Maize Canopy and Leaf Chlorophyll Content Assessment from Leaf Spectral Reflectance: Estimation and Uncertainty Analysis across Growth Stages and Vertical Distribution
Abstract
1. Introduction
2. Materials and Methods
2.1. Study Area and Experimental Design
2.2. Leaf Sampling and Chlorophyll Measurement
2.3. Leaf Spectral Reflectance Measurements
2.4. Vegetation Index Extraction
2.5. Statistical Analysis
2.5.1. Construction of the VI–Chlorophyll Model
2.5.2. Model Testing and Verification
2.5.3. Multivariate Regression Model for LCC and CCC
2.5.4. Validation Metrics
3. Results
3.1. Vertical Profile and Temporal Variation of the Leaf Chlorophyll Content
3.2. The Vertical–Temporal Variation of Leaf Reflectance Spectral Characteristics
3.3. Sensitivity of Vegetation Indices
3.4. Establishing an Inversion Model for Chlorophyll Prediction through Vegetation Indices
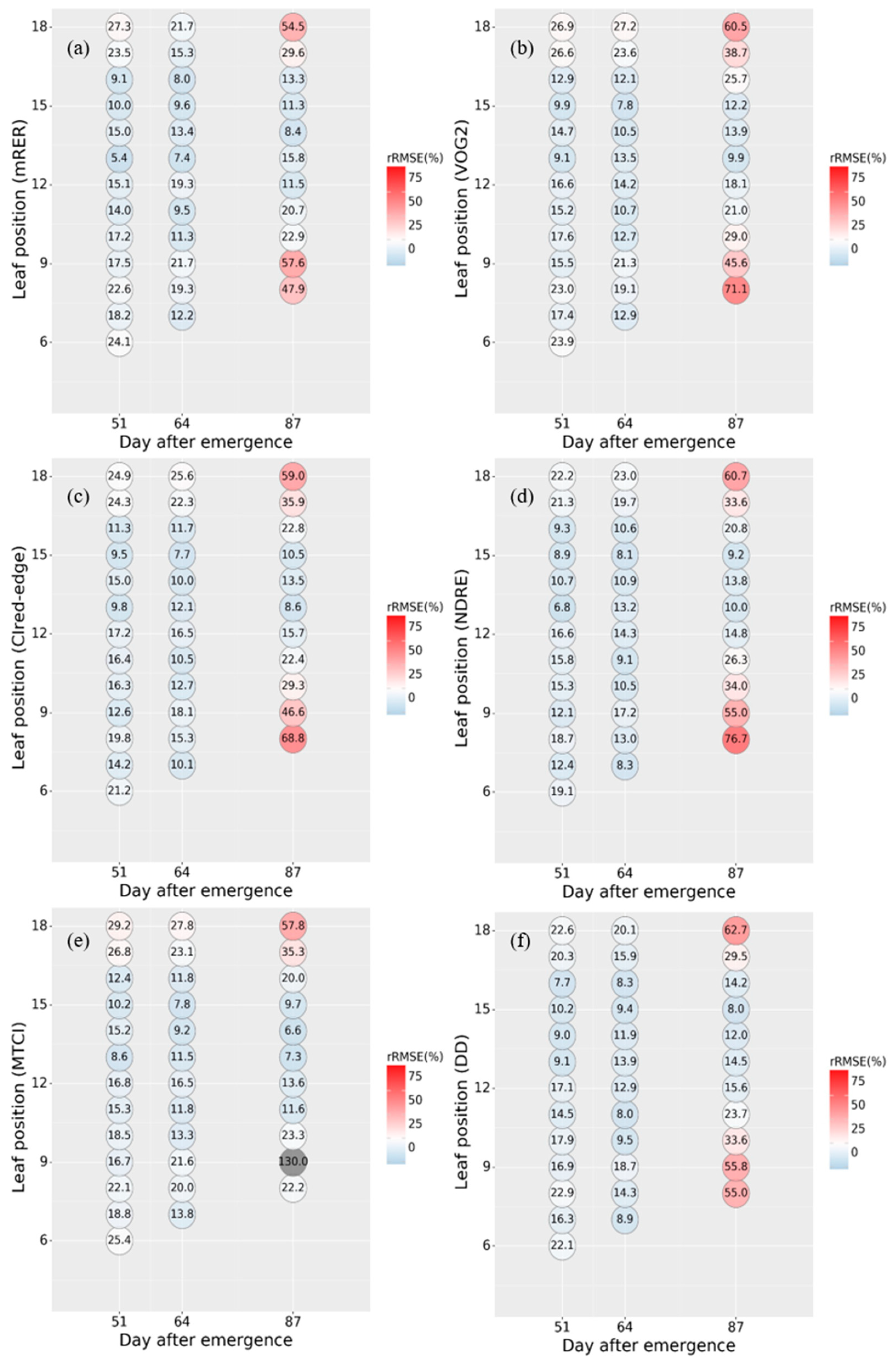
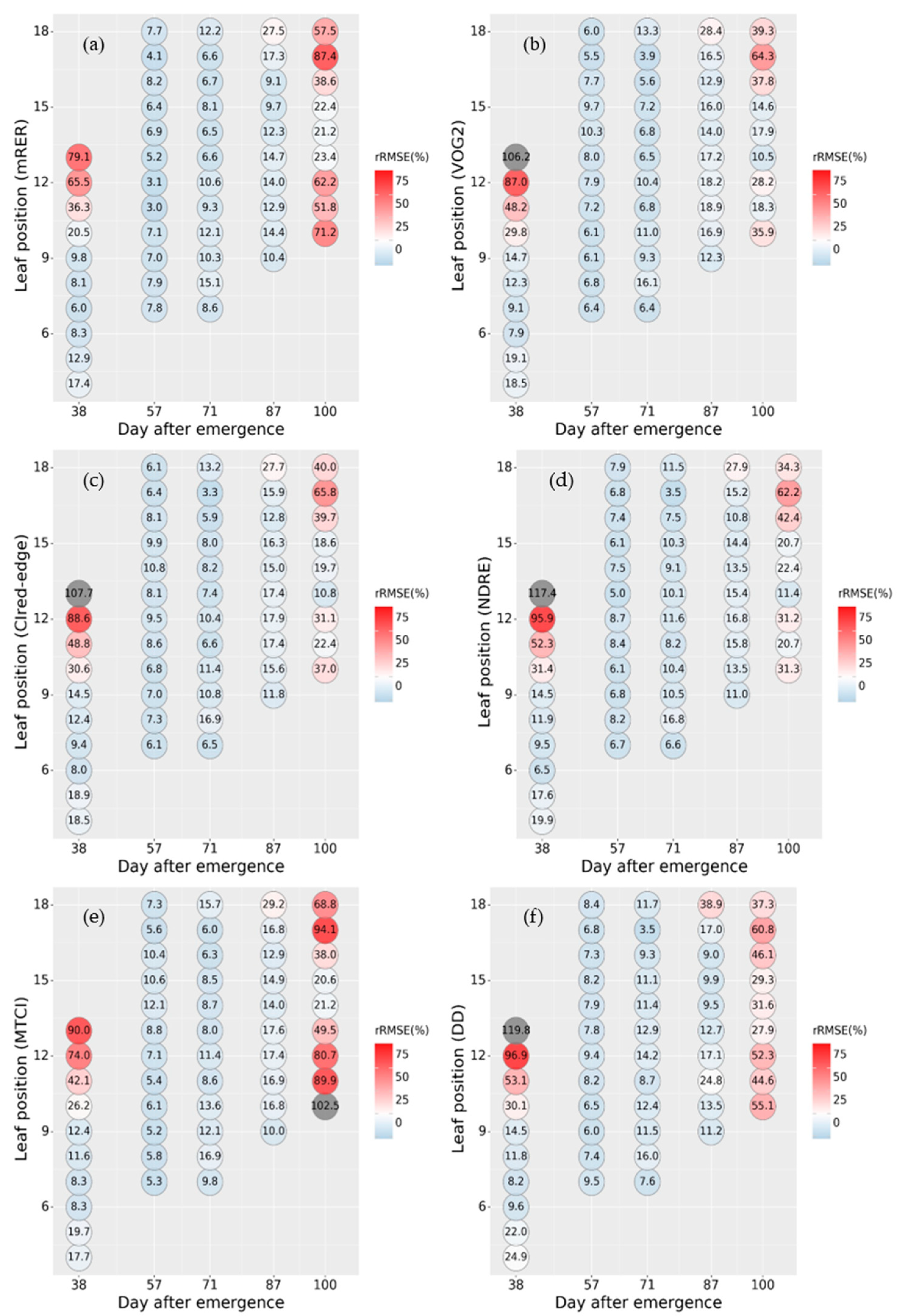
3.5. Validation and Testing under Spatio–Temporal Variation
3.6. Relationship between LCC and CCC throughout Growth Stages
3.7. Estimation and Validation of CCC by Leaf Spectral Reflectance
4. Discussion
5. Conclusions
Author Contributions
Funding
Data Availability Statement
Acknowledgments
Conflicts of Interest
Appendix A


References
- Xue, L.H.; Cao, W.X.; Yang, L.Z. Predicting Grain Yield and Protein Content in Winter Wheat at Different N Supply Levels Using Canopy Reflectance Spectra. Pedosphere 2007, 17, 646–653. [Google Scholar] [CrossRef]
- Prey, L.; Hu, Y.; Schmidhalter, U. High-Throughput Field Phenotyping Traits of Grain Yield Formation and Nitrogen Use Efficiency: Optimizing the Selection of Vegetation Indices and Growth Stages. Front. Plant Sci. 2020, 10, 1672. [Google Scholar] [CrossRef]
- Daughtry, C.S.T.; Walthall, C.L.; Kim, M.S.; de Colstoun, E.B.; McMurtrey, J.E. Estimating Corn Leaf Chlorophyll Concentration from Leaf and Canopy Reflectance. Remote Sens. Environ. 2000, 74, 229–239. [Google Scholar] [CrossRef]
- Li, D.; Chen, J.M.; Zhang, X.; Yan, Y.; Zhu, J.; Zheng, H.; Zhou, K.; Yao, X.; Tian, Y.; Zhu, Y.; et al. Improved estimation of leaf chlorophyll content of row crops from canopy reflectance spectra through minimizing canopy structural effects and optimizing off-noon observation time. Remote Sens. Environ. 2020, 248, 111985. [Google Scholar] [CrossRef]
- Li, H.; Zhao, C.; Huang, W.; Yang, G. Non-uniform vertical nitrogen distribution within plant canopy and its estimation by remote sensing: A review. Field Crops Res. 2013, 142, 75–84. [Google Scholar] [CrossRef]
- Wang, Q.; Li, P. Canopy vertical heterogeneity plays a critical role in reflectance simulation. Agric. For. Meteorol. 2013, 169, 111–121. [Google Scholar] [CrossRef]
- Winterhalter, L.; Mistele, B.; Schmidhalter, U. Assessing the vertical footprint of reflectance measurements to characterize nitrogen uptake and biomass distribution in maize canopies. Field Crops Res. 2012, 129, 14–20. [Google Scholar] [CrossRef]
- Ciganda, V.; Gitelson, A.; Schepers, J. Vertical Profile and Temporal Variation of Chlorophyll in Maize Canopy: Quantitative “Crop Vigor” Indicator by Means of Reflectance-Based Techniques. Agron. J. 2008, 100, 1409–1417. [Google Scholar] [CrossRef]
