Dynamic Maize Yield Predictions Using Machine Learning on Multi-Source Data
Abstract
1. Introduction
2. Materials
2.1. Study Area
2.2. Data Sources
2.2.1. Yield and Crop Data
2.2.2. Meteorological Data
2.2.3. Soil Data
2.2.4. Sentinel-2/MSI Datasets
3. Methods
3.1. Phenological Stage Estimation
3.2. Feature Extraction by Phenological Stage
3.3. Model Configurations
3.4. Cross-Validation Strategy
3.5. Machine Learning Algorithms
3.6. Predictor Variables of Maize Yield
3.7. Model Evaluation
4. Results
4.1. Performance of Yield Predictions
4.2. Influence of Lead Time on Yield Prediction Performance
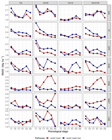
4.3. Effect of Data Reduction (PCA)
4.4. Informative Predictor Variables
5. Discussion
6. Conclusions
Supplementary Materials
Author Contributions
Funding
Data Availability Statement
Conflicts of Interest
References
- World Population Prospects—Population Division—United Nations. Available online: https://www.un.org/development/desa/pd/ (accessed on 20 July 2022).
- IPCC. 2021Global Warming of 1.5 °C. In Special Report Intergovernmental Panel on Climate Change; IPCC: Geneva, Switzerland, 2021. [Google Scholar]
- Rounsevell, M.D.A.; Ewert, F.; Reginster, I.; Leemans, R.; Carter, T.R. Future Scenarios of European Agricultural Land Use: {II}. Projecting Changes in Cropland and Grassland. Agric. Ecosyst. Environ 2005, 107, 117–135. [Google Scholar] [CrossRef]
- Godfray, H.C.J.; Beddington, J.R.; Crute, I.R.; Haddad, L.; Lawrence, D.; Muir, J.F.; Pretty, J.; Robinson, S.; Thomas, S.M.; Toulmin, C. Food Security: The Challenge of Feeding 9 Billion People. Science 2010, 327, 812–818. [Google Scholar] [CrossRef]
- Lezoche, M.; Hernandez, J.E.; del Alemany Díaz, M.M.E.; Panetto, H.; Kacprzyk, J. Agri-Food 4.0: A Survey of the Supply Chains and Technologies for the Future Agriculture. Comput. Ind. 2020, 117, 103187. [Google Scholar] [CrossRef]
- Schauberger, B.; Jägermeyr, J.; Gornott, C. A Systematic Review of Local to Regional Yield Forecasting Approaches and Frequently Used Data Resources. Eur. J. Agron. 2020, 120, 126153. [Google Scholar] [CrossRef]
- Liu, J.; Shang, J.; Qian, B.; Huffman, T.; Zhang, Y.; Dong, T.; Jing, Q.; Martin, T. Crop Yield Estimation Using Time-Series {MODIS} Data and the Effects of Cropland Masks in Ontario, Canada. Remote Sens. 2019, 11, 2419. [Google Scholar] [CrossRef]
- Basso, B.; Liu, L. Seasonal Crop Yield Forecast: Methods, Applications, and Accuracies. In Advances in Agronomy; Elsevier: Amsterdam, The Netherlands, 2019; pp. 201–255. [Google Scholar]
- Ben-Ari, T.; Boé, J.; Ciais, P.; Lecerf, R.; der Velde, M.; Makowski, D. Causes and Implications of the Unforeseen 2016 Extreme Yield Loss in the Breadbasket of France. Nat. Commun. 2018, 9, 1627. [Google Scholar] [CrossRef]
- Funk, C.; Shukla, S.; Thiaw, W.M.; Rowland, J.; Hoell, A.; McNally, A.; Husak, G.; Novella, N.; Budde, M.; Peters-Lidard, C.; et al. Recognizing the Famine Early Warning Systems Network: Over 30 Years of Drought Early Warning Science Advances and Partnerships Promoting Global Food Security. Bull. Am. Meteorol. Soc. 2019, 100, 1011–1027. [Google Scholar] [CrossRef]
