Satellite Observations of Fire Activity in Relation to Biophysical Forcing Effect of Land Surface Temperature in Mediterranean Climate
Abstract
:1. Introduction
- To characterize spatial–temporal patterns of fire activity (July–September) using long-term satellite data records from SEVIRI observations (2004–2019) in terms of the number of biomass burning detections and the severity of burning (FRP, MW) according to the LSASAF FRP-Pixel product;
- To use LSASAF LST product data to statistically investigate and evaluate the relationship of the biophysical parameters of LST, LST anomaly, and the difference between skin and air temperatures (LST-T2m) to the occurrence and severity of wild fires on a short-term climatic basis (2007–2018);
- To characterize the wild fire vulnerability of the main vegetation types (forest, shrublands, cultivated) in relation to the LST and SMA warm and dry anomalies.
2. Materials and Methods
2.1. The LSASAF FRP-PIXEL Product
- The first concerns surface fires in forests, where an unknown amount of radiant energy may be intercepted (scattered and absorbed) by the forest canopy.
- Second, although atmospheric effects perturb MIR wavelength observation far less than those in shorter wavelengths, allowing FRP retrieval through even dense smoke and plumes, the radiative impact of the absorptive black carbon released during combustion may result in some underestimation of the FRP by the satellite measurement.
2.2. Biophysical Indexes
2.2.1. The LSASAF LST Product
2.2.2. SVAT Model and SMAI
2.3. Ground Observations of Forest Fires
2.4. Target Region and Land Cover
2.5. Numerical Analyses
3. Results
3.1. Active Fire Monitoring from Space
3.2. Biophysical Drivers and Fire Activity
3.2.1. Annual Trends in Fire Activity along with LST
3.3. Statistical Analyses
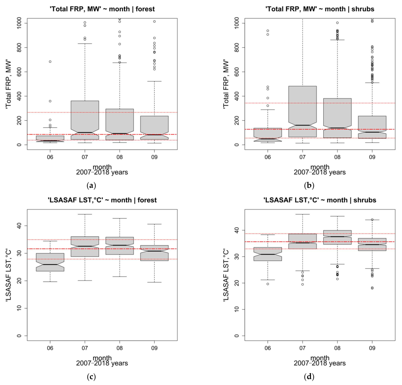
3.3.1. Box Plots Analyses
3.3.2. Quantile Regression
3.3.3. Correlation Analyses
3.3.4. Spatial Pattern and Trends
4. Discussion
5. Conclusions
Supplementary Materials
Author Contributions
Funding
Data Availability Statement
Acknowledgments
Conflicts of Interest
References
- Bradstock, R.A. A biogeographic model of fire regimes in Australia: Current and future implications. Global Ecol. Biogeogr. 2010, 19, 145–158. [Google Scholar] [CrossRef]
- Krawchuk, M.A.; Moritz, M.A. Constraints on global fire activity vary across a resource gradient. Ecology 2011, 92, 121–132. [Google Scholar] [CrossRef] [PubMed]
- Vlassova, L.; Pérez-Cabello, F.; Mimbrero, M.R.; Llovería, R.M.; García-Martín, A. Analysis of the Relationship between Land Surface Temperature and Wildfire Severity in a Series of Landsat Images. Remote Sens. 2014, 6, 6136–6162. [Google Scholar] [CrossRef] [Green Version]
- Liu, Z.; Ballantyne, A.P.; Cooper, L.A. Biophysical feedback of global forest fires on surface temperature. Nat. Commun. 2019, 10, 214. [Google Scholar] [CrossRef] [PubMed] [Green Version]
- Bowman, D.M.; Balch, J.; Artaxo, P.; Bond, W.J.; Cochrane, M.A.; D’Antonio, C.M.; DeFries, R.; Johnston, F.H.; Keeley, J.E.; Krawchuk, M.A.; et al. The human dimension of fire regimes on Earth. J. Biogeogr. 2011, 38, 2223–2236. [Google Scholar] [CrossRef] [Green Version]
- Hessl, A.E. Pathways for climate change effects on fire: Models, data, and uncertainties. Prog. Phys. Geogr. 2011, 35, 393–407. [Google Scholar] [CrossRef]
