A W-Band Active Phased Array Miniaturized Scan-SAR with High Resolution on Multi-Rotor UAVs
Abstract
1. Introduction
2. W-Band SAR System Scheme
2.1. Active Phased Array Mini-SAR Architecture
2.2. System Performance
3. Key Technologies of the APA Mini-SAR
3.1. Integration Strategy
3.2. LFM Signal Generator Based on Analog Pll
3.3. Active Phased Array Antennas
3.4. Motion Compensation Method
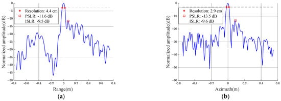
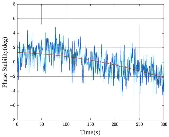
4. Results Discussion
5. Conclusions
Author Contributions
Funding
Data Availability Statement
Acknowledgments
Conflicts of Interest
References
- Rosen, P.A.; Hensley, S.; Wheeler, K.; Sadowy, G.; Miller, T.; Shaffer, S.; Muellerschoen, R.; Jone, C.; Zebker, H.; Madsen, S. UAVSAR: A new NASA airborne SAR system for science and technology research. In Proceedings of the 2006 IEEE Conference on Radar, Verona, NY, USA, 24–27 April 2006. [Google Scholar] [CrossRef]
- Zhang, X.; Shao, Z.; Ren, J.; Li, Y.; Jiang, J. Development and preliminary results of small-size UAV-borne FMCW SAR. In Proceedings of the 2018 IEEE International Geoscience and Remote Sensing Symposium (IGARSS), Valencia, Spain, 23–27 July 2011. [Google Scholar] [CrossRef]
- Yan, J.; Guo, J.; Lu, Q.; Wang, K.; Liu, X. X-band mini SAR radar on eight-rotor mini-UAV. In Proceedings of the 2016 IEEE International Geoscience and Remote Sensing Symposium (IGARSS), Beijing, China, 10–15 July 2011. [Google Scholar] [CrossRef]
- Wang, Y.; Liu, C.; Zhan, X.; Han, S. Technology and applications of UAV synthetic aperture radar system. J. Electron. Inf. Technol. 2016, 5, 333–349. [Google Scholar] [CrossRef]
- Lort, M.; Aguasca, A.; López-Martínez, C.T.; Marín, M. Initial evaluation of SAR capabilities in UAV multicopter platforms. IEEE J. Sel. Top. Appl. Earth Obs. Remote Sens. 2018, 11, 127–140. [Google Scholar] [CrossRef]
- Evearerts, J. The use of Unmanned Aerial Vehicles (UAVs) for remote sensing and mapping. Int. Arch. Photogramm. Remote Sens. Spat. Inf. Sci. 2008, 37, 1187–1192. [Google Scholar]
- Li, W.; Chen, X.; Li, G.; Bi, Y. Construction of Yunnan’s agricultural ecological civilization based on intelligent UAV and SAR image analysis. In Proceedings of the 2022 4th International Conference on Smart Systems and Inventive Technology (ICSSIT), Tirunelveli, India, 20–22 January 2022. [Google Scholar] [CrossRef]
- Dill, S.; Schreiber, E.; Engel, M.; Heinzel, A.; Peichl, M. A drone carried multichannel Synthetic Aperture Radar for advanced buried object detection. In Proceedings of the 2019 IEEE Radar Conference (RadarConf), Boston, MA, USA, 22–26 April 2019. [Google Scholar] [CrossRef]
- Caris, M.; Stanko, S.; Palm, S.; Sommer, R.; Pohl, N. Synthetic aperture radar at millimeter wavelength for UAV surveillance applications. In Proceedings of the 2015 IEEE 1st International Forum on Research and Technologies for Society and Industry Leveraging a better tomorrow (RTSI), Turin, Italy, 16–18 September 2015. [Google Scholar] [CrossRef]
- Ding, M.; Ding, C.; Tang, L.; Wang, X.; Qu, J.; Wu, R. A W-band 3-D integrated mini-SAR system with high imaging resolution on UAV platform. IEEE Access 2020, 8, 113601–113609. [Google Scholar] [CrossRef]
- Bekar, A.; Antoniou, M.; Baker, J.C. Low-cost, high-resolution, drone-borne SAR imaging. IEEE Trans. Geosci. Remote Sens. 2022, 60, 1–11. [Google Scholar] [CrossRef]
- Edrich, M.; Weiss, G. Second-generation Ka-Band UAV SAR system. In Proceedings of the 2008 European Radar Conference, Amsterdam, The Netherlands, 27–31 October 2008. [Google Scholar] [CrossRef]
- Edrich, M. Design overview and flight test results of the miniaturised SAR sensor MISAR. In Proceedings of the 2004 First European Radar Conference, Amsterdam, The Netherlands, 11–15 October 2004. [Google Scholar]
- Wang, R.; Deng, Y.; Wang, P. Recent progress of airborne X-band SAR with two-dimensional digital beamforming. In Proceedings of the EUSAR 2016: 11th European Conference on Synthetic Aperture Radar, Hamburg, Germany, 5 September 2016. [Google Scholar]
