Satellite Sensed Data-Dose Response Functions: A Totally New Approach for Estimating Materials’ Deterioration from Space
Abstract
1. Introduction
2. Materials and Methods
2.1. Object of Study
- Carbon steel;
- Zinc;
- Limestone;
- Modern glass.
2.2. Satellite Remote Sensing Data
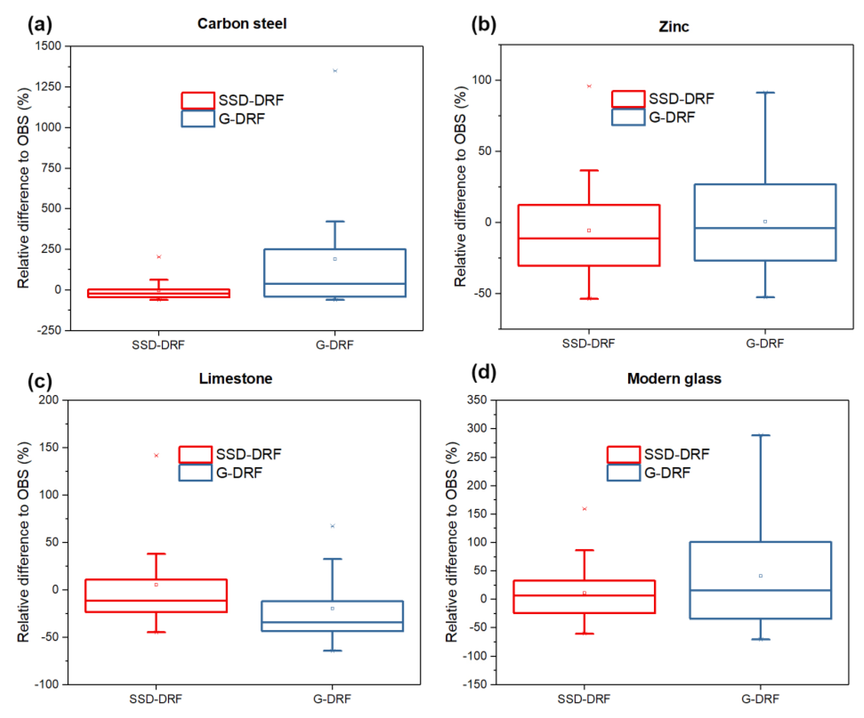
3. Results
4. Discussion and Conclusions
Author Contributions
Funding
Data Availability Statement
Acknowledgments
Conflicts of Interest
References
- Bhaskaran, R.; Palaniswamy, N.; Rengaswamy, N.; Jayachandran, M. Global Cost of Corrosion—A Historical Review. In ASM Handbook Volume 13B, Corrosion: Materials; ASM International: Detroit, MI, USA, 2005; Volume 13, p. 704. ISBN 978-0-87170-707-9. [Google Scholar]
- Ebel, A.; Davitashvili, T. Air, Water and Soil Quality Modelling for Risk and Impact Assessment; NATO Security through Science Series C; Springer: Dordrecht, The Netherlands, 2007; ISBN 978-1-4020-5875-2. [Google Scholar]
- Varotsos, C.; Tzanis, C.; Cracknell, A. The Enhanced Deterioration of the Cultural Heritage Monuments Due to Air Pollution. Environ. Sci. Pollut. Res. 2009, 16, 590–592. [Google Scholar] [CrossRef] [PubMed]
- Tidblad, J.; Kucera, V.; Ferm, M.; Kreislova, K.; Brüggerhoff, S.; Doytchinov, S.; Screpanti, A.; Grøntoft, T.; Yates, T.; De La Fuente, D.; et al. Effects of Air Pollution on Materials and Cultural Heritage: ICP Materials Celebrates 25 Years of Research. Int. J. Corros. 2012, 2012, 496321. [Google Scholar] [CrossRef]
- Tzanis, C.; Varotsos, C.; Ferm, M.; Christodoulakis, J.; Assimakopoulos, M.N.; Efthymiou, C. Nitric Acid and Particulate Matter Measurements at Athens, Greece, in Connection with Corrosion Studies. Atmos. Chem. Phys. 2009, 9, 8309–8316. [Google Scholar] [CrossRef]
- Tzanis, C.; Varotsos, C.; Christodoulakis, J.; Tidblad, J.; Ferm, M.; Ionescu, A.; Lefevre, R.-A.; Theodorakopoulou, K.; Kreislova, K. On the Corrosion and Soiling Effects on Materials by Air Pollution in Athens, Greece. Atmos. Chem. Phys. 2011, 11, 12039–12048. [Google Scholar] [CrossRef]
- Hudson, J.C.; Stanners, J.F. The Effect of Climate and Atmospheric Pollution on Corrosion. J. Appl. Chem. 2007, 3, 86–96. [Google Scholar] [CrossRef]
- Vernon, W.H.J. A Laboratory Study of the Atmospheric Corrosion of Metals. Part I.—The Corrosion of Copper in Certain Synthetic Atmospheres, with Particular Reference to the Influence of Sulphur Dioxide in Air of Various Relative Humidities. Trans. Faraday Soc. 1931, 27, 255–277. [Google Scholar] [CrossRef]
- Vernon, W.H.J. A Laboratory Study of the Atmospheric Corrosion of Metals. Part II.—Iron: The Primary Oxide Film. Part III.—The Secondary Product or Rust (Influence of Sulphur Dioxide, Carbon Dioxide, and Suspended Particles on the Rusting of Iron). Trans. Faraday Soc. 1935, 31, 1668–1700. [Google Scholar] [CrossRef]