- Jensen, D.; Reager, J.T.; Zajic, B.; Rousseau, N.; Rodell, M.; Hinkley, E. The sensitivity of US wildfire occurrence to pre-season soil moisture conditions across ecosystems. Environ. Res. Lett. 2018, 13, 014021. [Google Scholar] [CrossRef]
- Chuvieco, E.; Aguado, I.; Dimitrakopoulos, A.P. Conversion of fuel moisture content values to ignition potential for integrated fire danger assessment. Can. J. For. Res. 2004, 34, 2284–2293. [Google Scholar] [CrossRef]
- Bartsch, A.; Balzter, H.; George, C. The influence of regional surface soil moisture anomalies on forest fires in Siberia observed from satellites. Environ. Res. Lett. 2009, 4, 045021. [Google Scholar] [CrossRef] [Green Version]
- Krueger, E.S.; Ochsner, T.E.; Engle, D.M.; Carlson, J.D.; Twidwell, D.L.; Fuhlendorf, S.D. Soil Moisture Affects Growing-Season Wildfire Size in the Southern Great Plains. Soil Sci. Soc. Am. J. 2015, 79, 1567–1576. [Google Scholar] [CrossRef]
- Krueger, E.S.; Ochsner, T.E.; Quiring, S.M.; Engle, D.M.; Carlson, J.D.; Twidwell, D.; Fuhlendorf, S.D. Measured soil moisture is a better predictor of large growing-season wildfires than the Keetch-Byram drought index. Soil Sci. Soc. Am. J. 2017, 81, 490–502. [Google Scholar] [CrossRef]
- Seneviratne, S.I.; Corti, T.; Davin, E.L.; Hirschi, M.; Jaeger, E.B.; Lehner, I.; Orlowsky, B.; Teuling, A.J. Investigating soil moisture–climate interactions in a changing climate: A review. Earth Sci. Rev. 2010, 99, 125–161. [Google Scholar] [CrossRef]
- Burapapol, K.; Nagasawa, R. Mapping soil moisture as an indicator of wildfire risk using landsat 8 images in Sri Lanna National Park, Northern Thailand. J. Agric. Sci. 2016, 8, 107. [Google Scholar] [CrossRef]
- Kustas, W.; Anderson, M. Advances in thermal infrared remote sensing for land surface modeling. Agric. For. Meteorol. 2009, 149, 2071–2081. [Google Scholar] [CrossRef]
- Monson, R.; Baldocchi, D. Terrestrial Biosphere-Atmosphere Fluxes; Cambridge University Press: Cambridge, MA, USA, 2014; p. 487. [Google Scholar]
- Lambin, E.; Goyvaerts, K.; Petit, C. Remotely-sensed indicators of burning efficiency of savannah and forest fires. Int.J. Remote Sens. 2003, 24, 3105–3118. [Google Scholar] [CrossRef]
- Veraverbeke, S.; Verstraeten, W.W.; Lhermitte, S.; van de Kerchove, R.; Goossens, R. Assessment of post-fire changes in land surface temperature and surface albedo, and their relation with fire–burn severity using multitemporal MODIS imagery. Int. J. Wildland Fire 2012, 21, 243–256. [Google Scholar] [CrossRef] [Green Version]
- Maffei, C.; Alfieri, S.M.; Menenti, M. Relating Spatiotemporal Patterns of Forest Fires Burned Area and Duration to Diurnal Land Surface Temperature Anomalies. Remote Sens. 2018, 10, 1777. [Google Scholar] [CrossRef] [Green Version]
- Beringer, J.; Hutley, L.; Tapper, N.; Coutts, A.; Kerley, A.; O’grady, A. Fire impacts on surface heat, moisture and carbon fluxes from a tropical savanna in Northern Australia. Int. J. Wildland Fire 2003, 12, 333–340. [Google Scholar] [CrossRef]
- Yang, H. Land Surface Temperature Anomalies and Fire Occurrence. The Relationship between Land Surface Temperature Anomalies and Fire Occurrence in Cariboo Region in 2017. 2021. Available online: https://storymaps.arcgis.com/stories/06a6acff8a544fb187b2cb4ce262e614 (accessed on 23 February 2022).
- Song, W. Relating Forest Fire Occurrences to Diurnal Land Surface Temperature Anomalies in Victoria, Australia from 2001 to 2019. 2021. Available online: https://open.library.ubc.ca/collections/researchdata/items/1.0396657 (accessed on 24 February 2022).
