Multi-Temporal Remote Sensing Inversion of Evapotranspiration in the Lower Yangtze River Based on Landsat 8 Remote Sensing Data and Analysis of Driving Factors
Abstract
1. Introduction
2. Materials and Methods
2.1. Study Area
2.2. Data Acquisition
2.2.1. Satellite Data
2.2.2. Meteorological Data
2.2.3. Measured ET Data
2.3. Vegetation Index Construction
2.4. Data Dimensionality Reduction
2.4.1. Cluster Analysis
2.4.2. Factor Analysis
2.5. Determination of Important Parameters
2.5.1. Ecosystem Parameters
2.5.2. Fractional Vegetation Cover
2.6. Model and Accuracy Evaluation
2.6.1. ELM
2.6.2. Multiple Linear Regression
2.6.3. Accuracy Evaluation
3. Results
3.1. Statistical Analysis of Measured ET
3.2. Variable Correlation Analysis
3.3. Data Dimensionality Reduction
3.4. Results of Model Inversions
3.5. Analysis of the Distribution Characteristics of Evapotranspiration in the Three Cities
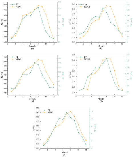
3.5.1. Time-Series Change Characteristics
3.5.2. Inter-Annual Spatial Distribution Characteristics
3.5.3. Seasonal Spatial Distribution Characteristics
3.6. Analysis of Characteristic Factor Drivers
3.6.1. Environmental Factors
3.6.2. Factors of FVC
4. Discussion
4.1. Data Optimization Studies
4.2. Model Accuracy Discussion
4.3. Selection of Vegetation Indices
4.4. Spatial- and Temporal-Change-Driven Analysis
5. Conclusions
- It is feasible to build an ET inversion model using satellite remote sensing spectral data and ecological environment data. Both models could invert the ET in the study area with high accuracy, and the introduction of ecological environment factors significantly improved the model accuracy. Among them, the best model for inversion from 2016 to 2019 was the ELM model, with an R2 of 0.82, 0.86, 0.83, and 0.62, and an RMSE of 0.31 mm, 0.06 mm, 0.59 mm, and 0.29 mm, respectively; the best model for inversion in 2021 was the MLR model, with an R2 of 0.87 and an RMSE of 0.29 mm.
- The spatial and temporal distributions of ET in the study area showed typical geographical and seasonal characteristics. Spatially, higher-ET areas were concentrated in the north, central, and south-western areas with higher vegetation cover and more extensive agricultural land; ET values were lower in areas close to cities. Temporally, ET peaked in summer, and the values of ET in all seasons, from high to low, followed the order summer > autumn > spring > winter.
- Net solar radiation, soil heat flux, soil moisture, and soil temperature significantly affected the ET variation, with correlation coefficients of 0.94 (p < 0.001), 0.70 (p < 0.001), 0.39 (p < 0.05), and 0.91 (p < 0.001), respectively; the average correlation coefficient of vegetation cover reached 0.605, and its spatial and temporal variations were also the main factors in the increase or decrease in ET in the study area.
