1.04 × 10−1 |
| 0.12 | 1.54 × 10−1 | 1.56 × 10−1 | 1.55 × 10−1 | 1.56 × 10−1 |
| Δθ (°) | 1 | 2 | 3 |
| ∂Ltarget/∂θ | 5.17 × 10−3 | 1.01 × 10−2 | 1.48 × 10−2 |
| Δν/ν (ppm) | 3 | 4 | 5 |
| ∂Ltarget/∂ ν | 2.10 × 10−4 | 2.10 × 10−4 | 3.50 × 10−4 |
| Typical Brightness Temperatures | Δt (s) | Δd (km) | Δθ (°) | Δν/ν (ppm) | |||||||||
|---|---|---|---|---|---|---|---|---|---|---|---|---|---|
| 300 | 450 | 600 | 1 | 2 | 3 | 4 | 1 | 2 | 3 | 3 | 4 | 5 | |
| 210 K | 260 | 390 | 524 | 81 | 151 | 231 | 300 | 6.00 | 24 | 53 | 0.70 | 1.35 | 2.10 |
| 280 K | 81 | 134 | 163 | 21 | 61 | 81 | 120 | 2.00 | 9.00 | 19 | 0.25 | 0.55 | 0.75 |
| 300 K | 51 | 121 | 144 | 21 | 51 | 71 | 100 | 1.50 | 7.50 | 17 | 0.2 | 0.45 | 0.65 |
| Typical Brightness Temperatures | The Combined Uncertainties | u(a) | u(b) |
|---|---|---|---|
| Low brightness temperature (210 K) | 0.38548 | 0.00023 | 0.00035 |
| Medium brightness temperature (280 K) | 0.14456 | ||
| High brightness temperature (300 K) | 0.10012 |
| Research | Uncertainty Assessment Model | Monitored Instrument | Reference Instrument | Uncertainty |
|---|---|---|---|---|
| Hewison (2013) [24] | GUM | Meteosat-9/SEVIRI | Metop-A/IASI | Within 0.05 K (286 K) in 10.8 μm |
| Kim et al. (2021) [35] | Statistics | GK2A/Advanced Meteorological Imager (AMI) | Metop-B/IASI | The mean biases for Brightness Temperature (TB) between GK2A/AMI and Metop-B/IASI were within 0.2 K, except for SW038 (−0.32 K), while the biases at standard scene TB were mostly within −0.10 K, except for SW038 (−0.15 K). |
| This study | GUM | FY-3D/MERSI | FY-3D/HIRAS | Within 0.15 K (280 K) in 10.8 μm |
Disclaimer/Publisher’s Note: The statements, opinions and data contained in all publications are solely those of the individual author(s) and contributor(s) and not of MDPI and/or the editor(s). MDPI and/or the editor(s) disclaim responsibility for any injury to people or property resulting from any ideas, methods, instructions or products referred to in the content. |
© 2023 by the authors. Licensee MDPI, Basel, Switzerland. This article is an open access article distributed under the terms and conditions of the Creative Commons Attribution (CC BY) license (https://creativecommons.org/licenses/by/4.0/).
Share and Cite
Gu, Z.; Chen, L.; Dai, H.; Tian, L.; Hu, X.; Zhang, P. The Uncertainty of SNO Cross-Calibration for Satellite Infrared Channels. Remote Sens. 2023, 15, 3313. https://doi.org/10.3390/rs15133313
Gu Z, Chen L, Dai H, Tian L, Hu X, Zhang P. The Uncertainty of SNO Cross-Calibration for Satellite Infrared Channels. Remote Sensing. 2023; 15(13):3313. https://doi.org/10.3390/rs15133313
Chicago/Turabian StyleGu, Zhong, Lin Chen, Huixing Dai, Lin Tian, Xiuqing Hu, and Peng Zhang. 2023. "The Uncertainty of SNO Cross-Calibration for Satellite Infrared Channels" Remote Sensing 15, no. 13: 3313. https://doi.org/10.3390/rs15133313
APA StyleGu, Z., Chen, L., Dai, H., Tian, L., Hu, X., & Zhang, P. (2023). The Uncertainty of SNO Cross-Calibration for Satellite Infrared Channels. Remote Sensing, 15(13), 3313. https://doi.org/10.3390/rs15133313