- Nakayama, M.; Maki, M.; Elvidge, C.D.; Liew, S.C. Contextual algorithm adapted for NOAA-AVHRR fire detection in Indonesia. Int. J. Remote Sens. 1999, 20, 3415–3421. [Google Scholar] [CrossRef]
- Justice, C.O.; Giglio, L.; Korontzi, S.; Owens, J.; Morisette, J.T.; Roy, D.; Descloitres, J.; Alleaume, S.; Petitcolin, F.; Kaufman, Y. The MODIS fire products. Remote Sens. Environ. 2002, 83, 244–262. [Google Scholar] [CrossRef]
- Giglio, L.; Descloitres, J.; Justice, C.O.; Kaufman, Y.J. An enhanced contextual fire detection algorithm for MODIS. Remote Sens. Environ. 2003, 87, 273–282. [Google Scholar] [CrossRef]
- Giglio, L.; Csiszar, I.; Restás, Á.; Morisette, J.T.; Schroeder, W.; Morton, D.; Justice, C.O. Active fire detection and characterization with the advanced spaceborne thermal emission and reflection radiometer (ASTER). Remote Sens. Environ. 2008, 112, 3055–3063. [Google Scholar] [CrossRef]
- Schroeder, W.; Oliva, P.; Giglio, L.; Quayle, B.; Lorenz, E.; Morelli, F. Active fire detection using Landsat-8/OLI data. Remote Sens. Environ. 2016, 185, 210–220. [Google Scholar] [CrossRef] [Green Version]
- Ardakani, A.S.; Valadan Zoej, M.J.; Mohammadzadeh, A.; Mansourian, A. Spatial and temporal analysis of fires detected by MODIS data in northern Iran from 2001 to 2008. IEEE J. Sel. Top. Appl. Earth Obs. Remote Sens. 2011, 4, 216–225. [Google Scholar] [CrossRef]
- Palumbo, I.; Grégoire, J.; Simonetti, D.; Punga, M. Spatio-temporal distribution of fire activity in protected areas of Sub-Saharan Africa derived from MODIS data. Procedia Environ. Sci. 2011, 7, 26–31. [Google Scholar] [CrossRef]
- Molinario, G.; Davies, D.K.; Schroeder, W.; Justice, C.O. Characterizing the spatio-temporal fire regime in Ethiopia using the MODIS-active fire product: A replicable methodology for country-level fire reporting. Afr. Geogr. Rev. 2014, 33, 99–123. [Google Scholar] [CrossRef]
- Chuvieco, E. Global characterization of fire activity: Toward defining fire regimes from Earth observation data. Glob. Chang. Biol. 2008, 14, 1488–1502. [Google Scholar] [CrossRef]
- Wei, X.; Wang, G.; Chen, T.; Fiifi, D.; Hagan, T.; Ullah, W. A Spatio-Temporal Analysis of Active Fires over China during 2003–2016. Remote Sens. 2020, 12, 1787. [Google Scholar] [CrossRef]
- Prins, D.M.; Menzel, W.P. Geostationary satellite detection of biomass burning in South America. Int. J. Remote Sens. 1992, 13, 2783–2799. [Google Scholar] [CrossRef]
- Prins, E.M.; Feltz, J.M.; Menzel, W.P.; Ward, D.E. An overview of GOES-8 diurnal fire and smoke results for SCAR-B and 1995 fire season in South America. J. Geophys. Res. Atmos. 1998, 103, 31821–31835. [Google Scholar] [CrossRef]
- Roberts, G.; Wooster, M.J.; Perry, G.L.W.; Drake, N.; Rebelo, L.-M.; Dipotso, F. Retrieval of biomass combustion rates and totals from fire radiative power observations: Application to southern Africa using geostationary SEVIRI imagery. J. Geophys. Res. 2005, 110, D21111. [Google Scholar] [CrossRef] [Green Version]
- Roberts, G.; Wooster, M.J. Fire detection and fire characterization over Africa using Meteosat SEVIRI. IEEE Trans. Geosci. Remote Sens. 2008, 46, 1200–1218. [Google Scholar] [CrossRef] [Green Version]
- Wooster, M.J.; Roberts, G.; Freeborn, P.H.; Xu, W.; Govaerts, Y.; Beeby, R.; He, J.; Lattanzio, A.; Mullen, R. Meteosat SEVIRI Fire Radiative Power (FRP) Products from the Land Surface Analysis Satellite Applications Facility (LSA SAF): Part 1-Algorithms, Product Contents & Analysis. Atmos. Chem. Phys. 2015, 15, 15831–15907. [Google Scholar]
- Govaerts, Y.; Wooster, M.; Roberts, G.; Freeborn, P.; Xu, W.; He, J.; Lattanzio, A. Algorithm Theoretical Basis Document for MSG SEVIRI Fire Radiative Power (FRP) Characterisation. 2015. Available online: https://nextcloud.lsasvcs.ipma.pt/s/Wc7xRm3soPwjj56 (accessed on 24 February 2022).