Author Contributions
Funding
Data Availability Statement
Acknowledgments
Conflicts of Interest
References
- Wang, J.; Cheng, D.; Wu, L.; Yu, X. Remote-Sensing Inversion Method for Evapotranspiration by Fusing Knowledge and Multisource Data. Sci. Program. 2022, 2022, 2076633. [Google Scholar] [CrossRef]
- Zhang, K.; Kimball, J.S.; Running, S.W. A review of remote sensing based actual evapotranspiration estimation. Wiley Interdiscip. Rev.-Water 2016, 3, 834–853. [Google Scholar] [CrossRef]
- Anderson, M.C.; Zolin, C.A.; Sentelhas, P.C.; Hain, C.R.; Semmens, K.; Yilmaz, M.T.; Gao, F.; Otkin, J.A.; Tetrault, R. The Evaporative Stress Index as an indicator of agricultural drought in Brazil: An assessment based on crop yield impacts. Remote Sens. Environ. 2016, 174, 82–99. [Google Scholar] [CrossRef]
- Khan, A.; Stockle, C.O.; Nelson, R.L.; Peters, T.; Adam, J.C.; Lamb, B.; Chi, J.; Waldo, S. Estimating Biomass and Yield Using METRIC Evapotranspiration and Simple Growth Algorithms. Agron. J. 2019, 111, 536–544. [Google Scholar] [CrossRef]
- Yang, Y.; Anderson, M.C.; Gao, F.; Wardlow, B.; Hain, C.R.; Otkin, J.A.; Alfieri, J.; Yang, Y.; Sun, L.; Dulaney, W. Field-scale mapping of evaporative stress indicators of crop yield: An application over Mead, NE, USA. Remote Sens. Environ. 2018, 210, 387–402. [Google Scholar] [CrossRef]
- Oliveira, R.A.; Rocha, I.d.B.; Sediyama, G.C.; Puiatti, M.; Cecon, P.R.; Silveira, S.d.F.R. Coeficientes de cultura da cenoura nas condições edafoclimáticas do Alto Paranaíba, no Estado de Minas Gerais. Rev. Bras. De Eng. Agrícola E Ambient. 2003, 7, 280–284. [Google Scholar] [CrossRef]
- Faisol, A.; Indarto; Novita, E.; Budiyono. An evaluation of MODIS global evapotranspiration product (MOD16A2) as terrestrial evapotranspiration in East Java—Indonesia. In Proceedings of the 2nd International Conference on Environmental Geography and Geography Education (ICEGE), Univ Jember, FKIP, Dept Social Sci Educ, East Java, Indonesia, 28–29 September 2020. [Google Scholar]
- Eugenio, F.; Marcello, J.; Martin, J. High-Resolution Maps of Bathymetry and Benthic Habitats in Shallow-Water Environments Using Multispectral Remote Sensing Imagery. IEEE Trans. Geosci. Remote Sens. 2015, 53, 3539–3549. [Google Scholar] [CrossRef]
- Yao, L.; Lu, N. Spatiotemporal distribution and short-term trends of particulate matter concentration over China, 2006–2010. Environ. Sci. Pollut. Res. 2014, 21, 9665–9675. [Google Scholar] [CrossRef]
- Li, H.; He, X.; Ding, J.; Bai, Y.; Wang, D.; Gong, F.; Li, T. The Inversion of HY-1C-COCTS Ocean Color Remote Sensing Products from High-Latitude Seas. Remote Sens. 2022, 14, 5722. [Google Scholar] [CrossRef]
- Lopez, O.; McCabe, M.F.; Houborg, R. Evaluation of multiple satellite evaporation products in two dryland regions using GRACE. In Proceedings of the 21st International Congress on Modelling and Simulation (MODSIM) held jointly with the 23rd National Conference of the Australian-Society-for-Operations-Research/DSTO led Defence Operations Research Symposium DORS, Gold Coast, Australia, 29 November–4 December 2015; pp. 1379–1385. [Google Scholar]