- Rejeb, A.; Rejeb, K.; Zailani, S. Big Data for Sustainable Agri-food Supply Chains: A Review and Future Research Perspectives. J. Data Inf. Manag. 2021, 3, 167–182. [Google Scholar] [CrossRef]
- Wolfert, S.; Ge, L.; Verdouw, C.; Bogaardt, M.-J. Big Data in Smart Farming—A Review. Agric. Syst. 2017, 153, 69–80. [Google Scholar] [CrossRef]
- Mundi, I.; Alemany, M.M.E.; Poler, R.; Fuertes-Miquel, V.S. Review of Mathematical Models for Production Planning under Uncertainty Due to Lack of Homogeneity: Proposal of a Conceptual Model. Int. J. Prod. Res. 2019, 57, 5239–5283. [Google Scholar] [CrossRef]
- Esteso, M.M.E.; Alemany, A. Deterministic and Uncertain Methods and Models for Managing Agri-Food Supply Chain. Dir. Organ. 2017, 62, 41–46. [Google Scholar]
- Esteso, A.; Alemany, M.M.E.; Ortiz, A. Conceptual Framework for Designing Agri-Food Supply Chains under Uncertainty by Mathematical Programming Models. Int. J. Prod. Res. 2018, 56, 4418–4446. [Google Scholar] [CrossRef]
- Mondino, P.; Gonzalez-Andujar, J.L. Evaluation of a Decision Support System for Crop Protection in Apple Orchards. Comput. Ind. 2019, 107, 99–103. [Google Scholar] [CrossRef]
- Shahhosseini, M.; Hu, G.; Archontoulis, S.V. Forecasting Corn Yield With Machine Learning Ensembles. Front. Plant Sci. 2020, 11, 1120. [Google Scholar] [CrossRef] [PubMed]
- Khaki, S.; Pham, H.; Wang, L. Simultaneous Corn and Soybean Yield Prediction from Remote Sensing Data Using Deep Transfer Learning. Sci. Rep. 2021, 11, 11132. [Google Scholar] [CrossRef]
- Kayad, A.; Sozzi, M.; Gatto, S.; Marinello, F.; Pirotti, F. Monitoring Within-Field Variability of Corn Yield Using Sentinel-2 and Machine Learning Techniques. Remote Sens. 2019, 11, 2873. [Google Scholar] [CrossRef]
- Bazgeer, S.; Kamali, G.; Mortazavi, A. Wheat Yield Prediction through Agrometeorological Indices for Hamedan, Iran; Desert (Biabian): Riyadh, Saudi Arabia, 2007. [Google Scholar]
- Palosuo, T.; Kersebaum, K.C.; Angulo, C.; Hlavinka, P.; Moriondo, M.; Olesen, J.E.; Patil, R.H.; Ruget, F.; Rumbaur, C.; Takáč, J.; et al. Simulation of Winter Wheat Yield and Its Variability in Different Climates of Europe: A Comparison of Eight Crop Growth Models. Eur. J. Agron. 2011, 35, 103–114. [Google Scholar] [CrossRef]
- Elavarasan, D.; Vincent, D.R.; Sharma, V.; Zomaya, A.Y.; Srinivasan, K. Forecasting Yield by Integrating Agrarian Factors and Machine Learning Models: A Survey. Comput. Electron. Agric. 2018, 155, 257–282. [Google Scholar] [CrossRef]
- Hochman, Z.; van Rees, H.; Carberry, P.S.; Hunt, J.R.; McCown, R.L.; Gartmann, A.; Holzworth, D.; van Rees, S.; Dalgliesh, N.P.; Long, W.; et al. Re-Inventing Model-Based Decision Support with Australian Dryland Farmers. 4. Yield Prophet® helps Farmers Monitor and Manage Crops in a Variable Climate. Crop Pasture Sci. 2009, 60, 1057. [Google Scholar] [CrossRef]
- Rouse, J.W.; Haas, R.H.; Schell, J.A.; Deering, D.W. Monitoring Vegetation Systems in the Great Plains with ERTS. In Proceedings of the Third ERTS Symposium, NASA SP-351, Washington DC, USA, 10–14 December 1973; pp. 309–317. [Google Scholar]