- Hikosaka, K.; Anten, N.P.; Borjigidai, A.; Kamiyama, C.; Sakai, H.; Hasegawa, T.; Oikawa, S.; Iio, A.; Watanabe, M.; Koike, T.; et al. A meta-analysis of leaf nitrogen distribution within plant canopies. Ann. Bot. 2016, 118, 239–247. [Google Scholar] [CrossRef]
- Hirose, T.; Werger, M. Maximizing Daily canopy photosynthesis with respect to the leaf nitrogen allocation pattern in the canopy. Oecologia 1987, 72, 520–526. [Google Scholar] [CrossRef]
- Zhao, C.; Hang, W.; Wang, J.; Liu, L.; Song, X.; Ma, Z.; Li, C. Extracting winter wheat chlorophyll concentration vertical distribution based on bidirectional canopy reflected spectrum. Trans. Chin. Soc. Agric. Eng. 2006, 22, 104–109. (In Chinese) [Google Scholar] [CrossRef]
- Gitelson, A.; Gritz, Y.; Merzlyak, M. Relationships between leaf chlorophyll content and spectral reflectance and algorithms for non-destructive chlorophyll assessment in higher plant leaves. J. Plant Physiol. 2003, 160, 271–282. [Google Scholar] [CrossRef]
- Sims, D.; Gamon, J. Relationships between Leaf Pigment Content and Spectral Reflectance across a Wide Range of Species, Leaf Structures and Developmental Stages. Remote Sens. Environ. 2002, 81, 337–354. [Google Scholar] [CrossRef]
- Lu, Y.-L.; Bai, Y.-L.; Ma, D.-L.; Wang, L.; Yang, L.-P. Nitrogen Vertical Distribution and Status Estimation Using Spectral Data in Maize. Commun. Soil Sci. Plant Anal. 2018, 49, 526–536. [Google Scholar] [CrossRef]
- Gitelson, A.; Merzlyak, M. Spectral Reflectance Changes Associated with Autumn Senescence of Aesculus hippocastanum L. and Acer platanoides L. Leaves. Spectral Features and Relation to Chlorophyll Estimation. J. Plant Physiol. 1994, 143, 286–292. [Google Scholar] [CrossRef]
- Dash, J.; Curran, P. The MERIS terrestrial chlorophyll index. Int. J. Remote Sens. 2004, 25, 5003–5013. [Google Scholar] [CrossRef]
- Vogelmann, J.E.; Rock, B.N.; Moss, D.M. Red edge spectral measurements from sugar maple leaves. Int. J. Remote Sens. 1993, 14, 1563–1575. [Google Scholar] [CrossRef]
- Ciganda, V.; Gitelson, A.; Schepers, J.S. How deep does a remote sensor sense? Expression of chlorophyll content in a maize canopy. Remote Sens. Environ. 2012, 126, 240–247. [Google Scholar] [CrossRef]
- Lee, Y.; Yang, C.-M.; Chang, K.W.; Shen, Y. Effects of nitrogen status on leaf anatomy, chlorophyll content and canopy reflectance of paddy rice. Bot. Stud. 2011, 52, 295–303. [Google Scholar]
- Wan, L.; Zhou, W.; He, Y.; Wanger, T.C.; Cen, H. Combining transfer learning and hyperspectral reflectance analysis to assess leaf nitrogen concentration across different plant species datasets. Remote Sens. Environ. 2022, 269, 112826. [Google Scholar] [CrossRef]
- Li, L.T.; Jakli, B.; Lu, P.P.; Ren, T.; Ming, J.; Liu, S.S.; Wang, S.Q.; Lu, J.W. Assessing leaf nitrogen concentration of winter oilseed rape with canopy hyperspectral technique considering a non-uniform vertical nitrogen distribution. Ind. Crops Prod. 2018, 116, 1–14. [Google Scholar] [CrossRef]
- Wang, Z.H.; Skidmore, A.K.; Darvishzadeh, R.; Heiden, U.; Heurich, M.; Wang, T.J. Leaf Nitrogen Content Indirectly Estimated by Leaf Traits Derived From the PROSPECT Model. IEEE J. Sel. Top. Appl. Earth Obs. Remote Sens. 2015, 8, 3172–3182. [Google Scholar] [CrossRef]