- Johansson, L.-G. Synergistic Effects of Air Pollutants on the Atmospheric Corrosion of Metals and Calcareous Stones. Mar. Chem. 1990, 30, 113–122. [Google Scholar] [CrossRef]
- Eriksson, P.; Johansson, L.-G.; Strandberg, H. Initial Stages of Copper Corrosion in Humid Air Containing SO2 and NO2. J. Electrochem. Soc. 1993, 140, 53–59. [Google Scholar] [CrossRef]
- Zakipour, S.; Tidblad, J.; Leygraf, C. Atmospheric Corrosion Effects of SO2 and O3 on Laboratory-Exposed Copper. J. Electrochem. Soc. 1995, 142, 757. [Google Scholar] [CrossRef]
- Strandberg, H.; Johansson, L. Role of O3 in the Atmospheric Corrosion of Copper in the Presence of SO2. J. Electrochem. Soc. 1997, 144, 2334. [Google Scholar] [CrossRef]
- Feliu, S.; Mariaca, L.; Simancas, J.; González, J.A.; Morcillo, M. Effect of NO2 and/or SO2 Atmospheric Contaminants and Relative Humidity on Copper Corrosion. Rev. Metal. 2003, 39, 279–288. [Google Scholar] [CrossRef]
- Mariaca, L.; de la Fuente, D.; Feliu, S.; Simancas, J.; González, J.A.; Morcillo, M. Interaction of Copper and NO2: Effect of Joint Presence of SO2, Relative Humidity and Temperature. J. Phys. Chem. Solids 2008, 69, 895–904. [Google Scholar] [CrossRef]
- Svensson, J.-E.; Johansson, L.-G. A Laboratory Study of the Effect of Ozone, Nitrogen Dioxide, and Sulfur Dioxide on the Atmospheric Corrosion of Zinc. J. Electrochem. Soc. 1993, 140, 2210. [Google Scholar] [CrossRef]
- Castaño, J.G.; de la Fuente, D.; Morcillo, M. A Laboratory Study of the Effect of NO2 on the Atmospheric Corrosion of Zinc. Atmos. Environ. 2007, 41, 8681–8696. [Google Scholar] [CrossRef]
- Allen, G.C.; El-Turki, A.; Hallam, K.R.; McLaughlin, D.; Stacey, M. Role of NO2 and SO2 in Degradation of Limestone. Br. Corros. J. 2000, 35, 35–38. [Google Scholar] [CrossRef]
- Mangio, R.; Johansson, L. The Influence of Ozone on the Atmospheric Corrosion of Carrara Marble in Humid Atmospheres Containing Sulfur Dioxide, Deposition Studies of SO2 on Marble. In Proceedings of the 11th Scandinavian Corrosion Congress, Stavanger, Norway, 1–6 October 1989. [Google Scholar]
- Ferm, M.; De Santis, F.; Varotsos, C. Nitric Acid Measurements in Connection with Corrosion Studies. Atmos. Environ. 2005, 39, 6664–6672. [Google Scholar] [CrossRef]
- Ferm, M.; Watt, J.; O’Hanlon, S.; De Santis, F.; Varotsos, C. Deposition Measurement of Particulate Matter in Connection with Corrosion Studies. Anal. Bioanal. Chem. 2006, 384, 1320–1330. [Google Scholar] [CrossRef]
- Kucera, V.; Tidblad, J.; Samie, F.; Schreiner, M.; Melcher, M.; Kreislova, K.; Lefevre, R.-A.; Ionescu, A.; Snethlage, R.; Varotsos, C.; et al. Model for Multi-Pollutant Impact and Assessment of Threshold Levels for Cultural Heritage Publishable Final Report; Swedish Corrosion Institute (SCI): Stockholm, Sweden, 2005; p. 52. [Google Scholar]