- Becker-Reshef, I.; Vermote, E.; Lindeman, M.; Justice, C. A Generalized Regression-Based Model for Forecasting Winter Wheat Yields in Kansas and Ukraine Using {MODIS} Data. Remote Sens. Environ. 2010, 114, 1312–1323. [Google Scholar] [CrossRef]
- Franch, B.; Vermote, E.F.; Becker-Reshef, I.; Claverie, M.; Huang, J.; Zhang, J.; Justice, C.; Sobrino, J.A. Improving the Timeliness of Winter Wheat Production Forecast in the United States of America, Ukraine and China Using {MODIS} Data and {NCAR} Growing Degree Day Information. Remote Sens. Environ. 2015, 161, 131–148. [Google Scholar] [CrossRef]
- López-Lozano, R.; Duveiller, G.; Seguini, L.; Meroni, M.; García-Condado, S.; Hooker, J.; Leo, O.; Baruth, B. Towards Regional Grain Yield Forecasting with 1km-Resolution EO Biophysical Products: Strengths and Limitations at Pan-European Level. Agric. For. Meteorol. 2015, 206, 12–32. [Google Scholar] [CrossRef]
- Meroni, M.; Marinho, E.; Sghaier, N.; Verstrate, M.; Leo, O. Remote Sensing Based Yield Estimation in a Stochastic Framework—Case Study of Durum Wheat in Tunisia. Remote Sens. 2013, 5, 539–557. [Google Scholar] [CrossRef]
- Battude, M.; al Bitar, A.; Morin, D.; Cros, J.; Huc, M.; Marais Sicre, C.; le Dantec, V.; Demarez, V. Estimating Maize Biomass and Yield over Large Areas Using High Spatial and Temporal Resolution Sentinel-2 like Remote Sensing Data. Remote Sens. Environ. 2016, 184, 668–681. [Google Scholar] [CrossRef]
- Waldner, F.; Horan, H.; Chen, Y.; Hochman, Z. High Temporal Resolution of Leaf Area Data Improves Empirical Estimation of Grain Yield. Sci. Rep. 2019, 9, 15714. [Google Scholar] [CrossRef]
- Doraiswamy, P. Crop Condition and Yield Simulations Using Landsat and MODIS. Remote Sens. Environ. 2004, 92, 548–559. [Google Scholar] [CrossRef]
- Fang, H.; Liang, S.; Hoogenboom, G. Integration of MODIS LAI and Vegetation Index Products with the CSM--CERES--Maize Model for Corn Yield Estimation. Int. J. Remote Sens. 2011, 32, 1039–1065. [Google Scholar] [CrossRef]
- Meroni, M.; Waldner, F.; Seguini, L.; Kerdiles, H.; Rembold, F. Yield Forecasting with Machine Learning and Small Data: What Gains for Grains? Agric. For. Meteorol. 2021, 308–309, 108555. [Google Scholar] [CrossRef]
- Cai, Y.; Guan, K.; Lobell, D.; Potgieter, A.B.; Wang, S.; Peng, J.; Xu, T.; Asseng, S.; Zhang, Y.; You, L.; et al. Integrating Satellite and Climate Data to Predict Wheat Yield in Australia Using Machine Learning Approaches. Agric. For. Meteorol. 2019, 274, 144–159. [Google Scholar] [CrossRef]
- Kamir, E.; Waldner, F.; Hochman, Z. Estimating Wheat Yields in Australia Using Climate Records, Satellite Image Time Series and Machine Learning Methods. ISPRS J. Photogramm. Remote Sens. 2020, 160, 124–135. [Google Scholar] [CrossRef]
- Wolanin, A.; Mateo-García, G.; Camps-Valls, G.; Gómez-Chova, L.; Meroni, M.; Duveiller, G.; Liangzhi, Y.; Guanter, L. Estimating and Understanding Crop Yields with Explainable Deep Learning in the Indian Wheat Belt. Environ. Res. Lett. 2020, 15, 24019. [Google Scholar] [CrossRef]
- van Klompenburg, T.; Kassahun, A.; Catal, C. Crop Yield Prediction Using Machine Learning: A Systematic Literature Review. Comput. Electron. Agric. 2020, 177, 105709. [Google Scholar] [CrossRef]