- Xu, W.; Wooster, M.J.; He, J.; Zhang, T. Improvements in high-temporal resolution active fire detec-tion and FRP retrieval over the Americas using GOES-16 ABI with the geostationary fire thermal anomaly (FTA) algorithm. Sci. Remote Sens. 2021, 3, 100016. [Google Scholar] [CrossRef]
- Xu, W.; Wooster, M.J.; Kaneko, T.; He, J.P.; Zhang, T.R.; Fisher, D. Major advances in geosttionary fire radiative power (FRP) retrieval over Asia and Australia stemming from use of Himarawi-8 AHI. Remote Sens. Environ. 2017, 193, 138–149. [Google Scholar] [CrossRef] [Green Version]
- Wooster, M.J.; Roberts, G.J.; Giglio, L.; Roy, D.P.; Freeborn, P.H.; Boschetti, L.; Justice, C.; Ichoku, C.; Schroeder, W.; Davies, D.; et al. Satellite remote sensing of active fires: History and current status, applications and future requirements. Remote Sens. Environ. 2021, 267, 112694. [Google Scholar] [CrossRef]
- Kaufman, Y.J.; Justice, C.O.; Flynn, L.P.; Kendall, J.D.; Prins, E.M.; Giglio, L.; Ward, D.E.; Menzel, W.P.; Setzer, A.W. Potential global fire monitoring from EOS-MODIS. J. Geophys. Res. 1998, 103, 32215–32238. [Google Scholar] [CrossRef]
- Wooster, M.J.; Zhukov, B.; Oertel, D. Fire radiative energy for quantitative study of biomass burning: Derivation from the BIRD experimental satellite and comparison to MODIS fire products. Remote Sens. Environ. 2003, 86, 83–107. [Google Scholar] [CrossRef]
- Ichoku, C.; Giglio, L.; Wooster, M.J.; Remer, L.A. Global characterization of biomass-burning patterns using satellite measurements of Fire Radiative Energy. Remote Sens. Environ. 2008, 112, 2950–2962. [Google Scholar] [CrossRef]
- Amraoui, M.; Liberato, M.; Calado, T.; Dacamara, C.; Coelho, L.; Trigo, R.; Gouveia, C. Fire activity over Mediterranean Europe based on information from Meteosat-8. For. Ecol. Manag. 2013, 294, 62–75. [Google Scholar] [CrossRef]
- Gao, X.; Giorgi, F. Increased aridity in the Mediterranean region under greenhouse gas forcing estimated from high-resolution simulations with a regional climate model. Glob. Planet. Change 2008, 62, 195–209. [Google Scholar] [CrossRef]
- Seneviratne, S.I.; Lüthi, D.; Litschi, M.; Schär, C. Land–atmosphere coupling and climate change in Europe. Nature 2006, 443, 205–209. [Google Scholar] [CrossRef] [PubMed]
- Stéfanon, M.; Drobinski, P.; D’Andrea, F.; Lebeaupin-Brossier, C.; Bastin, C. Soil moisture-temperature feedbacks at meso-scale during summer heat waves over Western Europe. Clim. Dyn. 2013, 42, 1309–1324. [Google Scholar] [CrossRef]
- Sifakis, N.I.; Iossifidis, C.; Kontoes, C.; Keramitsoglou, I. Wildfire Detection and Tracking over Greece Using MSG-SEVIRI Satellite Data. Remote Sens. 2011, 3, 524–538. [Google Scholar] [CrossRef] [Green Version]
- Di Biase, V.; Laneve, G. Geostationary Sensor Based Forest Fire Detection and Monitoring: An Improved Version of the SFIDE Algorithm. Remote Sens. 2018, 10, 741. [Google Scholar] [CrossRef] [Green Version]
- Gudmundsson, L.; Rego, F.C.; Rocha, M.; Seneviratne, S.I. Predicting above normal wildfire activity in southern Europe as a function of meteorological drought. Environ. Res. Lett. 2014, 9, 084008. [Google Scholar] [CrossRef]