- Kucera, V.; Tidblad, J.; Kreislova, K.; Knotkova, D.; Faller, M.; Reiss, D.; Snethlage, R.; Yates, T.; Henriksen, J.; Schreiner, M.; et al. UN/ECE ICP Materials Dose-Response Functions for the Multi-Pollutant Situation. Water Air Soil Pollut. Focus 2007, 7, 249–258. [Google Scholar] [CrossRef]
- Gil, H.; Buitrago, C.P.; Calderón, J.A. Atmospheric Corrosion of Copper and Silver Influenced by Particulate Matter. J. Solid State Electrochem. 2017, 21, 1111–1119. [Google Scholar] [CrossRef]
- Samie, F.; Tidblad, J.; Kucera, V.; Leygraf, C. Atmospheric Corrosion Effects of HNO3: A Comparison of Laboratory and Field Exposed Copper, Zinc, and Carbon Steel. J. Electrochem. Soc. 2007, 154, C249. [Google Scholar] [CrossRef]
- Samie, F.; Tidblad, J.; Kučera, V.; Leygraf, C. Atmospheric Corrosion Effects of HNO3—Influence of Temperature and Relative Humidity on Laboratory-Exposed Copper. Atmos. Environ. 2007, 41, 1374–1382. [Google Scholar] [CrossRef]
- Samie, F.; Tidblad, J. Influence of Nitric Acid on Atmospheric Corrosion of Copper, Zinc and Carbon Steels. Corros. Eng. Sci. Technol. 2008, 43, 117–122. [Google Scholar] [CrossRef]
- Verney-Carron, A.; Lombardo, T. UN/ECE International Cooperative Programme on Effects on Materials, Including Historic and Cultural Monuments, Report No 74: Results of the Exposure of Modern Glass 2008–2012 and Soiling Dose-Response Functions; Laboratoire Interuniversitaire des Systèmes Atmosphérique (LISA): Paris, France, 2013. [Google Scholar]
- Bhartia, P.K. OMI/Aura TOMS-Like Ozone and Radiative Cloud Fraction L3 1 Day 0.25 Degree x 0.25 Degree V3; NASA Goddard Space Flight Center, Goddard Earth Sciences Data and Information Services Center: Greenbelt, MD, USA, 2012.
- Krotkov, N.A.; Lamsal, L.N.; Marchenko, S.V.; Celarier, E.A.; Bucsela, E.J.; Swartz, W.H.; Joiner, J. The OMI Core Team OMI/Aura NO2 Cloud-Screened Total and Tropospheric Column L3 Global Gridded 0.25 Degree x 0.25 Degree V3; NASA Goddard Space Flight Center, Goddard Earth Sciences Data and Information Services Center: Greenbelt, MD, USA, 2019.
- Li, J.; Yang, H.; Liu, X.; Yu, N.; Tian, Y.; Zhou, X.; Zhang, P.; Wang, K. Aircraft Emission Inventory and Characteristics of the Airport Cluster in the Guangdong–Hong Kong–Macao Greater Bay Area, China. Atmosphere 2020, 11, 323. [Google Scholar] [CrossRef]
- AIRS Science Team; Teixeira, J. AIRS/Aqua L3 Daily Standard Physical Retrieval (AIRS-Only) 1 Degree x 1 Degree V006; NASA Goddard Space Flight Center, Goddard Earth Sciences Data and Information Services Center: Greenbelt, MD, USA, 2013.
- Levy, R.; Hsu, C. MODIS Atmosphere L2 Aerosol Product; Goddard Space Flight Center: Greenbelt, MD, USA, 2015.
