Parameterization and Remote Sensing Retrieval of Land Surface Processes in the Gurbantunggut Desert, China
Abstract
1. Introduction
2. Materials and Methods
2.1. Data and Information
2.1.1. Site Data
2.1.2. Remote Sensing Data
2.2. Site Parameter Calculation
2.2.1. Aerodynamic Roughness
2.2.2. Surface Emissivity
2.2.3. Bulk Transfer Coefficients for Momentum (CD) and Heat (CH)
2.3. Remote Sensing Retrieval Aerodynamic Roughness
3. Results
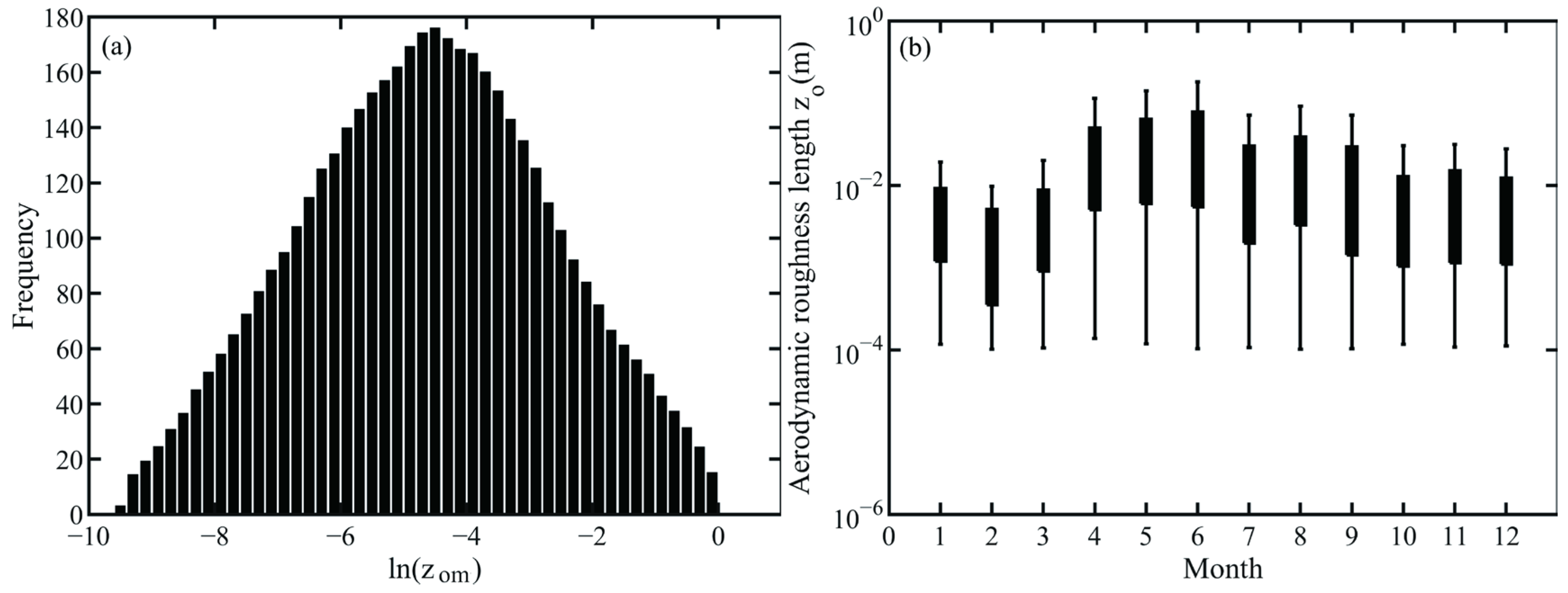
3.1. Surface Roughness
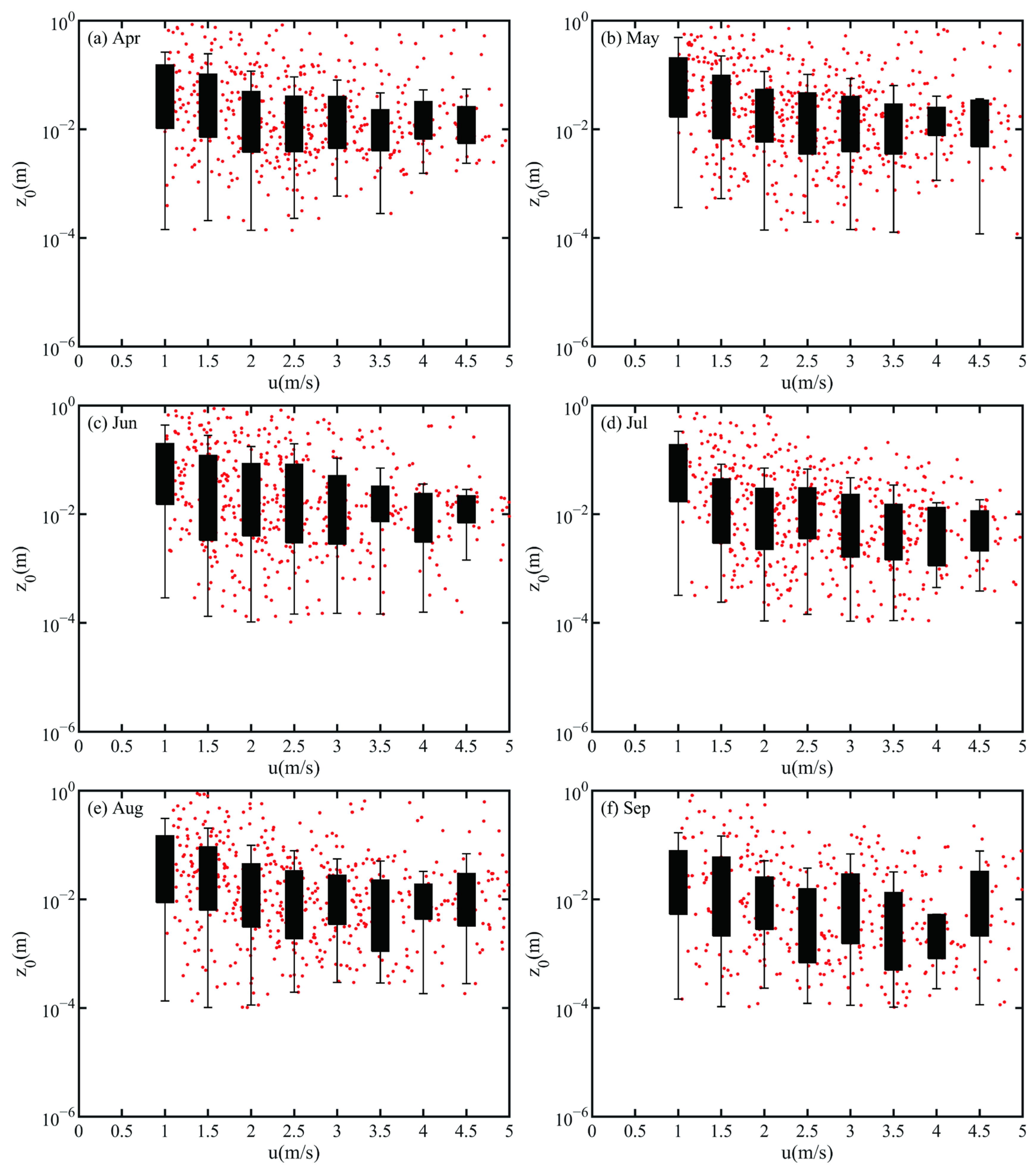
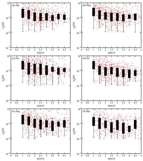
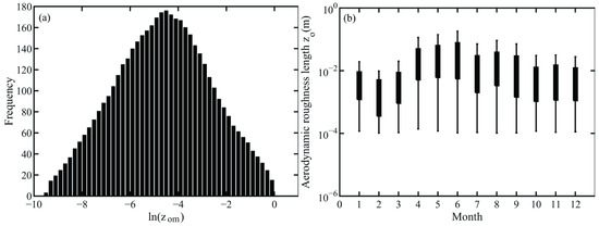
3.1.1. Aerodynamic Roughness
3.1.2. Thermal Roughness Length
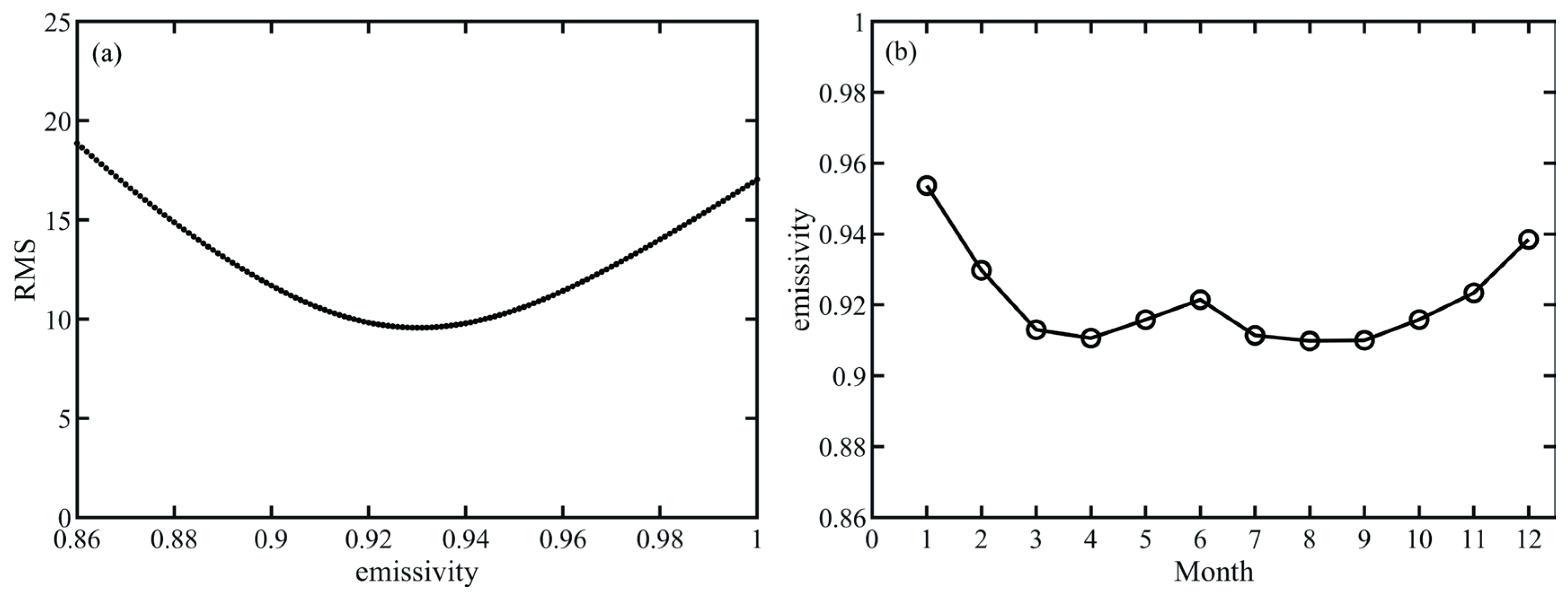
3.2. Surface Emissivity
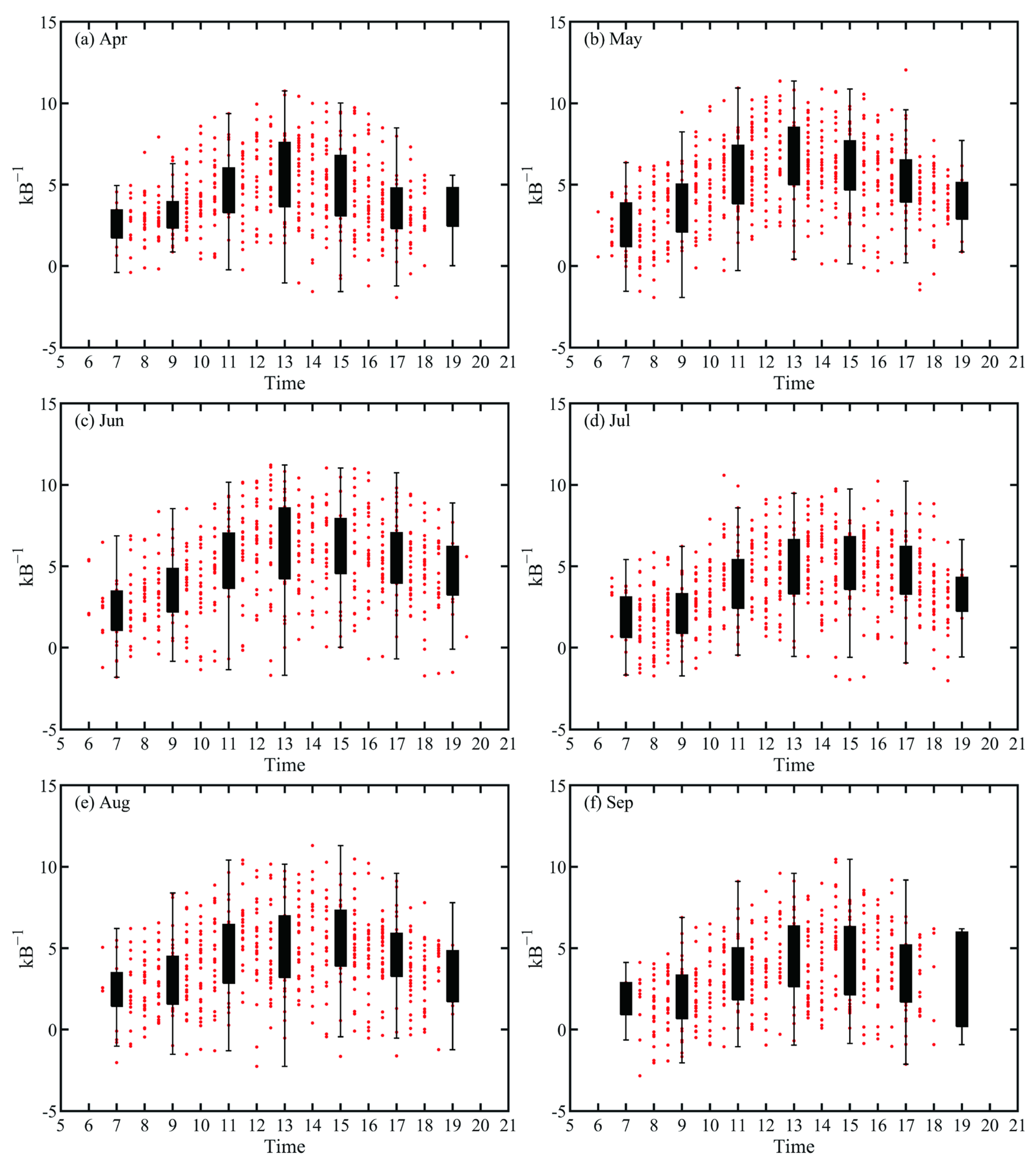
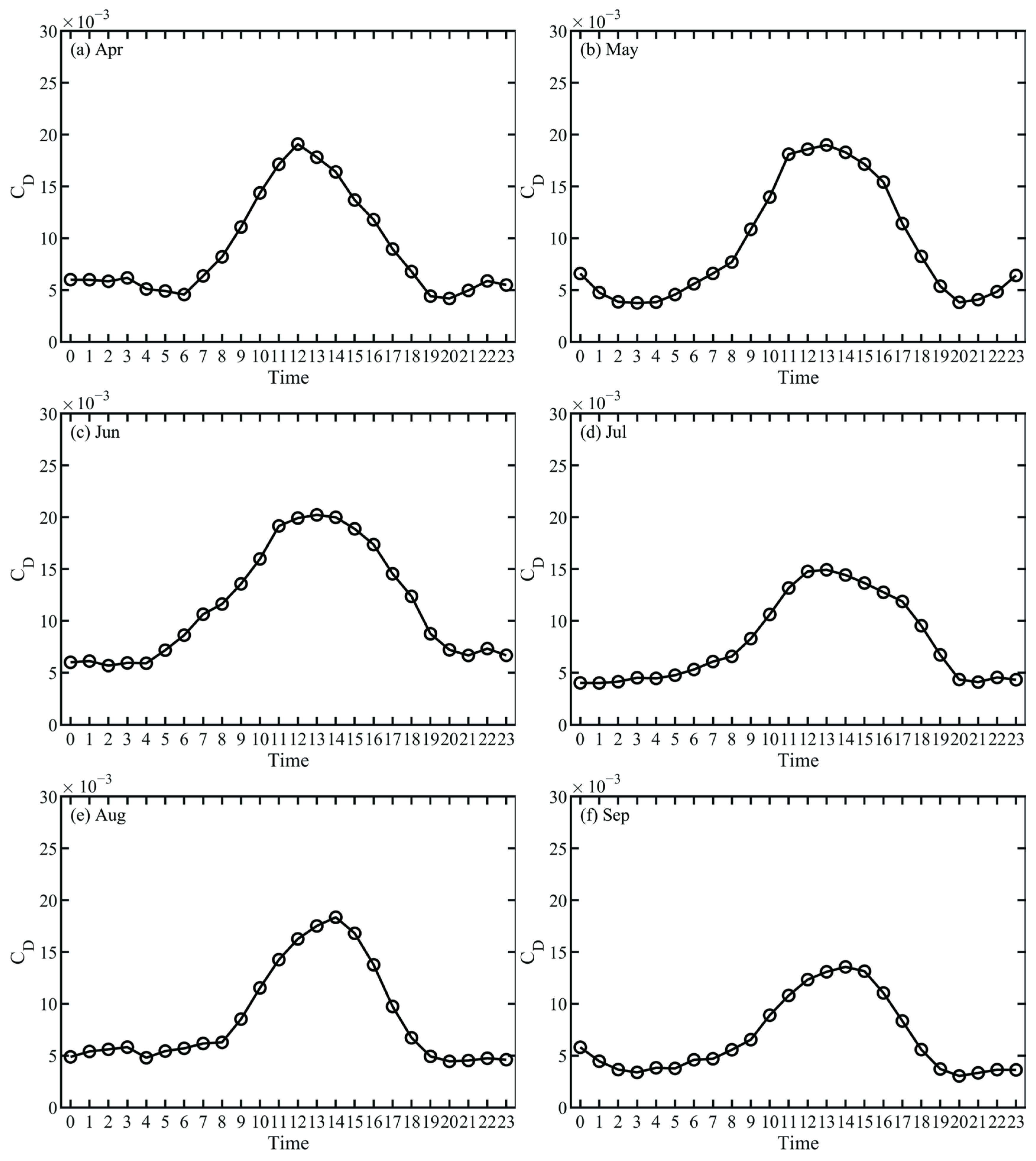
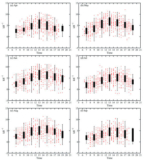
3.3. Bulk Transfer Coefficients for Momentum (CD) and Heat (CH)
3.4. Remote Sensing Retrieval Aerodynamic Roughness
4. Discussion
5. Conclusions
Author Contributions
Funding
Data Availability Statement
Conflicts of Interest
References
- Mamtimin, A.; Wang, Y.; Sayit, H.; Yang, X.; Yang, F.; Huo, W.; Zhou, C. Seasonal Variations of the Near-Surface Atmospheric Boundary Layer Structure in China’s Gurbantunggut Desert. Adv. Meteorol. 2020, 2020, 1–13. [Google Scholar] [CrossRef]
- Mamtimin, A.; Wang, Y.; Sayit, H.; Yang, X.H.; Yang, F.; Huo, W.; Zhou, C.; Jin, L. Characteristics of turbulence over the semi-fixed desert area north of Xinjiang, China. Earth Surf. Process. Landf. 2021, 46, 2365–2378. [Google Scholar] [CrossRef]