- McCabe, M.F.; Miralles, D.G.; Holmes, T.R.H.; Fisher, J.B. Advances in the Remote Sensing of Terrestrial Evaporation. Remote Sens. 2019, 11, 1138. [Google Scholar] [CrossRef]
- Chen, J.M.; Liu, J. Evolution of evapotranspiration models using thermal and shortwave remote sensing data. Remote Sens. Environ. 2020, 237, 111594. [Google Scholar] [CrossRef]
- Wang, S.; Liu, C.; Tan, Y.; Wang, J.; Du, F.; Han, Z.; Jiang, Z.; Wang, L. Remote sensing inversion characteristic and driving factor analysis of wetland evapotranspiration in the Sanmenxia Reservoir area, China. J. Water Clim. Change 2022, 13, 1599–1611. [Google Scholar] [CrossRef]
- Gao, H.; Zhang, X.; Wang, X.; Zeng, Y. Phenology-Based Remote Sensing Assessment of Crop Water Productivity. Water 2023, 15, 329. [Google Scholar] [CrossRef]
- Yang, Y.; Yang, Y.; Liu, D.L.; Nordblom, T.; Wu, B.; Yan, N. Regional Water Balance Based on Remotely Sensed Evapotranspiration and Irrigation: An Assessment of the Haihe Plain, China. Remote Sens. 2014, 6, 2514–2533. [Google Scholar] [CrossRef]
- Liu, J.; He, Z.; Yu, J. An Improved Remote Sensing Evaporation Model and Its Application to Estimate the Surface Evaporation of Sichuan Province. Nanosci. Nanotechnol. Lett. 2017, 9, 2105–2111. [Google Scholar] [CrossRef]
- Ryu, Y.; Baldocchi, D.D.; Kobayashi, H.; van Ingen, C.; Li, J.; Black, T.A.; Beringer, J.; van Gorsel, E.; Knohl, A.; Law, B.E.; et al. Integration of MODIS land and atmosphere products with a coupled-process model to estimate gross primary productivity and evapotranspiration from 1 km to global scales. Glob. Biogeochem. Cycles 2011, 25. [Google Scholar] [CrossRef]
- Wei, Z.; Yoshimura, K.; Wang, L.; Miralles, D.G.; Jasechko, S.; Lee, X. Revisiting the contribution of transpiration to global terrestrial evapotranspiration. Geophys. Res. Lett. 2017, 44, 2792–2801. [Google Scholar] [CrossRef]
- Liu, Y.; Zhang, S.; Zhang, J.; Tang, L.; Bai, Y. Assessment and Comparison of Six Machine Learning Models in Estimating Evapotranspiration over Croplands Using Remote Sensing and Meteorological Factors. Remote Sens. 2021, 13, 3838. [Google Scholar] [CrossRef]
- Han, H.; Bai, J.; Yan, J.; Yang, H.; Ma, G. A combined drought monitoring index based on multi-sensor remote sensing data and machine learning. Geocarto Int. 2021, 36, 1161–1177. [Google Scholar] [CrossRef]
- Jia, Z.Z.; Liu, S.M.; Xu, Z.W.; Liang, S.L. Intercomparison of Evapotranspiration Models Using Remote Sensing Date and Ground Measurements during the MUSOEXE-12 Campaign. In Proceedings of the 2nd International Conference on Agro-Geoinformatics (Agro-Geoinformatics), Fairfax, VA, USA, 12–16 August 2013; pp. 220–225. [Google Scholar]
- Mosre, J.; Suarez, F. Actual Evapotranspiration Estimates in Arid Cold Regions Using Machine Learning Algorithms with In Situ and Remote Sensing Data. Water 2021, 13, 870. [Google Scholar] [CrossRef]