- Trenberth, K.E.; Dai, A.; van der Schrier, G.; Jones, P.D.; Barichivich, J.; Briffa, K.R.; Shef-field, J. Global warming and changes in drought. Nat. Clim. Chang. 2014, 4, 17–22. [Google Scholar] [CrossRef]
- Aguado, I.; Chuvieco, E.; Borén, R.; Nieto, H. Estimation of dead fuel moisture content from meteorological data in Mediterranean areas. Applications in fire danger assessment. Int. J. Wildland Fire 2007, 16, 390–397. [Google Scholar] [CrossRef]
- Westerling, A.L.; Brown, T.J.; Gershunov, A.; Cayan, D.R.; Dettinger, M.D. Climate and wildfire in the western United States. Bull. Am. Meteorol. Soc. 2003, 84, 595–604. [Google Scholar] [CrossRef] [Green Version]
- Littell, J.S.; McKenzie, D.; Peterson, D.L.; Westerling, A.L. Climate and wildfire area burned in western US ecoprovinces, 1916–2003. Ecol. Appl. 2009, 19, 1003–1021. [Google Scholar] [CrossRef]
- Riley, K.L.; Abatzoglou, J.T.; Grenfell, I.C.; Klene, A.E.; Heinsch, F.A. The relationship of large fire occurrence with drought and fire danger indices in the western USA, 1984–2008: The role of temporal scale. Int. J. Wildland Fire 2013, 22, 894–909. [Google Scholar] [CrossRef]
- McEvoy, J.; Hobbins, M.; Brown, T.J.; VanderMolen, K.; Wall, T.; Huntington, J.L.; Svoboda, M. Establishing Relationships between Drought Indices and Wildfire Danger Outputs: A Test Case for the California-Nevada Drought Early Warning System. Climate 2019, 7, 52. [Google Scholar] [CrossRef] [Green Version]
- Brown, J.F.; Wardlow, B.D.; Tadesse, T.; Hayes, M.J.; Reed, B.C. The Vegetation Drought Response Index (VegDRI): A new integrated approach for monitoring drought stress in vegetation. GISci. Remote Sens. 2008, 45, 16–46. [Google Scholar] [CrossRef]
- Sohrabi, M.M.; Ryu, J.H.; Abatzoglou, J.T.; Tracy, J. Development of soil moisture drought index to characterize droughts. J. Hydrol. Eng. 2015, 20, 04015025. [Google Scholar] [CrossRef]
- Carrão, H.; Russo, S.; Sepulcre-Canto, G.; Barbosa, P. An empirical standardized soil moisture index for agricultural drought assessment from remotely sensed data. Int. J. Appl. Earth Obs. 2016, 48, 74–84. [Google Scholar] [CrossRef]
- Kotroni, V.; Cartalis, C.; Michaelides, S.; Stoyanova, J.; Tymvios, F.; Bezes, A.; Christoudias, T.; Dafis, S.; Giannakopoulos, C.; Giannaros, T.M.; et al. DISARM Early Warning System for Wildfires in the Eastern Mediterranean. Sustainability 2020, 12, 6670. [Google Scholar] [CrossRef]
- Stoyanova, J.S.; Georgiev, C.G. Drought and vegetation fires detection using MSG geostationary satellites. In Proceedings of the 2010 EUMETSAT Meteorological Satellite Conference, Córdoba, Spain, 20–24 September 2010. [Google Scholar]
- Stoyanova, J.S.; Georgiev, C.G.; Barroso, C. MSG land surface temperature product as a biogeophysical diagnostic parameter of terrestrial water status. In Proceedings of the 2012 EUMETSAT Meteorological Satellite Conference, Sopot, Poland, 7–10 September 2012. [Google Scholar]
- Anderson, M.C.; Norman, J.M.; Mecikalski, J.R.; Otkin, J.A.; Kustas, W.P. A climatological study of evapotranspiration and moisture stress across the continental United States based on thermal remote sensing: 2. Surface moisture climatology. J. Geophys. Res. Atmos. 2007, 112, D10117. [Google Scholar] [CrossRef]