- Han, J.; Zhang, Z.; Cao, J.; Luo, Y.; Zhang, L.; Li, Z.; Zhang, J. Prediction of Winter Wheat Yield Based on Multi-Source Data and Machine Learning in China. Remote Sens. 2020, 12, 236. [Google Scholar] [CrossRef]
- Benos, L.; Tagarakis, A.C.; Dolias, G.; Berruto, R.; Kateris, D.; Bochtis, D. Machine Learning in Agriculture: A Comprehensive Updated Review. Sensors 2021, 21, 2758. [Google Scholar] [CrossRef]
- Jiang Correspond, D.; Yang, X.; Clinton, N.; Wang, N. An Artificial Neural Network Model for Estimating Crop Yields Using Remotely Sensed Information. Int. J. Remote Sens. 2004, 25, 1723–1732. [Google Scholar] [CrossRef]
- Uno, Y.; Prasher, S.O.; Lacroix, R.; Goel, P.K.; Karimi, Y.; Viau, A.; Patel, R.M. Artificial Neural Networks to Predict Corn Yield from Compact Airborne Spectrographic Imager Data. Comput. Electron. Agric. 2005, 47, 149–161. [Google Scholar] [CrossRef]
- Iqbal, M.A.; Shen, Y.; Stricevic, R.; Pei, H.; Sun, H.; Amiri, E.; Penas, A.; del Rio, S.; Shen, Y.; Stricevic, R.; et al. Evaluation of the {FAO} {AquaCrop} Model for Winter Wheat on the North China Plain under Deficit Irrigation from Field Experiment to Regional Yield Simulation. Agric. Water Manag. 2014, 135, 61–72. [Google Scholar] [CrossRef]
- Chen, Y.; Zhang, Z.; Tao, F. Improving Regional Winter Wheat Yield Estimation through Assimilation of Phenology and Leaf Area Index from Remote Sensing Data. Eur. J. Agron. 2018, 101, 163–173. [Google Scholar] [CrossRef]
- Ji, Z.; Pan, Y.; Zhu, X.; Wang, J.; Li, Q. Prediction of Crop Yield Using Phenological Information Extracted from Remote Sensing Vegetation Index. Sensors 2021, 21, 1406. [Google Scholar] [CrossRef]
- Li, Y.; Guan, K.; Yu, A.; Peng, B.; Zhao, L.; Li, B.; Peng, J. Toward Building a Transparent Statistical Model for Improving Crop Yield Prediction: Modeling Rainfed Corn in the U.S. Field Crops Res. 2019, 234, 55–65. [Google Scholar] [CrossRef]
- Kern, A.; Barcza, Z.; Marjanović, H.; Árendás, T.; Fodor, N.; Bónis, P.; Bognár, P.; Lichtenberger, J. Statistical Modelling of Crop Yield in Central Europe Using Climate Data and Remote Sensing Vegetation Indices. Agric. For. Meteorol. 2018, 260–261, 300–320. [Google Scholar] [CrossRef]
- Lobell, D.B.; Thau, D.; Seifert, C.; Engle, E.; Little, B. A Scalable Satellite-Based Crop Yield Mapper. Remote Sens. Environ. 2015, 164, 324–333. [Google Scholar] [CrossRef]
- Johnson, D.M. An Assessment of Pre-and within-Season Remotely Sensed Variables for Forecasting Corn and Soybean Yields in the United States. Remote Sens. Environ. 2014, 141, 116–128. [Google Scholar] [CrossRef]
- Cao, J.; Zhang, Z.; Tao, F.; Zhang, L.; Luo, Y.; Zhang, J.; Han, J.; Xie, J. Integrating Multi-Source Data for Rice Yield Prediction across China Using Machine Learning and Deep Learning Approaches. Agric. For. Meteorol. 2021, 297, 108275. [Google Scholar] [CrossRef]
- Jiang, H.; Hu, H.; Zhong, R.; Xu, J.; Xu, J.; Huang, J.; Wang, S.; Ying, Y.; Lin, T. A Deep Learning Approach to Conflating Heterogeneous Geospatial Data for Corn Yield Estimation: A Case Study of the {US} Corn Belt at the County Level. Glob. Chang. Biol. 2020, 26, 1754–1766. [Google Scholar] [CrossRef] [PubMed]