- Tidblad, J.; Kucera, V. Report No 51: Technical Manual for the Trend Exposure Programme 2005–2006; UN/ECE International co-Operative Programme on Effects on Materials, including Historic and Cultural Monuments: Stockholm, Sweden, 2006; p. 26. [Google Scholar]
- Tidblad, J. Report No 58: Technical Manual for the Trend Exposure Programme 2008–2009; UN/ECE International Co-Operative Programme on Effects on Materials, including Historic and Cultural Monuments: Stockholm, Sweden, 2009; p. 62. [Google Scholar]
- Tidblad, J.; Gordon, A. Report No 69: Technical Manual for the Trend Exposure Programme 2011–2012; UN/ECE International Co-Operative Programme on Effects on Materials, including Historic and Cultural Monuments: Stockholm, Sweden, 2012; p. 71. [Google Scholar]
- Tidblad, J. Report No 79: Technical Manual for the Trend Exposure Programme 2011–2015; UN/ECE International Co-Operative Programme on Effects on Materials, including Historic and Cultural Monuments: Stockholm, Sweden, 2016; p. 29. [Google Scholar]
- Tidblad, J. Report No 84: Technical Manual for the Trend Exposure Programme 2017–2018; UN/ECE International Co-Operative Programme on Effects on Materials, including Historic and Cultural Monuments: Stockholm, Sweden, 2018; p. 32. [Google Scholar]
- Kreislova, K.; Knotkova, D.; Kvapil, J.; Divisova, H. Report No. 53: Results from the Multi-Pollutant Programme Corrosion Attack on Carbon Steel after 1 Year of Exposure (2005–2006); UN/ECE International Co-Operative Programme on effects on Materials, including Historic and Cultural Monuments: Prague, The Czech Republic, 2008; p. 26. [Google Scholar]
- Reiss, D.; Faller, M. Report 54: Results from the 2005–2006 Trend Exposure Programm. Corrosion Attack of Zinc after 1 Year of Exposure; UN/ECE International Co-Operative Programme on Effects on Materials, including Historic and Cultural Monuments: Dübendorf, Switzerland, 2007; p. 16. [Google Scholar]
- Yates, T. Report 55: Results from the 2005–2006 Trend Exposure Programm. Corrosion Attack of Limestone after 1 Year of Exposure; UN/ECE International Co-Operative Programme on Effects on Materials, including Historic and Cultural Monuments: Watford, UK, 2007; p. 9. [Google Scholar]
- Lombardo, T.; Ionescu, A. Report No 59: Soiling of Exposed Materials and Dose-Response Functions for Modern Glass; UN/ECE International Co-Operative Programme on Effects on Materials, including Historic and Cultural Monuments: Paris, France, 2009; p. 39. [Google Scholar]
- Tidblad, J.; Kreislova, K.; Faller, M.; Yates, T.; Lombardo, T.; Grøntoft, T. Report No 62: Results of Corrosion and Soiling from the 2008–2009 Exposure Programme for Trend Analysis; UN/ECE International Co-Operative Programme on Effects on Materials, including Historic and Cultural Monuments: Stockholm, Sweden, 2010; p. 18. [Google Scholar]
- Tidblad, J.; Gordon, A.; Kreislova, K.; Faller, M.; De La Fuente, D.; Yates, T.; Verney-Carron, A. Report No 72: Results of Corrosion and Soiling from the 2011–2012 Exposure Programme for Trend Analysis; UN/ECE International Co-Operative Programme on Effects on Materials, including Historic and Cultural Monuments: Stockholm, Sweden, 2013; p. 24. [Google Scholar]
- Tidblad, J.; Kreislova, K.; Faller, M.; De La Fuente, D.; Yates, T.; Verney-Carron, A. Report No 78: Results of Corrosion and Soiling from the 2011–2015 Exposure Programme for Trend Analysis; UN/ECE International Co-Operative Programme on Effects on Materials, including Historic and Cultural Monuments: Stockholm, Sweden, 2016; p. 35. [Google Scholar]