- Jacquemoud, S.; Verhoef, W.; Baret, F.; Bacour, C.; Zarco-Tejada, P.J.; Asner, G.P.; François, C.; Ustin, S.L. PROSPECT+SAIL models: A review of use for vegetation characterization. Remote Sens. Environ. 2009, 113, S56–S66. [Google Scholar] [CrossRef]
- Chakhvashvili, E.; Siegmann, B.; Muller, O.; Verrelst, J.; Bendig, J.; Kraska, T.; Rascher, U. Retrieval of Crop Variables from Proximal Multispectral UAV Image Data Using PROSAIL in Maize Canopy. Remote Sens. 2022, 14, 1247. [Google Scholar] [CrossRef]
- Zhang, D.; Wang, X.; Ma, W.; Zhao, C. Research Vertical Distribution of Chlorophyll Content of Wheat Leaves Using Imaging Hyperspectra. Intell. Autom. Soft Comput. 2012, 18, 1111–1120. [Google Scholar] [CrossRef]
- Yang, H.; Li, J.; Yang, J.; Wang, H.; Zou, J.; He, J. Effects of nitrogen application rate and leaf age on the distribution pattern of leaf SPAD readings in the rice canopy. PLoS ONE 2014, 9, e88421. [Google Scholar] [CrossRef]
- Wu, B.; Ye, H.; Huang, W.; Wang, H.; Luo, P.; Ren, Y.; Kong, W. Monitoring the Vertical Distribution of Maize Canopy Chlorophyll Content Based on Multi-Angular Spectral Data. Remote Sens. 2021, 13, 987. [Google Scholar] [CrossRef]
- Huang, W.J.; Yang, Q.Y.; Peng, D.L.; Huang, L.S.; Zhang, D.Y.; Yang, G.J. Nitrogen vertical distribution by canopy reflectance spectrum in winter wheat. In IOP Conference Series: Earth and Environmental Science; IOP Publishing: Bristol, UK, 2014; Volume 17. [Google Scholar] [CrossRef]
- Wu, B.; Huang, W.; Ye, H.; Luo, P.; Ren, Y.; Kong, W. Using Multi-Angular Hyperspectral Data to Estimate the Vertical Distribution of Leaf Chlorophyll Content in Wheat. Remote Sens. 2021, 13, 1501. [Google Scholar] [CrossRef]
- Ciganda, V.; Gitelson, A.; Schepers, J. Non-destructive determination of maize leaf and canopy chlorophyll content. J. Plant Physiol. 2009, 166, 157–167. [Google Scholar] [CrossRef]
- Klem, K.; Rajsnerová, P.; Novotná, K.; Mìša, P.; Křen, J. Changes in Vertical Distribution of Spectral Reflectance within Spring Barley Canopy as an Indicator of Nitrogen Nutrition, Canopy Structure and Yield Parameters. Agriculture 2014, 60, 50–59. [Google Scholar] [CrossRef][Green Version]
- Li, Z.; Zhang, Y.; Liu, H.; Zhang, F. Application of chlorophyll meter on N nutritional diagnosis for summer corn. Plant Nutr. Fertitizer Sci. 2005, 11, 764–768. [Google Scholar]
- Gitelson, A.A.; Vina, A.; Ciganda, V.; Rundquist, D.C.; Arkebauer, T.J. Remote estimation of canopy chlorophyll content in crops. Geophys. Res. Lett. 2005, 32, L08403. [Google Scholar] [CrossRef]
- Duan, D.D.; Zhao, C.J.; Li, Z.H.; Yang, G.J.; Zhao, Y.; Qiao, X.J.; Zhang, Y.H.; Zhang, L.X.; Yang, W.D. Estimating total leaf nitrogen concentration in winter wheat by canopy hyperspectral data and nitrogen vertical distribution. J. Integr. Agric. 2019, 18, 1562–1570. [Google Scholar] [CrossRef]
- Ye, H.; Huang, W.; Huang, S.; Wu, B.; Dong, Y.; Cui, B. Remote Estimation of Nitrogen Vertical Distribution by Consideration of Maize Geometry Characteristics. Remote Sens. 2018, 10, 1995. [Google Scholar] [CrossRef]