- Feng, P.; Wang, B.; Liu, D.L.; Waters, C.; Xiao, D.; Shi, L.; Yu, Q. Dynamic Wheat Yield Forecasts Are Improved by a Hybrid Approach Using a Biophysical Model and Machine Learning Technique. Agric. For. Meteorol. 2020, 285–286, 107922. [Google Scholar] [CrossRef]
- Ban, H.-Y.; Kim, K.; Park, N.-W.; Lee, B.-W. Using {MODIS} Data to Predict Regional Corn Yields. Remote Sens. 2016, 9, 16. [Google Scholar] [CrossRef]
- Bolton, D.K.; Friedl, M.A. Forecasting Crop Yield Using Remotely Sensed Vegetation Indices and Crop Phenology Metrics. Agric. For. Meteorol. 2013, 173, 74–84. [Google Scholar] [CrossRef]
- Sakamoto, T.; Gitelson, A.A.; Arkebauer, T.J. {MODIS-Based} Corn Grain Yield Estimation Model Incorporating Crop Phenology Information. Remote Sens. Environ. 2013, 131, 215–231. [Google Scholar] [CrossRef]
- Peng, Y.; Zhu, T.; Li, Y.; Dai, C.; Fang, S.; Gong, Y.; Wu, X.; Zhu, R.; Liu, K. Remote Prediction of Yield Based on {LAI} Estimation in Oilseed Rape under Different Planting Methods and Nitrogen Fertilizer Applications. Agric. For. Meteorol. 2019, 271, 116–125. [Google Scholar] [CrossRef]
- Bai, T.; Zhang, N.; Mercatoris, B.; Chen, Y. Jujube Yield Prediction Method Combining Landsat 8 Vegetation Index and the Phenological Length. Comput. Electron. Agric. 2019, 162, 1011–1027. [Google Scholar] [CrossRef]
- Magney, T.S.; Eitel, J.U.H.; Huggins, D.R.; Vierling, L.A. Proximal {NDVI} Derived Phenology Improves In-Season Predictions of Wheat Quantity and Quality. Agric. For. Meteorol. 2016, 217, 46–60. [Google Scholar] [CrossRef]
- Kuhn, M.; Johnson, K. Applied Predictive Modeling, 1st ed.; Springer: New York, NY, USA, 2013. [Google Scholar]
- Giannerini, G.; Genovesi, R. Irrinet: IT Services for Farm Water Management, a Large Scale Implementation in Italy. In Proceedings of the EFITA 2011 Conference Proceedings, Prague, Czech Republic, 8–10 June 2011; pp. 11–14. [Google Scholar]
- Biavetti, I.; Karetsos, S.; Ceglar, A.; Toreti, A.; Panagos, P. European Meteorological Data: Contribution to Research, Development, and Policy Support. In Proceedings of the Second International Conference on Remote Sensing and Geoinformation of the Environment (RSCy2014), Paphos, Cyprus, 12 August 2014; Hadjimitsis, D.G., Themistocleous, K., Michaelides, S., Papadavid, G., Eds.; SPIE: Bellingham, WA, USA, 2014. [Google Scholar]
- Orgiazzi, A.; Ballabio, C.; Panagos, P.; Jones, A.; Fernández-Ugalde, O. LUCAS Soil, the Largest Expandable Soil Dataset for Europe: A Review: {LUCAS} Soil, Pan-European Open-Access Soil Dataset. Eur. J. Soil Sci. 2018, 69, 140–153. [Google Scholar] [CrossRef]
- Drusch, M.; del Bello, U.; Carlier, S.; Colin, O.; Fernandez, V.; Gascon, F.; Hoersch, B.; Isola, C.; Laberinti, P.; Martimort, P.; et al. Sentinel-2: {ESA’s} Optical High-Resolution Mission for {GMES} Operational Services. Remote Sens. Environ. 2012, 120, 25–36. [Google Scholar] [CrossRef]
- Gorelick, N.; Hancher, M.; Dixon, M.; Ilyushchenko, S.; Thau, D.; Moore, R. Google Earth Engine: Planetary-Scale Geospatial Analysis for Everyone. Remote Sens. Environ. 2017, 202, 18–27. [Google Scholar] [CrossRef]