- Nan, Y.; Huang, X.; Guo, Y. Generalized continuous wave synthetic aperture radar for high resolution and wide swath remote sensing. IEEE Trans. Geosci. Remote Sens. 2018, 56, 7217–7229. [Google Scholar] [CrossRef]
- Hees, A.; Stangl, M.; Adamiuk, G.; Riegger, S.; Heer, C. Status and future trends of active phased array antennas for AIRBUS space-borne SAR systems. In Proceedings of the 2019 IEEE International Symposium on Phased Array System & Technology (PAST), Waltham, MA, USA, 15–18 October 2019. [Google Scholar] [CrossRef]
- Zhou, Y.; Wang, W.; Chen, Z.; Zhao, Q.; Zhang, H.; Deng, Y.; Wang, R. High-resolution and wide-swath SAR imaging mode using frequency diverse planar array. IEEE Geosci. Remote Sens. Lett. 2021, 18, 321–325. [Google Scholar] [CrossRef]
- Krieger, G.; Gebert, N.; Younis, M.; Moreira, A. Advanced synthetic aperture radar based on digital beamforming and waveform diversity. In Proceedings of the 2008 IEEE Radar Conference, Rome, Italy, 26–30 May 2008. [Google Scholar] [CrossRef]
- AlShaya, M.; Yaghoobi, M.; Mulgrew, B. Ultrahigh resolution wide swath MIMO-SAR. IEEE J. Sel. Top. Appl. Earth Obs. Remote Sens. 2020, 13, 5358–5368. [Google Scholar] [CrossRef]
- Zhang, X.; Yang, C.; Zhang, X.; Lin, Q. Multi-channel SAR system design for HRWS and GMTI in low PRF. IEEE Access 2020, 8, 40939–40954. [Google Scholar] [CrossRef]
- Hees, A.; Stangl, M.; Schwämmlein, T.; Rathke, A. X-band phased array antenna frontends for next generation SAR instruments. In Proceedings of the 2019 IEEE International Symposium on Phased Array System & Technology (PAST), Waltham, MA, USA, 15–18 October 2019. [Google Scholar] [CrossRef]
- Buckreuss, S.; Balzer, W.; Mühlbauer, P.; Werninghaus, R.; Pitz, W. The terraSAR-X satellite project. In Proceedings of the 2003 IEEE International Geoscience and Remote Sensing Symposium, Toulouse, France, 21–25 July 2003. [Google Scholar] [CrossRef]
- Herd, J.S.; Conway, M.D. The evolution to modern phased array architectures. Proc. IEEE 2016, 104, 519–529. [Google Scholar] [CrossRef]
- Brautigam, B.; Schwerdt, M.; Bachmann, M. An efficient method for performance monitoring of active phased array antennas. IEEE Trans. Geosci. Remote Sens. 2009, 47, 1236–1243. [Google Scholar] [CrossRef]
- Jankiraman, M. FMCW Radar Design; Artech House: London, UK, 2018. [Google Scholar]
- Möhring, B.; Moroder, C.; Siart, U.; Eibert, T. Broadband, Fast, and Linear Chirp Generation Based on DDS for FMCW Radar Applications. In Proceedings of the 2019 IEEE Radar Conference, Boston, MA, USA, 22–26 April 2019. [Google Scholar] [CrossRef]
- Rubio-Cidre, G.; Badolato, A.; Úbeda-Medina, L.; Grajal, J.; Mencia-Oliva, B.; Dorta-Naranjo, B. DDS-Based Signal-Generation Architecture Comparison for an Imaging Radar at 300 GHz. IEEE Trans. Instrum. Meas. 2015, 64, 3085–3098. [Google Scholar] [CrossRef]
- Afroz, S.; Koh, K.J. 90° hybrid-coupler based phase-interpolation phase-shifter for phased-array applications at W-band and beyond. In Proceedings of the 2016 IEEE MTT-S International Microwave Symposium (IMS), San Francisco, CA, USA, 22–27 May 2016. [Google Scholar] [CrossRef]
- Lee, H.; Min, B. W-band CMOS 4-bit phase shifter for high power and phase compression points. IEEE Trans. Circuits Syst. II Express Briefs 2015, 62, 1–5. [Google Scholar] [CrossRef]
- Zhao, Z. New progress of the micro system three-dimensional integration technology. Micronanoelectron. Technol. 2017, 54, 1–10. (In Chinese) [Google Scholar]
- Li, Y.; Goyal, D. 3D Microelectronic Packaging: From Fundamentals to Applications; Springer Publishing Company: Berlin, Germany, 2017. [Google Scholar]
- Hao, J.; Xiang, W. 3D Heterogeneous integration for micro-system and its application. Electron. Process Tech. 2018, 39, 317–321. [Google Scholar]
- Romano, A.; Sonnenberg, T.; Verploegh, S.; Barton, T.; Popovic, Z. A W-Band GaN MMIC Continuous 90° Reflective Phase Shifter. In Proceedings of the 2022 IEEE 22nd Annual Wireless and Microwave Technology Conference, Clearwater Beach, FL, USA, 27–28 April 2022. [Google Scholar] [CrossRef]