- Liu, X.; Dong, Z. Review of Aeodynamic Roughness Length. J. Desert Res. 2003, 23, 337–346. [Google Scholar]
- Yang, K.; Koike, T.; Yang, D.W. Surface flux parameterization in the Tibetan Plateau. Bound. -Layer Meteorol. 2003, 106, 245–262. [Google Scholar] [CrossRef]
- Peng, Z.; Tang, R.L.; Jiang, Y.Z.; Liu, M.; Li, Z.L. Global estimates of 500 m daily aerodynamic roughness length from MODIS data. ISPRS-J. Photogramm. Remote Sens. 2022, 183, 336–351. [Google Scholar] [CrossRef]
- Trepekli, K.; Friborg, T. Deriving Aerodynamic Roughness Length at Ultra-High Resolution in Agricultural Areas Using UAV-Borne LiDAR. Remote Sens. 2021, 13, 3538. [Google Scholar] [CrossRef]
- Ma, S.P.; Zhou, L.B.; Zou, H.; Li, F.; Zhu, J.H. Evaluation of thermal roughness schemes in surface heat transfer simulations over grassland in Southeast Tibet. Atmos. Res. 2022, 270, 9. [Google Scholar] [CrossRef]
- Yang, K.; Koike, T.; Ishikawa, H.; Kim, J.; Li, X.; Liu, H.; Liu, S.; Ma, Y.; Wang, J. Turbulent flux transfer over bare-soil surfaces: Characteristics and parameterization. J. Appl. Meteorol. Climatol. 2008, 47, 276–290. [Google Scholar] [CrossRef]
- Aqiang, Y.; Guoqing, S.U.N.; Lixin, L.U.; Zhifeng, G.U.O.; Yimin, L.I.U. Deriving aerodynamic roughness length and zero-plane displacement height from MODIS product for Eastern China. Sci. Meteorol. Sin. 2011, 31, 516–524. [Google Scholar]
- Wang, G. Observation of Land-atmosphere Interaction over Semi-arid Regions. Ph.D. Thesis, Lanzhou University, Lanzhou, China, 2013. [Google Scholar]