- Huete, A.; Didan, K.; Miura, T.; Rodriguez, E.P.; Gao, X.; Ferreira, L.G. Overview of the Radiometric and Biophysical Performance of the {MODIS} Vegetation Indices. Remote Sens. Environ. 2002, 83, 195–213. [Google Scholar] [CrossRef]
- Gitelson, A.; Merzlyak, M.N. Quantitative Estimation of Chlorophyll-a Using Reflectance Spectra: Experiments with Autumn Chestnut and Maple Leaves. J. Photochem. Photobiol. B 1994, 22, 247–252. [Google Scholar] [CrossRef]
- Gao, B. NDWI—A Normalized Difference Water Index for Remote Sensing of Vegetation Liquid Water from Space. Remote Sens. Environ. 1996, 58, 257–266. [Google Scholar] [CrossRef]
- Johnson, D.M. A Comprehensive Assessment of the Correlations between Field Crop Yields and Commonly Used MODIS Products. ITC J. 2016, 52, 65–81. [Google Scholar] [CrossRef]
- Viña, A.; Gitelson, A.A.; Rundquist, D.C.; Keydan, G.; Leavitt, B.; Schepers, J. Monitoring Maize (Zea Mays L.) Phenology with Remote Sensing. Agron. J. 2004, 96, 1139–1147. [Google Scholar] [CrossRef]
- Kowalski, K.; Senf, C.; Hostert, P.; Pflugmacher, D. Characterizing Spring Phenology of Temperate Broadleaf Forests Using Landsat and Sentinel-2 Time Series. ITC J. 2020, 92, 102172. [Google Scholar] [CrossRef]
- Antonucci, G.; Croci, M.; Miras-Moreno, B.; Fracasso, A.; Amaducci, S. Integration of Gas Exchange With Metabolomics: High-Throughput Phenotyping Methods for Screening Biostimulant-Elicited Beneficial Responses to Short-Term Water Deficit. Front. Plant Sci. 2021, 12, 1002. [Google Scholar] [CrossRef] [PubMed]
- Impollonia, G.; Croci, M.; Martani, E.; Ferrarini, A.; Kam, J.; Trindade, L.M.; Clifton-Brown, J.; Amaducci, S. Moisture Content Estimation and Senescence Phenotyping of Novel Miscanthus Hybrids Combining UAV-based Remote Sensing and Machine Learning. GCB Bioenergy 2022, 14, 639–656. [Google Scholar] [CrossRef]
- Wood, S.N. Thin Plate Regression Splines: Thin Plate Regression Splines. J. R. Stat. Soc. Ser. B Stat. Methodol. 2003, 65, 95–114. [Google Scholar] [CrossRef]
- Jolliffe, I.T.; Cadima, J. Principal Component Analysis: A Review and Recent Developments. Philos. Trans. R. Soc. A Math. Phys. Eng. Sci. 2016, 374, 20150202. [Google Scholar] [CrossRef]
- Breiman, L. Random Forests. Mach. Learn. 2001, 45, 5–32. [Google Scholar] [CrossRef]
- Murtagh, F. Multilayer Perceptrons for Classification and Regression. Neurocomputing 1991, 2, 183–197. [Google Scholar] [CrossRef]
- Vapnik, V. The Support Vector Method of Function Estimation. In Nonlinear Modeling; Springer: Boston, MA, USA, 1998; pp. 55–85. [Google Scholar]
- Williams, C.K.I. Prediction with Gaussian Processes: From Linear Regression to Linear Prediction and Beyond. In Learning in Graphical Models; Springer: Dordrecht, The Netherlands, 1998; pp. 599–621. [Google Scholar]
- Györfi, L.; Kohler, M.; Krzyżak, A.; Walk, H. A Distribution-Free Theory of Nonparametric Regression; Springer: New York, NY, USA, 2002. [Google Scholar]
- Kuhn, M. Classification and Regression Training [R Package Caret Version 6.0-90]. 2021. Available online: https://cran.r-project.org/web/packages/caret/caret.pdf (accessed on 20 July 2022).