- Tidblad, J.; Kreislova, K.; Faller, M.; De La Fuente, D.; Yates, T.; Verney-Carron, A.; Vuorio, T. Report No 85: Results of Corrosion and Soiling from the 2017–2018 Exposure Programme for Trend Analysis; UN/ECE International Co-Operative Programme on Effects on Materials, including Historic and Cultural Monuments: Stockholm, Sweden, 2019; p. 21. [Google Scholar]
- Roberge, P.R. Handbook of Corrosion Engineering, 2nd ed.; McGraw-Hill Education: New York, NY, USA, 2012; ISBN 978-0-07-175037-0. [Google Scholar]
- Varotsos, P.A.; Alexopoulos, K.D. Thermodynamics of Point Defects and Their Relation with Bulk Properties; Defects in Solids: North Holland, The Netherlands, 1986; Volume 14. [Google Scholar]
- Livingston, F.E.; George, S.M. Effect of HNO3 and HCl on HDO Diffusion on Crystalline D2O Ice Multilayers. J. Phys. Chem. B 1999, 103, 4366–4376. [Google Scholar] [CrossRef]
- Livingston, F.E.; George, S.M. Diffusion Kinetics of HCl Hydrates in Ice Measured Using Infrared Laser Resonant Desorption Depth-Profiling. J. Phys. Chem. A 2001, 105, 5155–5164. [Google Scholar] [CrossRef]
- Livingston, F.E.; Whipple, G.C.; George, S.M. Diffusion of HDO into Single-Crystal H216O Ice Multilayers: Comparison with H218O. J. Phys. Chem. B 1997, 101, 6127–6131. [Google Scholar] [CrossRef]
- Livingston, F.E.; Whipple, G.C.; George, S.M. Surface and Bulk Diffusion of HDO on Ultrathin Single-Crystal Ice Multilayers on Ru(001). J. Chem. Phys. 1998, 108, 2197–2207. [Google Scholar] [CrossRef]
- Livingston, F.E.; Smith, J.A.; George, S.M. Depth-Profiling and Diffusion Measurements in Ice Films Using Infrared Laser Resonant Desorption. Anal. Chem. 2000, 72, 5590–5599. [Google Scholar] [CrossRef] [PubMed]
- Livingston, F.E.; Smith, J.A.; George, S.M. General Trends for Bulk Diffusion in Ice and Surface Diffusion on Ice. J. Phys. Chem. A 2002, 106, 6309–6318. [Google Scholar] [CrossRef]
- Krasnopoler, A.; George, S.M. Infrared Resonant Desorption of H2O from Ice Multilayers. J. Phys. Chem. B 1998, 102, 788–794. [Google Scholar] [CrossRef]
- Varotsos, C.A.; Zellner, R. A New Modeling Tool for the Diffusion of Gases in Ice or Amorphous Binary Mixture in the Polar Stratosphere and the Upper Troposphere. Atmos. Chem. Phys. 2010, 10, 3099–3105. [Google Scholar] [CrossRef]
- Johnson, P.N.; Davis, R.A. Diffusivity of Ozone in Water. J. Chem. Eng. Data 1996, 41, 1485–1487. [Google Scholar] [CrossRef]
- Cheung, J.L.; Li, Y.Q.; Boniface, J.; Shi, Q.; Davidovits, P.; Worsnop, D.R.; Jayne, J.T.; Kolb, C.E. Heterogeneous Interactions of NO2 with Aqueous Surfaces. J. Phys. Chem. A 2000, 104, 2655–2662. [Google Scholar] [CrossRef]
- Diaz, M.; Vega, A.; Coca, J. Correlation for the Estimation of Gas-Liquid Diffusivity. Chem. Eng. Commun. 1987, 52, 271–281. [Google Scholar] [CrossRef]
- Varotsos, C.A.; Cracknell, A.P. Remote Sensing Letters Contribution to the Success of the Sustainable Development Goals—UN 2030 Agenda. Remote Sens. Lett. 2020, 11, 715–719. [Google Scholar] [CrossRef]
- Varotsos, C.; Cartalis, C. Re-evaluation of surface ozone over Athens, Greece, for the period 1901–1940. Atmos. Res. 1991, 26, 303–310. [Google Scholar] [CrossRef]






| Exposure Campaign | Time Period |
|---|---|
| Exposure 1 | 2005–2006 [34] |
| Exposure 2 | 2008–2009 [35] |
| Exposure 3 | 2011–2012 [36] |
| Exposure 4 | 2014–2015 [37] |
| Exposure 5 | 2017–2018 [38] |
| Exposure Site | Exposure Period | Exposure Site | Exposure Period |
|---|---|---|---|
| Aspvreten | 1, 2, 3, 4, 5 | Paris | 1, 2, 3, 4, 5 |