- Wang, X.; Xu, J.; Liu, F.; Gao, S. Spatial-temporal Changes of Land Surface Emissivity in China from 2001 to 2010. J. Geogr. 2012, 67, 93–100. [Google Scholar]
- Wang, Y.; Xu, X.; Liu, H.; Li, Y.; Li, Y.; Hu, Z.; Gao, X.; Ma, Y.; Sun, J.; Lenschow, D.H.; et al. Analysis of land surface parameters and turbulence characteristics over the Tibetan Plateau and surrounding region. J. Geophys. Res.-Atmos. 2016, 121, 9540–9560. [Google Scholar] [CrossRef]
- Dong, Z.; Wang, X.; Zhao, A.; Liu, L.; Liu, X. Aerodynamic roughness of fixed sandy beds. J. Geophys. Res. Solid Earth. 2001, 106, 11001–11011. [Google Scholar] [CrossRef]
- Lv, P.; Dong, Z. Aerodynamic roughness length of sandy beds and gravel beds. Environ. Earth Sci. 2012, 67, 1663–1668. [Google Scholar] [CrossRef]
- Liu, X.; Dong, Z.; Wang, X. Aerodynamic Roughness of Fixed Sandy Beds. J. Desert Res. 2003, 23, 13–19. [Google Scholar]
- Mei, F.; Rajot, J.; Alfaro, S.; Zhang, X.; Wang, T. Changes in aerodynamic roughness of flat sand and their physical significance. Prog. Nat. Sci. 2006, 111, 325–330. [Google Scholar]
- Liu, Y.; Meng, X.; Mamtimin, A.; He, Q. Characteristics of land-atmosphere interaction parameters in hinterland of the Taklimakan Desert. Sci. Rep. 2020, 10, 9260. [Google Scholar] [CrossRef] [PubMed]
- Beljaars, A.C.M.; Holtslag, A.A.M. Flux Parameterization Over Land Surfaces For Atmospheric Models. J. Appl. Meteorol. 1991, 30, 327–341. [Google Scholar] [CrossRef]