- Li, D.; Guo, Y.; Yun, H.; Zhang, M.; Gong, X.; Fang, M. Dtermined Methods of Chlorophyll from Maize. Chin. Agric. Sci. Bull. 2005, 21, 153. (In Chinese) [Google Scholar]
- Wen, P.F.; Shi, Z.J.; Li, A.; Ning, F.; Zhang, Y.H.; Wang, R.; Li, J. Estimation of the vertically integrated leaf nitrogen content in maize using canopy hyperspectral red edge parameters. Precis. Agric. 2021, 22, 984–1005. [Google Scholar] [CrossRef]
- Cheng, M.; Jiao, X.; Liu, Y.; Shao, M.; Yu, X.; Bai, Y.; Wang, Z.; Wang, S.; Tuohuti, N.; Liu, S.; et al. Estimation of soil moisture content under high maize canopy coverage from UAV multimodal data and machine learning. Agric. Water Manag. 2022, 264, 107530. [Google Scholar] [CrossRef]
- Jordan, C.F. Derivation of Leaf-Area Index from Quality of Light on the Forest Floor. Ecology 1969, 50, 663–666. [Google Scholar] [CrossRef]
- Rouse, J.; Haas, R.; Schell, J.; Deering, D.; Harlan, J. Monitoring the Vernal Advancement and Retrogradation (Green Wave Effect) of Natural Vegetation; NASA/GSFC Type III, Final Report; NASA: Greenbelt, MD, USA, 1974. [Google Scholar]
- Gitelson, A.; Merzlyak, M. Remote sensing of chlorophyll concentration in higher plant leaves. Adv. Space Res. 1998, 22, 689–692. [Google Scholar] [CrossRef]
- Metternicht, G. Vegetation indices derived from high-resolution airborne videography for precision crop management. Int. J. Remote Sens. 2003, 24, 2855–2877. [Google Scholar] [CrossRef]
- Fitzgerald, G.; Rodriguez, D.; O’Leary, G. Measuring and predicting canopy nitrogen nutrition in wheat using a spectral index—The canopy chlorophyll content index (CCCI). Field Crops Res. 2010, 116, 318–324. [Google Scholar] [CrossRef]
- Haboudane, D.; Miller, J.; Tremblay, N.; Zarco-Tejada, P.; Dextraze, L. Integrated narrow-band vegetation indices for prediction of crop chlorophyll content for application to precision agriculture. Remote Sens. Environ. 2002, 81, 416–426. [Google Scholar] [CrossRef]
- Strachan, I.; Pattey, E.; Boisvert, J. Impact of nitrogen and environmental conditions on corn as detected by hyperspectral reflectance. Remote Sens. Environ. 2002, 80, 213–224. [Google Scholar] [CrossRef]
- le Maire, G.; Francois, C.; Dufrêne, E. Towards universal broad leaf chlorophyll indices using PROSPECT simulated database and hyperspectral reflectance measurements. Remote Sens. Environ. 2004, 89, 1–28. [Google Scholar] [CrossRef]
- Broge, N.; Leblanc, E. Comparing prediction power and stability of broadband and hyperspectral vegetation indices for estimation of green leaf area index and canopy chlorophyll density. Remote Sens. Environ. 2001, 76, 156–172. [Google Scholar] [CrossRef]
- Jay, S.; Gorretta, N.; Morel, J.; Maupas, F.; Bendoula, R.; Rabatel, G.; Dutartre, D.; Comar, A.; Frederic, B. Estimating leaf chlorophyll content in sugar beet canopies using millimeter- to centimeter-scale reflectance imagery. Remote Sens. Environ. 2017, 198, 173–186. [Google Scholar] [CrossRef]
- Chen, P.; Haboudane, D.; Tremblay, N.; Wang, J.; Baoguo, L. New spectral indicator assessing the efficiency of crop nitrogen treatment in corn and wheat. Remote Sens. Environ. 2010, 114, 1987–1997. [Google Scholar] [CrossRef]