| Athens | 1, 2, 3, 4, 5 | Prague | 1, 2, 3, 4, 5 |
| Berlin | 1, 2, 3, 4, 5 | Riga | 1, 2, 3, 4 |
| Birkenes | 1, 2, 3, 4, 5 | Rome | 1, 2, 3, 4, 5 |
| Bottrop | 1, 2, 3, 4, 5 | Sofia | 2 |
| Casaccia | 1, 2, 3, 4, 5 | Split | 5 |
| Chaumont | 1, 2, 3, 4, 5 | St. Petersburg | 3 |
| Hameenlina | 4, 5 | Stockholm | 1, 2, 3, 4, 5 |
| Katowice | 1, 2, 3, 4, 5 | Svanvik | 1, 2, 3, 4, 5 |
| Kopisty | 1, 2, 3, 4, 5 | Toledo | 1, 2, 3, 4, 5 |
| Lahemaa | 1, 2, 4 | Venice | 1, 2, 3, 4, 5 |
| Madrid | 1, 2, 3, 4, 5 | Vienna | 2, 3, 4, 5 |
| Milan | 1, 2, 3, 4, 5 | Zagreb | 5 |
| Oslo | 1, 2, 3, 4, 5 | Zilina | 4, 5 |
| RH | RH ∗ NO2 | RH ∗AOD | RH2 ∗ NO2 ∗ SO2 | ||
|---|---|---|---|---|---|
| Mass loss | Pearson Correlation | 0.498 ** | 0.443 ** | 0.611 ** | 0.484 ** |
| N | 110 | 110 | 110 | 110 | |
| RH | RH ∗ O3 | RH ∗ SO2 | ||
|---|---|---|---|---|
| Mass loss | Pearson Correlation | 0.383 ** | 0.386 ** | 0.232 * |
| N | 112 | 112 | 112 | |
| RH | RH ∗ NO2 | RH ∗ AOD | ||
|---|---|---|---|---|
| Mass loss | Pearson Correlation | 0.234 * | 0.202 * | 0.127 |
| N | 105 | 105 | 105 | |
| Temp | AOD | SO2 ∗ DSO2 | NO2 ∗ DNO2 | O3 ∗ DO3 | ||
|---|---|---|---|---|---|---|
| Soiling | Pearson Correlation | 0.612 ** | 0.465 ** | 0.434 ** | 0.360 ** | 0.586 ** |
| N | 97 | 97 | 97 | 97 | 97 | |
| Carbon Steel (Observed Mass Loss) | Zinc (Observed Mass Loss) | Limestone (Observed Recession) | Modern Glass (Observed Soiling) | |
|---|---|---|---|---|
| SSD-DRF | 0.613 ** | 0.367 ** | 0.240 ** | 0.633 ** |
| N | 110 | 112 | 105 | 97 |
| Carbon Steel (Observed Mass Loss) | Zinc (Observed Mass Loss) | Limestone (Observed Recession) | Modern Glass (Observed Soiling) | |
|---|---|---|---|---|
| G-DRF | 0.511 ** | 0.207 * | 0.327 * | 0.413 ** |
| SSD-DRF | 0.589 ** | 0.364 ** | 0.401 ** | 0.723 ** |
| N | 55 | 73 | 55 | 71 |
Disclaimer/Publisher’s Note: The statements, opinions and data contained in all publications are solely those of the individual author(s) and contributor(s) and not of MDPI and/or the editor(s). MDPI and/or the editor(s) disclaim responsibility for any injury to people or property resulting from any ideas, methods, instructions or products referred to in the content. |
© 2023 by the authors. Licensee MDPI, Basel, Switzerland. This article is an open access article distributed under the terms and conditions of the Creative Commons Attribution (CC BY) license (https://creativecommons.org/licenses/by/4.0/).
Share and Cite
Kouremadas, G.; Christodoulakis, J.; Varotsos, C.; Xue, Y. Satellite Sensed Data-Dose Response Functions: A Totally New Approach for Estimating Materials’ Deterioration from Space. Remote Sens. 2023, 15, 3194. https://doi.org/10.3390/rs15123194
Kouremadas G, Christodoulakis J, Varotsos C, Xue Y. Satellite Sensed Data-Dose Response Functions: A Totally New Approach for Estimating Materials’ Deterioration from Space. Remote Sensing. 2023; 15(12):3194. https://doi.org/10.3390/rs15123194
Chicago/Turabian StyleKouremadas, Georgios, John Christodoulakis, Costas Varotsos, and Yong Xue. 2023. "Satellite Sensed Data-Dose Response Functions: A Totally New Approach for Estimating Materials’ Deterioration from Space" Remote Sensing 15, no. 12: 3194. https://doi.org/10.3390/rs15123194
APA StyleKouremadas, G., Christodoulakis, J., Varotsos, C., & Xue, Y. (2023). Satellite Sensed Data-Dose Response Functions: A Totally New Approach for Estimating Materials’ Deterioration from Space. Remote Sensing, 15(12), 3194. https://doi.org/10.3390/rs15123194