- Liu, X.; Li, M.; Hu, W. Variations of Surface Roughness on Different Underlying Surface at Nagqu Area over the Qinghai-Tibetan Plateau. J. Basic Sci. Eng. 2019, 38, 428–438. [Google Scholar]
- Grimmond, C.S.B.; Oke, T.R. Aerodynamic properties of urban areas derived, from analysis of surface form. J. Appl. Meteorol. 1999, 38, 1262–1292. [Google Scholar] [CrossRef]
- Qing, H.E.; Qilong, M.; Ruijun, Z.; Ali, M.; Xinchun, L.I.U.; Wen, H.U.O. Analysis on Aerodynamic Roughness in XiaoTang in the Taklimakan Desert. J. Desert Res. 2008, 28, 1011–1016. [Google Scholar]
- Chen, S.; Lu, S. Calculation of Roughness Length of Desert and Its Application in Land Surface Process Model. J. Desert Res. 2013, 33, 174–178. [Google Scholar]
- Yang, X.; Ali, M.; Zhang, R.; He, Q.; Huo, W. Analysis on Aerodynamic Roughness Length in a Desert Transitional Zone of the Taklimakan Desert. Arid. Zone Res. 2012, 29, 524–528. [Google Scholar]
- Zhao, X.; Liu, C.; Tong, B.; Li, Y.; Wang, L.; Ma, Y.; Gao, Z. Study on Surface Process Parameters and Soil Thermal Parameters at Shiquanhe in the Western Qinghai-Xizang Plateau. Highl. Meteorol. 2021, 40, 711–723. [Google Scholar]
- Sun, J.; Hu, Z.; Chen, X.; Zhang, M.; He, H.; Zhang, Y. Comparative Analysis on Momentum Bulk Transfer Coefficients and Roughness Length under the Different Underlying Surfaces in Upper and Middle Reaches of Heihe River Basin. Plateau Meteorol. 2012, 31, 920–926. [Google Scholar]
- Jianxin, X.I.A.; Xuefeng, S.H.I.; Zuwen, J.I.; Xufeng, M.A.O.; Yunfang, M.A. Studies on Influences of Vegetation on Aerodynamic Roughness Length. J. Basic Sci. Eng. 2007, 15, 23–31. [Google Scholar]