- Feng, W.; Guo, B.-B.; Zhang, H.-Y.; He, L.; Zhang, Y.-S.; Wang, Y.-H.; Zhu, Y.-J.; Guo, T.-C. Remote estimation of above ground nitrogen uptake during vegetative growth in winter wheat using hyperspectral red-edge ratio data. Field Crops Res. 2015, 180, 197–206. [Google Scholar] [CrossRef]
- Peng, Y.; Nguy-Robertson, A.; Arkebauer, T.; Gitelson, A. Assessment of Canopy Chlorophyll Content Retrieval in Maize and Soybean: Implications of Hysteresis on the Development of Generic Algorithms. Remote Sens. 2017, 9, 226. [Google Scholar] [CrossRef]
- Huang, Z.; Turner, B.J.; Dury, S.J.; Wallis, I.R.; Foley, W.J. Estimating foliage nitrogen concentration from HYMAP data using continuum removal analysis. Remote Sens. Environ. 2004, 93, 18–29. [Google Scholar] [CrossRef]
- Feng, A.; Zhou, J.; Vories, E.D.; Sudduth, K.A.; Zhang, M. Yield estimation in cotton using UAV-based multi-sensor imagery. Biosyst. Eng. 2020, 193, 101–114. [Google Scholar] [CrossRef]
- Zhang, H.Y.; Ren, X.X.; Yi, Z.; Wu, Y.P.; Li, H.; Ya-Rong, H.; Wei, F.; Wang, C.Y. Remotely assessing photosynthetic nitrogen use efficiency with in situ hyperspectral remote sensing in winter wheat. Eur. J. Agron. 2018, 101, 90–100. [Google Scholar] [CrossRef]
- Berger, K.; Verrelst, J.; Féret, J.-B.; Wang, Z.; Wocher, M.; Strathmann, M.; Danner, M.; Mauser, W.; Hank, T. Crop nitrogen monitoring: Recent progress and principal developments in the context of imaging spectroscopy missions. Remote Sens. Environ. 2020, 242, 111758. [Google Scholar] [CrossRef]
- Zhang, Y.-J.; Wang, L.; Bai, Y.-L. Nitrogen Nutrition Diagnostic Based on Hyperspectral Analysis about Different Layers Leaves in Maize. Spectrosc. Spectr. Anal. 2019, 39, 2829. (In Chinese) [Google Scholar]
- Xu, X.; Li, Z.; Yang, X.; Yang, G.; Teng, C.; Zhu, H.; Liu, S. Predicting leaf chlorophyll content and its nonuniform vertical distribution of summer maize by using a radiation transfer model. J. Appl. Remote Sens. 2019, 13, 034505. [Google Scholar] [CrossRef]
- Zhang, Y.-J.; Wang, L.; Bai, Y.; Lu, Y.-L.; Zhang, J.-J.; Ge, L. Relationship of physiological and biochemical indicators with SPAD values in maize leaves at different layers. J. Plant Nutr. Fertil. 2020, 26, 61–73. (In Chinese) [Google Scholar]
- Zhao, B.; Tahir, A.; Liu, Z.; Zhang, J.; Xiao, J.; Liu, Z.; Qin, A.; Ning, D.; Yang, Q.; Zhang, Y. Simple Assessment of Nitrogen Nutrition Index in Summer Maize by Using Chlorophyll Meter Readings. Front. Plant Ence 2018, 9, 11. [Google Scholar] [CrossRef]
- Dang, R.J.; Li, S.-Q.; Mu, X.-H.; Li, S.-X. Effect of nitrogen on vertical distribution of canopy nitrogen and chlorophyll relative value (SPAD value) of summer maize in sub-humid areas. Chin. J. Eco-Agric. 2009, 17, 54–59. [Google Scholar] [CrossRef]
- Peng, S.; Laza, M.; Garcia, F.V.; Cassman, K.G. Chlorophyll meter estimates leaf area-based nitrogen concentration of rice. Commun. Soil Sci. Plant Anal. 1995, 26, 927–935. [Google Scholar] [CrossRef]
- Féret, J.-B.; Francois, C.; Asner, G.; Gitelson, A.; Martin, R.; Bidel, L.; Ustin, S.; le Maire, G.; Jacquemoud, S. PROSPECT-4 and 5: Advances in the leaf optical properties model separating photosynthetic pigments. Remote Sens. Environ. 2008, 112, 3030–3043. [Google Scholar] [CrossRef]