- Wang, K.; Dickinson, R.E.; Wild, M.; Liang, S. Evidence for decadal variation in global terrestrial evapotranspiration between 1982 and 2002: 1. Model development. J. Geophys. Res.-Atmos. 2010, 115. [Google Scholar] [CrossRef]
- Albarakat, R.; Lakshmi, V. Comparison of Normalized Difference Vegetation Index Derived from Landsat, MODIS, and AVHRR for the Mesopotamian Marshes Between 2002 and 2018. Remote Sens. 2019, 11, 1245. [Google Scholar] [CrossRef]
- Andalibi, L.; Ghorbani, A.; Darvishzadeh, R.; Moameri, M.; Hazbavi, Z.; Jafari, R.; Dadjou, F. Multisensor Assessment of Leaf Area Index across Ecoregions of Ardabil Province, Northwestern Iran. Remote Sens. 2022, 14, 5731. [Google Scholar] [CrossRef]
- Kumari, N.; Saco, P.M.; Rodriguez, J.F.; Johnstone, S.A.; Srivastava, A.; Chun, K.P.; Yetemen, O. The Grass Is Not Always Greener on the Other Side: Seasonal Reversal of Vegetation Greenness in Aspect-Driven Semiarid Ecosystems. Geophys. Res. Lett. 2020, 47, e2020GL088918. [Google Scholar] [CrossRef]
- Huete, A.; Didan, K.; Miura, T.; Rodriguez, E.P.; Gao, X.; Ferreira, L.G. Overview of the radiometric and biophysical performance of the MODIS vegetation indices. Remote Sens. Environ. 2002, 83, 195–213. [Google Scholar] [CrossRef]
- Martin-Ortega, P.; Gonzaga Garcia-Montero, L.; Sibelet, N. Temporal Patterns in Illumination Conditions and Its Effect on Vegetation Indices Using Landsat on Google Earth Engine. Remote Sens. 2020, 12, 211. [Google Scholar] [CrossRef]
- Zhang, H.; Yuan, N.; Ma, Z.; Huang, Y. Understanding the Soil Temperature Variability at Different Depths: Effects of Surface Air Temperature, Snow Cover, and the Soil Memory. Adv. Atmos. Sci. 2021, 38, 493–503. [Google Scholar] [CrossRef]
- Maki, M.; Homma, K. Empirical Regression Models for Estimating Multiyear Leaf Area Index of Rice from Several Vegetation Indices at the Field Scale. Remote Sens. 2014, 6, 4764–4779. [Google Scholar] [CrossRef]
- Nie, Y.; Tan, Y.; Deng, Y.; Yu, J. Suitability Evaluation of Typical Drought Index in Soil Moisture Retrieval and Monitoring Based on Optical Images. Remote Sens. 2020, 12, 2587. [Google Scholar] [CrossRef]
- Yin, C.; He, B.; Quan, X.; Yebra, M.; Lai, G. Remote Sensing of Burn Severity Using Coupled Radiative Transfer Model: A Case Study on Chinese Qinyuan Pine Fires. Remote Sens. 2020, 12, 3590. [Google Scholar] [CrossRef]
- Zhao, W.; Zhou, C.; Zhou, C.; Ma, H.; Wang, Z. Soil Salinity Inversion Model of Oasis in Arid Area Based on UAV Multispectral Remote Sensing. Remote Sens. 2022, 14, 1804. [Google Scholar] [CrossRef]
- Mao, D.; Wang, Z.; Luo, L.; Ren, C. Integrating AVHRR and MODIS data to monitor NDVI changes and their relationships with climatic parameters in Northeast China. Int. J. Appl. Earth Obs. Geoinf. 2012, 18, 528–536. [Google Scholar] [CrossRef]