- Lu, L.; Liu, S.; Xu, Z.; Yang, K.; Cai, X.; Jia, L.; Wang, J. The Characteristics and Parameterization of Aerodynamic Roughness Length over Heterogeneous Surfaces. Adv. Atmos. Sci. 2009, 26, 180–190. [Google Scholar] [CrossRef]
- Yue, P.; Zhang, Q.; Zhang, W.; Wang, S.; Shi, J.; Wang, R. Characteristics of Turbulence Transfer in Surface Layer over Semi-Arid Grassland in Loess Plateau in Summer. Plateau Meteorol. 2015, 34, 21–29. [Google Scholar]
- Yang, L.; Gao, X.; Hui, X.; Zhou, Y.; Hou, X. A Study on Energy Balance and Transfer in the Surface Layer over SemiArid Grassland of Nyainrong Area in Central Tibetan Plateau in Summer. Clim. Environ. Res. 2017, 22, 335–345. [Google Scholar]
- Zheng, X.; Yang, F.; Li, C.; Pan, H.; Ji, C.; Mamtimin, A.; Huo, W.; Yang, X.; Zhou, C. The Turbulence Intensity of Surface Layer and Land Surface Processes over Guaizi Lake Shifting Sandy Land on the Northern Margin of Badain Jaran Desert. J. Desert Res. 2019, 39, 103–112. [Google Scholar]
- Xing, Q.; Wu, B.; Yan, N.; Yu, M.; Zhu, W. Evaluating the Relationship between Field Aerodynamic Roughness and the MODIS BRDF, NDVI, and Wind Speed over Grassland. Atmosphere 2017, 8, 16. [Google Scholar] [CrossRef]
- Abbas, M.R.; Bin Rasib, A.W.; Abbas, T.R.; Ahmad, B.B.; Dutsenwai, H.S. Assessment of Aerodynamic Roughness Length Using Remotely Sensed Land Cover Features and MODIS. IOP Conf. Ser. Earth Environ. Sci. 2021, 722, 012015. [Google Scholar] [CrossRef]