- Li, Z.; Jin, X.; Yang, G.; Drummond, J.; Yang, H.; Clark, B.; Li, Z.; Zhao, C. Remote Sensing of Leaf and Canopy Nitrogen Status in Winter Wheat (Triticum aestivum L.) Based on N-PROSAIL Model. Remote Sens. 2018, 10, 1463. [Google Scholar] [CrossRef]
- Li, L.; Sheng, K.; Yin, H.; Guo, Y.; Wang, D.; Wang, Y. Selecting the sensitive position of maize leaves for nitrogen status diagnosis of summer maize by considering vertical nitrogen distribution in plant. Trans. Chin. Soc. Agric. Eng. 2020, 36, 64–73. [Google Scholar] [CrossRef]
- Huang, W.; Yang, Q.; Pu, R.; Yang, S. Estimation of Nitrogen Vertical Distribution by Bi-Directional Canopy Reflectance in Winter Wheat. Sensors 2014, 14, 20347–20359. [Google Scholar] [CrossRef]
- Wang, Z.; Wang, J.; Zhao, C.; Zhao, M.; Huang, W.; Wang, C. Vertical Distribution of Nitrogen in Different Layers of Leaf and Stem and Their Relationship with Grain Quality of Winter Wheat. J. Plant Nutr. 2005, 28, 73–91. [Google Scholar] [CrossRef]
- Wan, L.; Zhang, J.; Xu, Y.; Huang, Y.; Zhou, W.; Jiang, L.; He, Y.; Cen, H. PROSDM: Applicability of PROSPECT model coupled with spectral derivatives and similarity metrics to retrieve leaf biochemical traits from bidirectional reflectance. Remote Sens. Environ. 2021, 267, 112761. [Google Scholar] [CrossRef]
- Wang, H.F.; Huo, Z.G.; Zhou, G.S.; Liao, Q.H.; Feng, H.K.; Wu, L. Estimating leaf SPAD values of freeze-damaged winter wheat using continuous wavelet analysis. Plant Physiol Biochem. 2016, 98, 39–45. [Google Scholar] [CrossRef]
- Liu, L.; Song, B.; Zhang, S.; Liu, X. A Novel Principal Component Analysis Method for the Reconstruction of Leaf Reflectance Spectra and Retrieval of Leaf Biochemical Contents. Remote Sens. 2017, 9, 1113. [Google Scholar] [CrossRef]
- Jacquemoud, S.; Ustin, S.L.; Verdebout, J.; Schmuck, G.; Andreoli, G.; Hosgood, B. Estimating leaf biochemistry using the PROSPECT leaf optical properties model. Remote Sens. Environ. 1996, 56, 194–202. [Google Scholar] [CrossRef]
- Li, H.; Zhao, C.; Yang, G.; Feng, H. Variations in crop variables within wheat canopies and responses of canopy spectral characteristics and derived vegetation indices to different vertical leaf layers and spikes. Remote Sens. Environ. 2015, 169, 358–374. [Google Scholar] [CrossRef]
- Xiao, C.H.; Li, S.K.; Wang, K.R.; Lu, Y.L.; Bai, J.H.; Xie, R.Z.; Gao, S.J.; Li, X.J.; Tan, H.Z. The Response of Canopy Direction Reflectance Spectrum for the Wheat Vertical Leaf Distributing. Sens. Lett. 2009, 9, 77–85. [Google Scholar]
- Liu, S.; Peng, Y.; Du, W.; Le, Y.; Li, L. Remote Estimation of Leaf and Canopy Water Content in Winter Wheat with Different Vertical Distribution of Water-Related Properties. Remote Sens. 2015, 7, 4626–4650. [Google Scholar] [CrossRef]
- Luo, J.; Ma, R.; Feng, H.; Li, X. Estimating the Total Nitrogen Concentration of Reed Canopy with Hyperspectral Measurements Considering a Non-Uniform Vertical Nitrogen Distribution. Remote Sens. 2016, 8, 789. [Google Scholar] [CrossRef]






| Stage | N0 | N100 | N200 | N300 | N400 |
|---|---|---|---|---|---|