- Melillos, G.; Hadjimitsis, D.G. Detecting underground structures in vegetation indices time series using histograms. In Proceedings of the Conference on Detection and Sensing of Mines, Explosive Objects, and Obscured Targets XXV, Electr Network, Online, 27 April–8 May 2020. [Google Scholar]
- Xu, L.Y.; Xie, X.D.; Li, S. Correlation analysis of the urban heat island effect and the spatial and temporal distribution of atmospheric particulates using TM images in Beijing. Environ. Pollut. 2013, 178, 102–114. [Google Scholar] [CrossRef] [PubMed]
- Rondeaux, G.; Steven, M.; Baret, F. Optimization of soil-adjusted vegetation indices. Remote Sens. Environ. 1996, 55, 95–107. [Google Scholar] [CrossRef]
- Melillos, G.; Themistocleous, K.; Hadjimitsis, D.G. Detecting Underground Structures in Vegetation Indices (MSR, RDVI, OSAVI, IRG) Time Series Using Histograms. In Proceedings of the 8th International Conference on Remote Sensing and Geoinformation of the Environment (RSCy), Paphos, Cyprus, 16–18 March 2020. [Google Scholar]
- Jiang, Z.Y.; Huete, A.R.; Li, J.; Qi, J.G. Interpretation of the modified soil-adjusted vegetation index isolines in red-NIR reflectance space. J. Appl. Remote Sens. 2007, 1, 013503. [Google Scholar] [CrossRef]
- Gitelson, A.A.; Kaufman, Y.J.; Merzlyak, M.N. Use of a green channel in remote sensing of global vegetation from EOS-MODIS. Remote Sens. Environ. 1996, 58, 289–298. [Google Scholar] [CrossRef]
- Miura, T.; Huete, A.R.; Yoshioka, H. Evaluation of sensor calibration uncertainties on vegetation indices for MODIS. IEEE Trans. Geosci. Remote Sens. 2000, 38, 1399–1409. [Google Scholar] [CrossRef]
- Saucedo-Terán, R.A.; Jurado-Guerra, P.; Rubio-Arias, H.O.; Álvarez-Holguín, A. Índice de contribución ecológica: Un método simple y confiable para determinar la condición de pastizales. Ecosistemas Y Recur. Agropecu. 2021, 8, e2732. [Google Scholar] [CrossRef]
- Gitelson, A.A.; Kaufman, Y.J.; Stark, R.; Rundquist, D. Novel algorithms for remote estimation of vegetation fraction. Remote Sens. Environ. 2002, 80, 76–87. [Google Scholar] [CrossRef]
- Picotte, J.J.; Peterson, B.; Meier, G.; Howard, S.M. 1984–2010 trends in fire burn severity and area for the conterminous US. Int. J. Wildland Fire 2016, 25, 413–420. [Google Scholar] [CrossRef]
- Blackburn, G.A. Spectral indices for estimating photosynthetic pigment concentrations: A test using senescent tree leaves. Int. J. Remote Sens. 1998, 19, 657–675. [Google Scholar] [CrossRef]
- Curto, J.D.; Pinto, J.C. New multicollinearity indicators in linear regression models. Int. Stat. Rev. 2007, 75, 114–121. [Google Scholar] [CrossRef]
- Huang, G.B.; Zhu, Q.Y.; Siew, C.K. Extreme learning machine: Theory and applications. Neurocomputing 2006, 70, 489–501. [Google Scholar] [CrossRef]
- Huang, G.B.; Zhu, Q.Y.; Siew, C.K.; IEEE. Extreme learning machine: A new learning scheme of feedforward neural networks. In Proceedings of the IEEE International Joint Conference on Neural Networks (IJCNN), Budapest, Hungary, 25–29 July 2004; pp. 985–990. [Google Scholar]