- Cho, J.; Miyazaki, S.; Yeh, P.J.; Kim, W.; Kanae, S.; Oki, T. Testing the hypothesis on the relationship between aerodynamic roughness length and albedo using vegetation structure parameters. Int. J. Biometeorol. 2012, 56, 411–418. [Google Scholar] [CrossRef]
- Sun, G.; Hu, Z.; Wang, J.; Xie, Z.; Lin, Y.; Huang, F. Upscaling analysis of aerodynamic roughness length based on in situ data at different spatial scales and remote sensing in north Tibetan Plateau. Atmos. Res. 2016, 176–177, 231–239. [Google Scholar] [CrossRef]
- Liu, Y.; Guo, W.; Huang, H.; Ge, J.; Qiu, B. Estimating global aerodynamic parameters in 1982–2017 using remote-sensing data and a turbulent transfer model. Remote Sens. Environ. 2021, 260, 112428. [Google Scholar] [CrossRef]
- Fang, H.; Baret, F.; Plummer, S.; Schaepman-Strub, G. An Overview of Global Leaf Area Index (LAI): Methods, Products, Validation, and Applications. Rev. Geophys. 2019, 57, 739–799. [Google Scholar] [CrossRef]
- Yu, M. Research on Remote Sensing Methods for the Aerodynamic Roughness Length and Its Application in Evapotranspiration Calculation. Ph.D. Thesis, University of Chinese Academy of Sciences (Institute of Remote Sensing and Digital Earth, Chinese Academy of Sciences), Beijing, China, 2018. [Google Scholar]
- Zhang, Q.; Zeng, J.; Yao, T. Interaction of aerodynamic roughness length and windflow conditions and its parameterization over vegetation surface. Chin. Sci. Bull. 2012, 57, 1559–1567. [Google Scholar] [CrossRef]