| V3 | 0 | 60 | 120 | 180 | 240 |
| VT | 0 | 40 | 80 | 120 | 160 |
| Vegetation Index (Abbr.) | Formula | Reference |
|---|---|---|
| Simple ratio (SR) | Rnir/Rred | [39] |
| Vogelman Red Edge Index 1 (VOG1) | R740/R720 | [17] |
| Normalized difference vegetation index (NDVI) | (Rnir − Rred)/(Rnir + Rred) | [40] |
| Normalized difference red edge index (NDRE) | (Rnir − Rre)/(Rnir + Rre) | [15] |
| Green NDVI (GNDVI) | (Rnir − Rgreen)/(Rnir + Rgreen) | [41] |
| Plant Pigment ratio (PPR) | (Rgreen − Rblue)/(Rgreen + Rblue) | [42] |
| Canopy chlorophyll content (CCCI) | NDRE/NDVI | [43] |
| MERIS Terrestrial Chlorophyll Index (MTCI) | (Rnir − Rre)/(Rre − Rred) | [16] |
| Vogelman Red Edge Index 2 (VOG2) | (R734 − R747)/(R715 + R726) | [17] |
| Vogelman Red Edge Index 3 (VOG3) | (R734 − R747)/(R715 + R720) | [17] |
| Red edge chlorophyll index (CIred-edge) | (Rnir/Rre) − 1 | [8] |
| Green chlorophyll index (CIgreen) | (Rnir/Rgreen) − 1 | [12] |
| Transformed Chl absorption in reflectance index (TCARI) | 3[(Rre − Rred) − 0.2(Rre − Rgreen)(Rre/Rred)] | [44] |
| Structure independent pigment index (SIPI) | (R800 − R445)/(R800 − R680) | [45] |
| Double difference index (DD) | (R750 − R720) − (R700 − R670) | [46] |
| Modified normalized difference (mND705) | (R750 − R705)/(R750 + R705 − 2 × R445) | [13] |
| Modified simple ratio (mSR705) | (R750 − R445)/(R705 − R445) | [13] |
| Triangular vegetation index (TVI) | 60 × (Rnir − Rgreen) − 100 × (Rred − Rgreen) | [47] |
| mTVI (red-edge) | 60 × (Rnir − Rgreen) − 100 × (Rre − Rgreen) | [47] |
| Modified chlorophyll absorption ratio index (MCARI) | (Rre − Rred) − 0.2 × (Rre − Rgreen) × (Rre/Rred) | [3] |
| mNDblue | (Rblue − Rre)/(Rblue + Rnir) | [48] |
| Double-peak canopy nitrogen index (DCNII) | (R750 − R700)/(R700 − R670)/(R750 − R670 + 0.09) | [49] |
| Modified red-edge ratio (mRER) | (R759 − 1.8 × R419)/(R742 − 1.8 × R419) | [50] |
| Enhanced vegetation index (EVI) | 2.5 (Rnir − Rred)/(Rnir + 6 Rred − 7.5 Rblue + 1) | [51] |
| NO. | VI | Linear Model | R2 | RMSE | rRMSE (%) |
|---|---|---|---|---|---|
| 1 | mRER | y = 496.61x − 499.81 | 0.87 | 7.98 | 14.42 |
| 2 | VOG2 | y = −441.07x + 6.09 | 0.85 | 8.38 | 15.13 |
| 3 | SR(Rnir, Rre) | y = 65.38x − 66.96 | 0.85 | 8.49 | 15.34 |
| 4 | CIred-edge | y = 65.38x − 1.58 | 0.85 | 8.49 | 15.34 |
| 5 | VOG3 | y = −377.01x + 8.38 | 0.85 | 8.58 | 15.49 |
| 6 | NDRE | y = 250.7x − 18.53 | 0.85 | 8.59 | 15.51 |
| 7 | mTVI | y = 5.85x + 9.47 | 0.82 | 9.21 | 16.64 |
| 8 | VOG1 | y = 103.37x − 104.75 | 0.82 | 9.31 | 16.82 |
| 9 | MTCI | y = 43.88x − 1.33 | 0.81 | 9.48 | 17.12 |
| 10 | DD | y = 316.21x + 11.8 | 0.81 | 9.50 | 17.16 |
| 11 | mNDblue | y = 321.09x + 161.16 | 0.80 | 9.93 | 17.94 |
| 12 | mSR705 | y = 11.44x − 1.51 | 0.79 | 10.03 | 18.11 |
| 13 | CIgreen | y = 27.06x − 11.9 | 0.78 | 10.30 | 18.61 |
| 14 | CI705 | y = 28.17x − 0.47 | 0.78 | 10.40 | 18.79 |
| 15 | GNDVI | y = 236.7x − 72.78 | 0.77 | 10.50 | 18.96 |
| 16 | CCCI | y = 222.07x − 37.6 | 0.75 | 10.96 | 19.80 |
| 17 | DCNII1 | y = 20.16x + 0.38 | 0.74 | 11.27 | 20.36 |
| 18 | TCARI | y = −201.47x + 115.49 | 0.49 | 15.72 | 28.38 |
| 19 | MCARI | y = −604.4x + 115.49 | 0.49 | 15.72 | 28.38 |