- Ding, S.; Xu, X.; Nie, R. Extreme learning machine and its applications. Neural Comput. Appl. 2014, 25, 549–556. [Google Scholar] [CrossRef]
- Bas, M.D.; Ortiz, J.; Ballesteros, L.; Martorell, S. Evaluation of a multiple linear regression model and SARIMA model in forecasting Be-7 air concentrations. Chemosphere 2017, 177, 326–333. [Google Scholar] [CrossRef] [PubMed]
- Lin, N.; Jiang, R.; Liu, Q.; Guo, X.; Yang, H.; Chen, S. Spatiotemporal characteristics and driving factors of surface evapotranspiration in Sanjiang Plain in recent 20 years. Geol. China 2021, 48, 1392–1407. [Google Scholar]
- Lavery, M.R.; Acharya, P.; Sivo, S.A.; Xu, L. Number of predictors and multicollinearity: What are their effects on error and bias in regression? Commun. Stat.-Simul. Comput. 2019, 48, 27–38. [Google Scholar] [CrossRef]
- Amazirh, A.; Er-Raki, S.; Chehbouni, A.; Rivalland, V.; Diarra, A.; Khabba, S.; Ezzahar, J.; Merlin, O. Modified Penman-Monteith equation for monitoring evapotranspiration of wheat crop: Relationship between the surface resistance and remotely sensed stress index. Biosyst. Eng. 2017, 164, 68–84. [Google Scholar] [CrossRef]
- Yin, M.-L.; Aroush, H.; IEEE. Constant-Time Linear Regression Learning and Its Applications on Real-Time R&M Systems. In Proceedings of the 68th Annual Reliability and Maintainability Symposium (RAMS), Tucson, AZ, USA, 24–27 January 2022. [Google Scholar]
- Matsushita, B.; Yang, W.; Chen, J.; Onda, Y.; Qiu, G. Sensitivity of the Enhanced Vegetation Index (EVI) and Normalized Difference Vegetation Index (NDVI) to topographic effects: A case study in high-density cypress forest. Sensors 2007, 7, 2636–2651. [Google Scholar] [CrossRef]
- Glenn, E.P.; Scott, R.L.; Uyen, N.; Nagler, P.L. Wide-area ratios of evapotranspiration to precipitation in monsoon-dependent semiarid vegetation communities. J. Arid Environ. 2015, 117, 84–95. [Google Scholar] [CrossRef]
- Moreira, E.P.; Valeriano, M.M. Application and evaluation of topographic correction methods to improve land cover mapping using object-based classification. Int. J. Appl. Earth Obs. Geoinf. 2014, 32, 208–217. [Google Scholar] [CrossRef]














| Band Name | Bandwidth (μm) | Resolution (m) | Collection Time | |||||
|---|---|---|---|---|---|---|---|---|
| 2016 | 2017 | 2018 | 2019 | 2021 | ||||
| Landsat 8 | Band 1 Coastal | 0.43–0.45 | 30 | 02/25 | 02/11 | 04/03 | 04/06 | 01/30 |
| Band 2 Blue | 0.45–0.51 | 30 | ||||||
| Band 3 Green | 0.53–0.59 | 30 | 03/12 | 05/18 | 04/19 | 05/24 | 03/26 | |
| Band 4 Red | 0.64–0.67 | 30 | ||||||
| Band 5 NIR | 0.85–0.88 | 30 | 03/28 | 10/26 | 10/28 | 08/12 | 09/18 | |
| Band 6 SWIR 1 | 1.57–1.65 | 30 | ||||||
| Band 7 SWIR 2 | 2.11–2.29 | 30 | 12/09 | 12/12 | 10/31 | 10/04 | ||
| Band 8 Pan | 0.50–0.68 | 15 | ||||||
| Spectral Indices | Calculation Formula | Reference |
|---|---|---|
| Normalized Difference Vegetation Index (NDVI) | NDVI = (B5 − B4)/(B5 + B4) | [35] |
| Ratio Vegetation Index (RVI) | RVI = B5/B4 | [36] |