- Alekseychik, P.K.; Korrensalo, A.; Mammarella, I.; Vesala, T.; Tuittila, E.S. Relationship between aerodynamic roughness length and bulk sedge leaf area index in a mixed-species boreal mire complex. Geophys. Res. Lett. 2017, 44, 5836–5843. [Google Scholar] [CrossRef]
- Pinker, R.T.; Sun, D.; Hung, M.-P.; Li, C.; Basara, J.B. Evaluation of Satellite Estimates of Land Surface Temperature from GOES over the United States. J. Appl. Meteorol. Climatol. 2009, 48, 167–180. [Google Scholar] [CrossRef]
- Vandegriend, A.A.; Owe, M. On The Relationship Between Thermal Emissivity And The Normalized Difference Vegetation Index For Natural Surfaces. Int. J. Remote Sens. 1993, 14, 1119–1131. [Google Scholar] [CrossRef]
- Vandegriend, A.A.; Owe, M.; Groen, M.; Stoll, M.P. Measurement And Spatial Variation of Thermal Infrared Surface Emissivity In A Savanna Environment. Water Resour. Res. 1991, 27, 371–379. [Google Scholar] [CrossRef]
- Liu, Y.; Manitimin, A.; Huo, W.; Yang, X.; Liu, X.; He, Q. Charactistics of Land Surface Emissivity on Distribution and Variation in Taklimakan Desert. Desert Oasis Meteorol. 2014, 8, 1–7. [Google Scholar]
- Zhai, J.; Liu, J.; Liu, R.; Qin, Y.; Huang, L. Spatial-Temporal Patterns and Important Factors Driving and Surface Emissivity in China, 2000–2011. Resour. Sci. 2013, 35, 2094–2103. [Google Scholar]









Disclaimer/Publisher’s Note: The statements, opinions and data contained in all publications are solely those of the individual author(s) and contributor(s) and not of MDPI and/or the editor(s). MDPI and/or the editor(s) disclaim responsibility for any injury to people or property resulting from any ideas, methods, instructions or products referred to in the content. |