- Sharp, E. A triangular arrangement of planar-array elements that reduces the number needed. IRE Trans. Antennas Propag. 1961, 9, 126–129. [Google Scholar] [CrossRef]
- Xing, W.; Qu, S.; Yang, S. A Wideband Phased Antenna Array Based on Tapered Cavities in Triangular Lattice Arrangement. In Proceedings of the 2018 IEEE International Conference on Computational Electromagnetics, Chengdu, China, 13–15 April 2018. [Google Scholar] [CrossRef]
- Xu, W.; Wang, B.; Xiang, M.; Wang, S.; Yin, J. A novel motion compensation approach based on symmetric triangle wave interferometry for UAV SAR imagery. IEEE Access 2020, 8, 104996–105007. [Google Scholar] [CrossRef]
- Xu, W.; Wang, B.; Xiang, M.; Song, C.; Wang, Z. A novel autofocus framework for UAV SAR imagery: Motion error extraction from symmetric triangular FMCW differential signal. IEEE Trans. Geosci. Remote Sens. 2022, 60, 1–15. [Google Scholar] [CrossRef]
- Zaugg, E.; Edwards, M.; Long, D.; Stringham, C. Developments in compact high-performance synthetic aperture radar systems for use on small Unmanned Aircraft. In Proceedings of the 2011 Aerospace Conference, Big Sky, MT, USA, 5–12 March 2011. [Google Scholar] [CrossRef]
- van der Graaf, M.W.; Otten, M.P.G.; Huizing, A.G.; Tan, R.G.; Cuenca, M.C.; Ruizenaar, M.G.A. AMBER: An X-band FMCW digital beam forming synthetic aperture radar for a tactical UAV. In Proceedings of the 2013 IEEE International Symposium on Phased Array Systems and Technology, Waltham, MA, USA, 15–18 October 2013; pp. 165–170. [Google Scholar]
- Essen, H.; Bräutigam, M.; Sommer, R.; Wahlen, A.; Johannes, W.; Wilcke, J.; Schlechtweg, M.; Tessmann, A. SUMATRA, a W-band SAR for UAV application. In Proceedings of the 2009 International Radar Conference, Bordeaux, France, 12–16 October 2019. [Google Scholar]
- Essen, H.; Johannes, W.; Stanko, S.; Sommer, R.; Wahlen, A.; Wilcke, J. High resolution W-band UAV SAR. In Proceedings of the 2012 IEEE International Geoscience and Remote Sensing Symposium, Munich, Germany, 22–27 July 2012. [Google Scholar] [CrossRef]

















| Parameter | Value |
|---|---|
| Center frequency | 95 GHz |
| Signal bandwidth | 4000 MHz |
| Waveform | LFM |
| Max imaging range | 1000 m |
| Downward look angle | 30° |
| Scanning angle | ±15° |
| Antenna beams | >100 elevation beams |
| Slant range resolution | 3.75 cm |
| Azimuth resolution | 2.5 cm |
| Weight | 0.6 kg |
| Volume | 69 × 82 × 87 mm3 |
| Items | Measured Values | |
|---|---|---|
| Resolution (cm) | Rang | 4.4 |
| Azimuth | 2.9 | |
| PSLR (dB) | Rang | −11.6 |
| Azimuth | −13.5 | |
| ISLR (dB) | Rang | −9.5 |
| Azimuth | −9.6 |
Publisher’s Note: MDPI stays neutral with regard to jurisdictional claims in published maps and institutional affiliations. |
© 2022 by the authors. Licensee MDPI, Basel, Switzerland. This article is an open access article distributed under the terms and conditions of the Creative Commons Attribution (CC BY) license (https://creativecommons.org/licenses/by/4.0/).
Share and Cite
Ding, M.; Wang, X.; Tang, L.; Qu, J.; Wang, Y.; Zhou, L.; Wang, B. A W-Band Active Phased Array Miniaturized Scan-SAR with High Resolution on Multi-Rotor UAVs. Remote Sens. 2022, 14, 5840. https://doi.org/10.3390/rs14225840
Ding M, Wang X, Tang L, Qu J, Wang Y, Zhou L, Wang B. A W-Band Active Phased Array Miniaturized Scan-SAR with High Resolution on Multi-Rotor UAVs. Remote Sensing. 2022; 14(22):5840. https://doi.org/10.3390/rs14225840
Chicago/Turabian StyleDing, Manlai, Xuemei Wang, Li Tang, Jiameng Qu, Yinshen Wang, Liangjiang Zhou, and Bingnan Wang. 2022. "A W-Band Active Phased Array Miniaturized Scan-SAR with High Resolution on Multi-Rotor UAVs" Remote Sensing 14, no. 22: 5840. https://doi.org/10.3390/rs14225840
APA StyleDing, M., Wang, X., Tang, L., Qu, J., Wang, Y., Zhou, L., & Wang, B. (2022). A W-Band Active Phased Array Miniaturized Scan-SAR with High Resolution on Multi-Rotor UAVs. Remote Sensing, 14(22), 5840. https://doi.org/10.3390/rs14225840