- Vicente-Serrano, S.M.; Beguería, S.; López-Moreno, J.I. A multiscalar drought index sensitive to global warming: The standardized precipitation evapotranspiration index. J. Clim. 2010, 23, 1696–1718. [Google Scholar] [CrossRef] [Green Version]
- Hobbins, M.T.; Wood, A.W.; McEvoy, D.J.; Huntington, J.L.; Morton, C.; Anderson, M.C.; Hain, C.R. The Evaporative Demand Drought Index: Part I—Linking drought evolution to variations in evaporative demand. J. Hydrometeorol. 2016, 17, 1745–1761. [Google Scholar] [CrossRef]
- Stoyanova, J.; Georgiev, C.; Neytchev, P.; Kulishev, A. Spatial-Temporal Variability of Land Surface Dry Anomalies in Climatic Aspect: Biogeophysical Insight by Meteosat Observations and SVAT Modeling. Atmosphere 2019, 10, 636. [Google Scholar] [CrossRef] [Green Version]
- Trigo, I.F.; Dacamara, C.C.; Viterbo, P.; Roujean, J.L.; Olesen, F.; Barroso, C.; Camacho-de-Coca, F.; Carrer, D.; Freitas, S.C.; Garcia-Haro, J.; et al. The satellite application facility for land surface analysis. Int. J. Remote Sens. 2011, 32, 2725–2744. [Google Scholar] [CrossRef]
- Trigo, I.F.; Peres, L.F.; DaCamara, C.C.; Freitas, S.C. Thermal Land Surface Emissivity retrieved from SEVIRI/Meteosat. IEEE Trans. Geosci. Remote Sens. 2008, 46, 307–315. [Google Scholar] [CrossRef]
- Stoyanova, J.S.; Georgiev, C.G. SVAT modelling in support to flood risk assessment in Bulgaria. Atmos. Res. 2013, 123, 384–399. [Google Scholar] [CrossRef] [Green Version]
- Stoyanova, J.S.; Georgiev, C.G. Operational drought detection and monitoring over Eastern Mediterranean by using MSG data. In Proceedings of the 2013 EUMETSAT Meteorological Satellite Conference/19th American Meteorological Society AMS Satellite Meteorology, Oceanography, and Climatology Conference, Vienna, Austria, 16–20 September 2013; EUMETSAT: Darmstadt, Germany, 2013. [Google Scholar]
- ESA-CCI Land Cover Map product. Available online: https://www.esa-landcover-cci.org/?q=node/164 (accessed on 24 February 2022).
- Stoyanova, J.; Plamen, N.; Georgiev, C. Characterizing Fire Activity in Eastern Mediterranean Europe by Surface Temperature and Soil Moisture Variability. In Proceedings of the AGU Fall Meeting Abstracts, Virtual, 1–17 December 2020. [Google Scholar] [CrossRef]
- Stoyanova, J.; Georgiev, C.; Neytchev, P.; Kulishev, A. Synoptic and climatic aspects of fire activity and emission effects, Part I. In Proceedings of the 7th SALGEE Virtual Workshop ‘’Drought & Vegetation Monitoring: Energy–Water Cycle’’, Virtual, 24–26 November 2021; Available online: https://training.eumetsat.int/mod/folder/view.php?id=14866 (accessed on 24 February 2022).
- R Core Team. R: A Language and Environment for Statistical Computing; R Foundation for Statistical Computing: Vienna, Austria, 2017. [Google Scholar]
- Stoyanova, J.S.; Georgiev, C.G.; Neytchev, P.N.; Vladimirov, E.V. Combined assessment of terrestrial drought and atmospheric conditions through a composite index for fire risk forecast. In Proceedings of the 2016 EUMETSAT Meteorological Satellite Conference, Darmstadt, Germany, 26–30 September 2016. [Google Scholar]
- COMET® Program. Critical Fire Weather Patterns. University Corporation for Atmospheric Research, Boulder, CO 80307-3000. 2019. Available online: https://www.meted.ucar.edu/training_module.php?id=1599#.Xa29R2ZS9aQ (accessed on 23 February 2022).