© 2023 by the authors. Licensee MDPI, Basel, Switzerland. This article is an open access article distributed under the terms and conditions of the Creative Commons Attribution (CC BY) license (https://creativecommons.org/licenses/by/4.0/).
Share and Cite
Li, W.; Gao, J.; Mamtimin, A.; Liu, Y.; Wang, Y.; Song, M.; Wen, C.; Aihaiti, A.; Yang, F.; Huo, W.; et al. Parameterization and Remote Sensing Retrieval of Land Surface Processes in the Gurbantunggut Desert, China. Remote Sens. 2023, 15, 2646. https://doi.org/10.3390/rs15102646
Li W, Gao J, Mamtimin A, Liu Y, Wang Y, Song M, Wen C, Aihaiti A, Yang F, Huo W, et al. Parameterization and Remote Sensing Retrieval of Land Surface Processes in the Gurbantunggut Desert, China. Remote Sensing. 2023; 15(10):2646. https://doi.org/10.3390/rs15102646
Chicago/Turabian StyleLi, Wei, Jiacheng Gao, Ali Mamtimin, Yongqiang Liu, Yu Wang, Meiqi Song, Cong Wen, Ailiyaer Aihaiti, Fan Yang, Wen Huo, and et al. 2023. "Parameterization and Remote Sensing Retrieval of Land Surface Processes in the Gurbantunggut Desert, China" Remote Sensing 15, no. 10: 2646. https://doi.org/10.3390/rs15102646
APA StyleLi, W., Gao, J., Mamtimin, A., Liu, Y., Wang, Y., Song, M., Wen, C., Aihaiti, A., Yang, F., Huo, W., Zhou, C., Wang, W., & Cui, Z. (2023). Parameterization and Remote Sensing Retrieval of Land Surface Processes in the Gurbantunggut Desert, China. Remote Sensing, 15(10), 2646. https://doi.org/10.3390/rs15102646