| 20 | PPR | y = −245.18x + 125.12 | 0.42 | 16.75 | 30.25 |
| 21 | NDVI | y = 150.7x − 49.53 | 0.41 | 16.89 | 30.50 |
| 22 | EVI | y = 131.18x − 34.95 | 0.27 | 18.77 | 33.90 |
| 23 | SIPI | y = −79.59x + 137.67 | 0.22 | 19.43 | 35.10 |
| 24 | TVI | y = 1.14x + 26.76 | 0.02 | 21.71 | 39.21 |
| MSR Model | Parameters | Regression Model | R2-adj | Beta | VIF |
|---|---|---|---|---|---|
| Early model (day 38) | X1:L6 | Y = 0.042X1 − 1.6 | 0.9 | 0.95 | 1 |
| Middle model (day = 57 + 71) | X1:L9 | Y = 0.052X1 − 0.334 | 0.89 | 0.95 | 1 |
| X1:L9, X2:L16 | Y = 0.038X1 + 0.018X2 − 0.79 | 0.93 | (0.7, 0.3) | 2.64 | |
| Late model (day = 87 + 100) | X1:L14 | Y = 0.039X1 − 0.67 | 0.92 | 0.96 | 1 |
| X1:L14, X2:L9 | Y = 0.032X1 + 0.009X2 − 0.362 | 0.97 | (0.79, 0.27) | 1.74 | |
| Reproductive model (day 57−100) | X1:L11 | Y = 0.042X1 − 0.09 | 0.91 | 0.95 | 1 |
| X1:L11, X2:L14 | Y = 0.022X1 + 0.024X2 − 0.679 | 0.93 | (0.51, 0.48) | 8.428 |
| Stage | Middle Model | Late Model | Reproductive Model | |||
|---|---|---|---|---|---|---|
| L9 | L9 + L16 | L14 | L14 + L9 | L11 | L11 + L14 | |
| Sixteen-leaf stage (day 51) | 7.68% | 6.81% | 16.60% | 7.52% | 8.65% | 6.95% |
| Silking stage (day 64) | 7.49% | 7.26% | 16.31% | 11.40% | 6.96% | 9.99% |
| Filling stage (day 87) | 43.95% | 30.20% | 6.47% | 5.46% | 13.58% | 9.54% |
| All stages (day 51–87) | 20.74% | 14.90% | 15.35% | 9.21% | 9.37% | 8.97% |
Publisher’s Note: MDPI stays neutral with regard to jurisdictional claims in published maps and institutional affiliations. |
© 2022 by the authors. Licensee MDPI, Basel, Switzerland. This article is an open access article distributed under the terms and conditions of the Creative Commons Attribution (CC BY) license (https://creativecommons.org/licenses/by/4.0/).
Share and Cite
Yang, H.; Ming, B.; Nie, C.; Xue, B.; Xin, J.; Lu, X.; Xue, J.; Hou, P.; Xie, R.; Wang, K.; et al. Maize Canopy and Leaf Chlorophyll Content Assessment from Leaf Spectral Reflectance: Estimation and Uncertainty Analysis across Growth Stages and Vertical Distribution. Remote Sens. 2022, 14, 2115. https://doi.org/10.3390/rs14092115
Yang H, Ming B, Nie C, Xue B, Xin J, Lu X, Xue J, Hou P, Xie R, Wang K, et al. Maize Canopy and Leaf Chlorophyll Content Assessment from Leaf Spectral Reflectance: Estimation and Uncertainty Analysis across Growth Stages and Vertical Distribution. Remote Sensing. 2022; 14(9):2115. https://doi.org/10.3390/rs14092115
Chicago/Turabian StyleYang, Hongye, Bo Ming, Chenwei Nie, Beibei Xue, Jiangfeng Xin, Xingli Lu, Jun Xue, Peng Hou, Ruizhi Xie, Keru Wang, and et al. 2022. "Maize Canopy and Leaf Chlorophyll Content Assessment from Leaf Spectral Reflectance: Estimation and Uncertainty Analysis across Growth Stages and Vertical Distribution" Remote Sensing 14, no. 9: 2115. https://doi.org/10.3390/rs14092115
APA StyleYang, H., Ming, B., Nie, C., Xue, B., Xin, J., Lu, X., Xue, J., Hou, P., Xie, R., Wang, K., & Li, S. (2022). Maize Canopy and Leaf Chlorophyll Content Assessment from Leaf Spectral Reflectance: Estimation and Uncertainty Analysis across Growth Stages and Vertical Distribution. Remote Sensing, 14(9), 2115. https://doi.org/10.3390/rs14092115