- Dimitrakopoulos, A.P.; Mitsopoulos, I.D.; Gatoulas, K. Assessing ignition probability and moisture of extinction in a Mediterranean grass fuel. Int. J. Wildland Fire 2010, 19, 29–34. [Google Scholar] [CrossRef]
- Viegas, D.; Piñol, J.; Viegas, M.; Ogaya, R. Estimating live fine fuels moisture content using meteorologically-based indices. Int. J. Wildland Fire 2001, 10, 223–240. [Google Scholar] [CrossRef]
- Xiao, J.; Zhuang, Q. Drought effects on large fire activity in Canadian and Alaskan forests. Environ. Res. Lett. 2007, 2, 044003. [Google Scholar] [CrossRef]
- Chuvieco, E.; González, I.; Verdú, F.; Aguado, I.; Yebra, M. Prediction of fire occurrence from live fuel moisture content measurements in a Mediterranean ecosystem. Int. J. Wildland Fire 2009, 18, 430–441. [Google Scholar] [CrossRef]
- Pausas, J.G.; Fernández-Muño, S. Fire regime changes in the Western Mediterranean Basin: From fuel-limited to drought-driven fire regime. Clim. Change 2012, 110, 215–226. [Google Scholar] [CrossRef] [Green Version]
- Chandler, C.; Cheney, P.; Thomas, P.; Trabaud, L.; Williams, D. Fire in Forestry. In Forest Fire Behavior and Effects; John Wiley and Sons: New York, NY, USA, 1983; Volume 1, p. 450. [Google Scholar]
- Miller, D.H. Energy at the Surface of the Earth: An Introduction to the Energetics of Ecosystems; Chapter VII Radiant Energy Absorbed by Ecosystems; Academic Press: New York, NY, USA, 1981; pp. 114–135. ISBN 0-12-497152-0. [Google Scholar]
- Rose, C.W. Agricultural Physics; Pergamon Press: Oxford, UK, 1966; p. 230. [Google Scholar]
- Park, S.; Feddema, J.J.; Egbert, S.L. MODIS land surface temperature composite data and their relationships with climatic water budget factors in the central Great Plains. Int. J. Remote Sens. 2005, 26, 1127–1144. [Google Scholar] [CrossRef]
- Prigent, C.; Aires, F.; Rossow, W.B. Land surface skin temperatures from a combined analysis of microwave and infrared satellite observations for an all-weather evaluation of the differences between air and skin temperatures. J. Geophys. Res. 2003, 108, 4310. [Google Scholar] [CrossRef]
- Guangmeng, G.; Mei, Z. Using MODIS Land Surface Temperature to evaluate forest fire risk of Northeast China. IEEE Geoscince Remote Sens. Lett. 2004, 1, 98–100. [Google Scholar] [CrossRef]
- Lavorel, S.; Flanningan, M.D.; Lambin, E.F. Vulnerability of land systems to fire: Interactions among humans, climate, the atmosphere, and ecosystems. Mitig. Adapt Strat. Glob. Change 2007, 12, 33–53. [Google Scholar] [CrossRef]
- Bonan, G.B. Forests and climate change: Forcings, feedbacks, and the climate benefits of forests. Science 2008, 320, 1444–1449. [Google Scholar] [CrossRef] [PubMed] [Green Version]
- Seidl, R.; Thom, D.; Kautz, M.; Martin-Benito, D.; Peltoniemi, M.; Vacchiano, G.; Wild, J.; Ascoli, D.; Petr, M.; Honkaniemi, J. Forest disturbances under climate change. Nat. Clim. Change 2017, 7, 395–402. [Google Scholar] [CrossRef] [Green Version]
- Randerson, J.T.; Liu, H.; Flanner, M.G.; Chambers, S.D.; Jin, Y.; Hess, P.G.; Pfister, G.; Mack, M.C.; Treseder, K.K.; Welp, L.R. The impact of boreal forest fire on climate warming. Science 2006, 314, 1130–1132. [Google Scholar] [CrossRef] [PubMed] [Green Version]
- Dintwe, K.; Okin, G.S.; Xue, Y. Fire-induced albedo change and surface radiative forcing in sub-Saharan Africa savanna ecosystems: Implications for the energy balance. J. Geophys. Res. Atmos. 2017, 122, 6186–6201. [Google Scholar] [CrossRef] [Green Version]