- Arlot, S.; Celisse, A. A Survey of Cross-Validation Procedures for Model Selection. Stat. Surv. 2010, 4, 40–79. [Google Scholar] [CrossRef]
- Picard, R.R.; Cook, R.D. Cross-Validation of Regression Models. J. Am. Stat. Assoc. 1984, 79, 575. [Google Scholar] [CrossRef]
- Biecek, P. {DALEX}: Explainers for Complex Predictive Models in R. J. Mach. Learn. Res. 2018, 19, 3245–3249. [Google Scholar]
- Impollonia, G.; Croci, M.; Ferrarini, A.; Brook, J.; Martani, E.; Blandinières, H.; Marcone, A.; Awty-Carroll, D.; Ashman, C.; Kam, J.; et al. UAV Remote Sensing for High-Throughput Phenotyping and for Yield Prediction of Miscanthus by Machine Learning Techniques. Remote Sens. 2022, 14, 2927. [Google Scholar] [CrossRef]
- Rasmussen, C.E.; Williams, C.K.I. Gaussian Processes for Machine Learning; The MIT Press: Cambridge, MA, USA, 2005; ISBN 9780262256834. [Google Scholar]
- Verrelst, J.; Muñoz, J.; Alonso, L.; Delegido, J.; Rivera, J.P.; Camps-Valls, G.; Moreno, J. Machine Learning Regression Algorithms for Biophysical Parameter Retrieval: Opportunities for Sentinel-2 and -3. Remote Sens. Environ. 2012, 118, 127–139. [Google Scholar] [CrossRef]
- Li, L.; Wang, B.; Feng, P.; Wang, H.; He, Q.; Wang, Y.; Liu, D.L.; Li, Y.; He, J.; Feng, H.; et al. Crop Yield Forecasting and Associated Optimum Lead Time Analysis Based on Multi-Source Environmental Data across China. Agric. For. Meteorol. 2021, 308–309, 108558. [Google Scholar] [CrossRef]
- Meng, W.; Tao, F.; Shi, W.; Meng, W.; Tao, F.; Shi, W. Corn Yield Forecasting in Northeast China Using Remotely Sensed Spectral Indices and Crop Phenology Metrics. J. Integr. Agric. 2014, 13, 1538–1545. [Google Scholar]
- Shanahan, J.F.; Schepers, J.S.; Francis, D.D.; Varvel, G.E.; Wilhelm, W.W.; Tringe, J.M.; Schlemmer, M.R.; Major, D.J. Use of Remote-sensing Imagery to Estimate Corn Grain Yield. Agron. J. 2001, 93, 583–589. [Google Scholar] [CrossRef]
- Maestrini, B.; Basso, B. Predicting Spatial Patterns of Within-Field Crop Yield Variability. Field Crops Res. 2018, 219, 106–112. [Google Scholar] [CrossRef]
- Chen, S.; Jiang, T.; Ma, H.; He, C.; Xu, F.; Malone, R.W.; Feng, H.; Yu, Q.; Siddique, K.H.M.; Dong, Q.; et al. Dynamic Within-Season Irrigation Scheduling for Maize Production in Northwest China: A Method Based on Weather Data Fusion and Yield Prediction by {DSSAT}. Agric. For. Meteorol. 2020, 285–286, 107928. [Google Scholar] [CrossRef]
- Peoples, M.B.; Beilharz, V.C.; Waters, S.P.; Simpson, R.J.; Dalling, M.J. Nitrogen Redistribution during Grain Growth in Wheat (Triticum Aestivum L.): II. Chloroplast Senescence and the Degradation of Ribulose-1,5-Bisphosphate Carboxylase. Planta 1980, 149, 241–251. [Google Scholar] [CrossRef]
- French, R.J.; Schultz, J.E. Water Use Efficiency of Wheat in a Mediterranean-Type Environment. I. The Relation between Yield, Water Use and Climate. Aust. J. Agric. Res. 1984, 35, 743. [Google Scholar] [CrossRef]