| Enhanced Vegetation Index (EVI) | EVI = 2.5*(B5 − B4)/(B5 + 6*B4 − 7.5*B2 + 1) | [28] |
| Difference Vegetation Index (DVI) | DVI = B5 − B4 | [37] |
| Soil-Adjusted Vegetation Index (SAVI) | SAVI = 1.5*(B5 − B4)/(B5 + B4 + 0.5) | [38] |
| Renormalized Difference Vegetation Index (RDVI) | RDVI = (B5 − B4)/Sqrt(B5 − B4) | [39] |
| Modified Soil-Adjusted Vegetation Index (MSAVI) | MSAVI = (2*B7 + 1 − Sqrt(2*(2*B7 + 1) − 8*(b7 − b6)))/2 | [40] |
| Green Normalized Difference Vegetation Index (GNDVI) | GNDVI = (B5 − B3)/(B5 + B3) | [41] |
| Optimized Soil-Adjusted Vegetation Index (OSAVI) | OSAVI = (B5 − B4)/(B5 + B4 + 0.16) | [38] |
| Atmospherically Resistant Vegetation Index (ARVI) | ARVI = (B5 − 2*B4 + B2)/(B5 + 2*B4 + B2) | [42] |
| Red-Edged Chlorophyll Vegetation Index (RECI) | RECI = B5/B4 − 1 | [43] |
| Visible Atmospheric Resistance Index (VARI) | VARI = (B3 − B4)/(B3 + B4 − B2) | [44] |
| Normalized Burn Ratio (NBR) | NBR = (B5 − B6)/(B5 + B6) | [45] |
| Structure Insensitive Pigment Index (SIPI) | SIPI = (B5 − B2)/(B5 − B4) | [46] |
| Collection Time | Number of Samples | Statistical Indicators | |||
|---|---|---|---|---|---|
| Maximum | Minimum | Average | Standard Deviation | ||
| 2016 | 84 | 4.57 | 0.34 | 2.71 | 1.19 |
| 2017 | 84 | 5.92 | 0.45 | 3.50 | 1.48 |
| 2018 | 63 | 4.51 | 0.68 | 3.08 | 0.98 |
| 2019 | 84 | 4.82 | 0.44 | 2.16 | 1.18 |
| 2021 | 84 | 3.65 | 0.60 | 2.34 | 0.81 |
| 2016 | 2017 | 2018 | 2019 | 2021 | |
|---|---|---|---|---|---|
| B1 | 0.401 ** | −0.274 * | 0.497 ** | 0.220 * | 0.317 * |
| B2 | 0.304 ** | −0.287 ** | 0.436 ** | 0.158 | 0.252 * |
| B3 | 0.389 ** | −0.258 * | 0.432 ** | 0.098 | 0.190 |
| B4 | 0.256 * | −0.335 ** | 0.267 * | −0.065 | −0.014 |
| B5 | 0.619 ** | 0.312 ** | 0.350 ** | 0.281 ** | 0.426 ** |
| B6 | 0.352 ** | −0.135 | 0.283 * | 0.037 | 0.126 |
| B7 | 0.219 * | −0.284 ** | 0.203 | −0.080 | −0.051 |
| NDVI | 0.372 ** | 0.466 ** | 0.010 | 0.199 | 0.385 ** |
| RVI | 0.334 ** | 0.433 ** | −0.071 | 0.224 * | 0.381 ** |
| EVI | 0.156 | 0.129 | 0.086 | 0.026 | 0.116 |
| DVI | 0.582 ** | 0.489 ** | 0.258 * | 0.306 ** | 0.460 ** |
| SAVI | 0.372 ** | 0.466 ** | 0.010 | 0.199 | 0.385 ** |
| RDVI | 0.519 ** | 0.487 ** | 0.171 | 0.276 * | 0.446 ** |
| MSAVI | 0.358 ** | 0.452 ** | 0.057 | 0.178 | 0.376 ** |
| GNDVI | 0.200 | 0.367 ** | −0.087 | 0.028 | 0.171 |
| OSAVI | 0.372 ** | 0.466 ** | 0.010 | 0.199 | 0.385 ** |
| ARVI | 0.456 ** | 0.468 ** | 0.042 | 0.291 ** | 0.475 ** |
| RECI | 0.334 ** | 0.433 ** | −0.071 | 0.224 * | 0.381 ** |
| VARI | 0.575 ** | 0.400 ** | 0.322 * | 0.481 ** | 0.615 ** |
| NBR | 0.583 ** | 0.591 ** | 0.208 | 0.418 ** | 0.551 ** |
| SIPI | −0.508 ** | −0.148 | −0.310 * | −0.259 * | −0.122 |
| 2016 | 2017 | 2018 | 2019 | 2021 | |
|---|---|---|---|---|---|
| F1 | 1.91 | 1.37 | 1.41 | 1.54 | 1.26 |
| F2 | 1.23 | 1.25 | 1.13 | 1.02 | 1.56 |
| F3 | 1.40 | 1.89 | 1.13 | 1.50 | 2.15 |
| F4 | 2.26 | 2.59 | 1.35 | 1.03 | 1.70 |
| Model | Year | Training Set | Testing Set | RPD | ||