- O’Halloran, T.L.; Law, B.E.; Goulden, M.L.; Wang, Z.; Barr, J.G.; Schaaf, C.; Brown, M.; Fuentes, J.D.; Göckede, M.; Black, A. Radiative forcing of natural forest disturbances. Glob. Change Biol. 2012, 18, 555–565. [Google Scholar] [CrossRef] [Green Version]













| Data | Temporal Resolution | Spatial Resolution |
|---|---|---|
| Fire Radiative Power-Pixel product | 15 min | SEVIRI, about 5 km over Bulgaria |
| Land Surface Temperature (LST) | 15 min | SEVIRI, about 5 km over Bulgaria |
| Temperature difference between LST and air temperature at 2 m (LST-T2m) | 0900 and 1200 UTC | NIMH synoptic station network |
| Soil Moisture Availability Index (SMAI) | Daily, 0600 UTC | NIMH synoptic station network |
| Monthly Accumulated (2007–2018) Fire Characteristics | June | July | August | September |
|---|---|---|---|---|
| Shrubs LC, FirePixelDetections | 232 | 3572 | 2819 | 1429 |
| DFI (MW/pixel) | 72.63 | 99.78 | 101.28 | 85.66 |
| Forest LC, FirePixelDetections | 137 | 1795 | 1306 | 486 |
| DFI (MW/pixel) | 35.06 | 72.97 | 96.05 | 76.29 |
| Cultivated LC Detections | 130 | 2533 | 1928 | 1441 |
| DFI (MW/pixel) | 69.82 | 98.10 | 107.18 | 83.42 |
| Ratio between DFI for Different LC Types | June | July | August | September |
|---|---|---|---|---|
| DFI Forest/DFI Shrubs | 0.48 | 0.73 | 0.95 | 0.89 |
| DFI Cultivated/DFI Shrubs | 0.96 | 0.98 | 1.06 | 1.06 |
| Fire Characteristics vs. Biophysical Indexes | Month | Forest | Shrubs | Cultivated | All LC Types |
|---|---|---|---|---|---|
| Total FRP (MW) vs. LST 0900 UTC | July | 0.772 | 0.593 | 0.683 | 0.773 |
| August | 0.407 | 0.481 | 0.564 | 0.540 | |
| September | 0.436 | 0.432 | 0.609 | 0.671 | |
| Total FRP (MW) vs. LST anomaly 0900 UTC | July | 0.779 | 0.554 | 0.660 | 0.668 |
| August | 0.739 | 0.501 | 0.598 | 0.627 | |
| September | 0.611 | 0.584 | 0.678 | 0.682 | |
| Total FRP(MW) vs. SMA 100 soil depth | July | 0.874 | 0.569 | 0.669 | 0.695 |
| August | 0.457 | 0.494 | 0.599 | 0.569 | |
| Total FRP (MW) vs. SMA 50 soil depth | July | 0.884 | 0.523 | 0.713 | 0.690 |
| August | 0.512 | 0.444 | 0.524 | 0.546 | |
| Total FRP (MW) vs. SMA 20 soil depth | July | 0.715 | 0.423 | 0.665 | 0.607 |
Publisher’s Note: MDPI stays neutral with regard to jurisdictional claims in published maps and institutional affiliations. |
© 2022 by the authors. Licensee MDPI, Basel, Switzerland. This article is an open access article distributed under the terms and conditions of the Creative Commons Attribution (CC BY) license (https://creativecommons.org/licenses/by/4.0/).
Share and Cite
Stoyanova, J.S.; Georgiev, C.G.; Neytchev, P.N. Satellite Observations of Fire Activity in Relation to Biophysical Forcing Effect of Land Surface Temperature in Mediterranean Climate. Remote Sens. 2022, 14, 1747. https://doi.org/10.3390/rs14071747
Stoyanova JS, Georgiev CG, Neytchev PN. Satellite Observations of Fire Activity in Relation to Biophysical Forcing Effect of Land Surface Temperature in Mediterranean Climate. Remote Sensing. 2022; 14(7):1747. https://doi.org/10.3390/rs14071747
Chicago/Turabian StyleStoyanova, Julia S., Christo G. Georgiev, and Plamen N. Neytchev. 2022. "Satellite Observations of Fire Activity in Relation to Biophysical Forcing Effect of Land Surface Temperature in Mediterranean Climate" Remote Sensing 14, no. 7: 1747. https://doi.org/10.3390/rs14071747
APA StyleStoyanova, J. S., Georgiev, C. G., & Neytchev, P. N. (2022). Satellite Observations of Fire Activity in Relation to Biophysical Forcing Effect of Land Surface Temperature in Mediterranean Climate. Remote Sensing, 14(7), 1747. https://doi.org/10.3390/rs14071747