- Atteya, A.M. Alteration of Water Relations and Yield of Corn Genotypes in Response to Drought Stress. Bulg. J. Plant Physiol. 2003, 29, 63–76. [Google Scholar]







| Category | Input | Acronym | Unit | Spatial Resolution | Temporal Resolution | Source |
|---|---|---|---|---|---|---|
| Crop | Yield | Mg ha−1 | Field level | Yearly | Producers | |
| Sowing | SD | date | ||||
| Meteorological | Air temperature (min, mean, max) | TminTmax and Tavg | °C | 25 × 25 km | Daily | AGRI4CAST |
| Vapor pressure | VPD | hPa | ||||
| Total global radiation | RAD | KJ m−2 d−1 | ||||
| Sum of precipitation | cumPrec | mm d−1 | ||||
| Potential evapotranspiration from a crop canopy | ET0 | mm d−1 | ||||
| Mean daily wind speed at 10 m heigh | WindSpeed | m s−1 | ||||
| Soil | Nitrogen (N) | N_mean | g kg−1 | 500 × 500 m | Static | LUCAS |
| Phosphorus (P) | P_mean | mg kg−1 | ||||
| Potassium (K) | K_mean | mg kg−1 | ||||
| Soil cation exchange capacity (CEC) | CEC_mean | mS m−1 | ||||
| Carbon:nitrogen ratio (CN) | CN_mean | |||||
| Calcium carbonate (caco3) | CaCO3_mean | g kg−1 | ||||
| Soil texture USDA | Tess_mean | class | ||||
| Satellite | Normalized Difference Vegetation Index | NDVI | 10 × 10 m | Approx. 2–3 days | ESA Copernicus | |
| Normalized Difference Red-Edge | NDRE | |||||
| Normalized Difference Water Index | NDWI | |||||
| Green Normalized Difference Vegetation Indices | GNDVI |
Disclaimer/Publisher’s Note: The statements, opinions and data contained in all publications are solely those of the individual author(s) and contributor(s) and not of MDPI and/or the editor(s). MDPI and/or the editor(s) disclaim responsibility for any injury to people or property resulting from any ideas, methods, instructions or products referred to in the content. |
© 2022 by the authors. Licensee MDPI, Basel, Switzerland. This article is an open access article distributed under the terms and conditions of the Creative Commons Attribution (CC BY) license (https://creativecommons.org/licenses/by/4.0/).
Share and Cite
Croci, M.; Impollonia, G.; Meroni, M.; Amaducci, S. Dynamic Maize Yield Predictions Using Machine Learning on Multi-Source Data. Remote Sens. 2023, 15, 100. https://doi.org/10.3390/rs15010100
Croci M, Impollonia G, Meroni M, Amaducci S. Dynamic Maize Yield Predictions Using Machine Learning on Multi-Source Data. Remote Sensing. 2023; 15(1):100. https://doi.org/10.3390/rs15010100
Chicago/Turabian StyleCroci, Michele, Giorgio Impollonia, Michele Meroni, and Stefano Amaducci. 2023. "Dynamic Maize Yield Predictions Using Machine Learning on Multi-Source Data" Remote Sensing 15, no. 1: 100. https://doi.org/10.3390/rs15010100
APA StyleCroci, M., Impollonia, G., Meroni, M., & Amaducci, S. (2023). Dynamic Maize Yield Predictions Using Machine Learning on Multi-Source Data. Remote Sensing, 15(1), 100. https://doi.org/10.3390/rs15010100