|---|---|---|---|---|---|---|
| Rc2 | RMSEc | Rv2 | RMSEv | |||
| ELM | 2016 | 0.78 | 0.12 | 0.82 | 0.31 | 2.38 |
| 2017 | 0.83 | 0.01 | 0.86 | 0.06 | 2.65 | |
| 2018 | 0.78 | 0.01 | 0.83 | 0.59 | 2.42 | |
| 2019 | 0.65 | 0.01 | 0.62 | 0.29 | 2.08 | |
| 2021 | 0.75 | 0.01 | 0.77 | 0.09 | 2.07 | |
| MLR | 2016 | 0.87 | 0.26 | 0.80 | 0.36 | 2.19 |
| 2017 | 0.88 | 0.04 | 0.85 | 0.05 | 2.89 | |
| 2018 | 0.68 | 0.05 | 0.82 | 0.34 | 2.38 | |
| 2019 | 0.62 | 0.03 | 0.59 | 0.32 | 2.02 | |
| 2021 | 0.81 | 0.06 | 0.87 | 0.29 | 2.78 | |
| Model | Year | Training Set | Testing Set | RPD | ||
|---|---|---|---|---|---|---|
| Rc2 | RMSEc | Rv2 | RMSEv | |||
| ELM | 2016 | 0.53 | 0.28 | 0.57 | 0.21 | 1.52 |
| 2017 | 0.56 | 0.17 | 0.52 | 0.36 | 1.44 | |
| 2018 | 0.61 | 0.27 | 0.50 | 0.17 | 1.41 | |
| 2019 | 0.47 | 0.06 | 0.46 | 0.19 | 1.36 | |
| 2021 | 0.58 | 0.09 | 0.53 | 0.36 | 1.46 | |
| MLR | 2016 | 0.57 | 0.31 | 0.49 | 0.13 | 1.40 |
| 2017 | 0.55 | 0.05 | 0.49 | 0.27 | 1.40 | |
| 2018 | 0.59 | 0.16 | 0.57 | 0.13 | 1.52 | |
| 2019 | 0.42 | 0.47 | 0.48 | 0.43 | 1.39 | |
| 2021 | 0.53 | 0.44 | 0.53 | 0.41 | 1.46 | |
Disclaimer/Publisher’s Note: The statements, opinions and data contained in all publications are solely those of the individual author(s) and contributor(s) and not of MDPI and/or the editor(s). MDPI and/or the editor(s) disclaim responsibility for any injury to people or property resulting from any ideas, methods, instructions or products referred to in the content. |
© 2023 by the authors. Licensee MDPI, Basel, Switzerland. This article is an open access article distributed under the terms and conditions of the Creative Commons Attribution (CC BY) license (https://creativecommons.org/licenses/by/4.0/).
Share and Cite
Song, E.; Zhu, X.; Shao, G.; Tian, L.; Zhou, Y.; Jiang, A.; Lu, J. Multi-Temporal Remote Sensing Inversion of Evapotranspiration in the Lower Yangtze River Based on Landsat 8 Remote Sensing Data and Analysis of Driving Factors. Remote Sens. 2023, 15, 2887. https://doi.org/10.3390/rs15112887
Song E, Zhu X, Shao G, Tian L, Zhou Y, Jiang A, Lu J. Multi-Temporal Remote Sensing Inversion of Evapotranspiration in the Lower Yangtze River Based on Landsat 8 Remote Sensing Data and Analysis of Driving Factors. Remote Sensing. 2023; 15(11):2887. https://doi.org/10.3390/rs15112887
Chicago/Turabian StyleSong, Enze, Xueying Zhu, Guangcheng Shao, Longjia Tian, Yuhao Zhou, Ao Jiang, and Jia Lu. 2023. "Multi-Temporal Remote Sensing Inversion of Evapotranspiration in the Lower Yangtze River Based on Landsat 8 Remote Sensing Data and Analysis of Driving Factors" Remote Sensing 15, no. 11: 2887. https://doi.org/10.3390/rs15112887
APA StyleSong, E., Zhu, X., Shao, G., Tian, L., Zhou, Y., Jiang, A., & Lu, J. (2023). Multi-Temporal Remote Sensing Inversion of Evapotranspiration in the Lower Yangtze River Based on Landsat 8 Remote Sensing Data and Analysis of Driving Factors. Remote Sensing, 15(11), 2887. https://doi.org/10.3390/rs15112887
