Impact of Tides and Surges on Fluvial Floods in Coastal Regions
Abstract
1. Introduction
2. Methods and Data
2.1. Study Domain
2.2. River Routing Model
2.3. Surge Model
2.4. Model Coupling and Typhoon Events
2.5. Model Scenarios
3. Results
3.1. Effects of Wind and Typhoon on Coastal Water Elevation
3.2. Flow Regimes in Rivers
3.2.1. Differences in Water Level
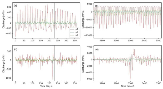
3.2.2. River Discharge
3.3. Rating Curve (Discharge–Stage Curve)
3.4. Flood Depth Variation Pattern and Inundation Area
3.5. Summary of the Comparison during Typhoon
4. Discussion
5. Conclusions
Author Contributions
Funding
Data Availability Statement
Acknowledgments
Conflicts of Interest
References
- Tanoue, M.; Hirabayashi, Y.; Ikeuchi, H. Global-scale river flood vulnerability in the last 50 years. Sci. Rep. 2016, 6, 36021. [Google Scholar] [CrossRef] [PubMed]
- Vitousek, S.; Barnard, P.L.; Fletcher, C.H.; Frazer, N.; Erikson, L.; Storlazzi, C.D. Doubling of coastal flooding frequency within decades due to sea-level rise. Sci. Rep. 2017, 7, 1399. [Google Scholar] [CrossRef]
- Woodruff, J.D.; Irish, J.L.; Camargo, S.J. Coastal flooding by tropical cyclones and sea-level rise. Nature 2013, 504, 44–52. [Google Scholar] [CrossRef] [PubMed]
- Kettner, A.J.; Brakenridge, G.R.; Schumann, G.J.; Shen, X. DFO—Flood Observatory. In Earth Observation for Flood Applications; Elsevier Ltd.: Amsterdam, The Netherlands, 2021. [Google Scholar]
- Bermudez, M.; Farfan, J.F.; Willems, P.; Cea, L. Assessing the effects of climate change on compound flooding in coastal river areas. Water Resour. Res. 2021, 57, e2020WR029321. [Google Scholar] [CrossRef]
- Gori, A.; Lin, N.; Xi, D. Tropical cyclone compound flood hazard assessment: From investigating drivers to quantifying extreme water levels. Earth’s Future 2020, 8, e2020EF001660. [Google Scholar] [CrossRef]
- Valle-Levinson, A.; Olabarrieta, M.; Heilman, L. Compound flooding in Houston-Galveston Bay during Hurricane Harvey. Sci. Total Environ. 2020, 747, 141272. [Google Scholar] [CrossRef]
- Cheung, K.F.; Phadke, A.C.; Wei, Y.; Rojas, R.; Douyere, Y.J.M.; Martino, C.D.; Houston, S.H.; Liu, P.L.F.; Lynett, P.J.; Dodd, N.; et al. Modeling of storm-induced coastal flooding for emergency management. Ocean Eng. 2003, 30, 1353–1386. [Google Scholar] [CrossRef]
- Didier, D.; Bandet, M.; Bernatchez, P.; Dumont, D. Modelling Coastal Flood Propagation under Sea Level Rise: A Case Study in Maria, Eastern Canada. Geosciences 2019, 9, 76. [Google Scholar] [CrossRef]
- Hsiao, S.; Chiang, W.; Jang, J.; Wu, H.; Lu, W.; Chen, W.; Wu, Y. Flood risk influenced by the compound effect of storm surge and rainfall under climate change for low-lying coastal areas. Sci. Total Environ. 2021, 764, 144439. [Google Scholar] [CrossRef]
- Tellman, B.; Sullivan, J.A.; Kuhn, C.; Kettner, A.J.; Doyle, C.S.; Brakenridge, G.R.; Erickson, T.A.; Slayback, D.A. Satellite imaging reveals increased proportion of population exposed to floods. Nature 2021, 596, 80–86. [Google Scholar] [CrossRef]
- Cao, W.; Zhou, Y.; Guneralp, B.; Li, X.; Zhao, K.; Zhang, H. Increasing global urban exposure to flooding: An analysis of long-term annual dynamics. Sci. Total Environ. 2022, 817, 153012. [Google Scholar] [CrossRef] [PubMed]
- Feng, D.; Tan, Z.; Engwirda, D.; Liao, C.; Xu, D.; Bisht, G.; Zhou, T.; Li, H.-Y.; Leung, L.R. Investigating coastal backwater effects and flooding in the coastal zone using a global river transport model on an unstructured mesh. Hydrol. Earth Syst. Sci. 2022, 26, 5473–5491. [Google Scholar] [CrossRef]
- Sampurno, J.; Vallaeys, V.; Ardianto, R.; Hanert, E. Modeling interactions between tides, storm surges, and river discharges in the Kapuas River delta. Biogeosciences 2022, 19, 2741–2757. [Google Scholar] [CrossRef]
- Yang, J.; Yan, F.; Chen, M. Effects of sea level rise on storm surges in the south Yellow Sea: A case study of Typhoon Muifa. Cont. Shelf Res. 2021, 215, 104346. [Google Scholar] [CrossRef]
- Hasan Tanim, A.; Goharian, E. Developing a hybrid modeling and multivariate analysis framework for storm surge and runoff interactions in urban coastal flooding. J. Hydrol. 2021, 595, 125670. [Google Scholar] [CrossRef]
- Ikeuchi, H.; Hirabayashi, Y.; Yamazaki, D.; Muis, S.; Ward, P.J.; Winsemius, H.C.; Verlaan, M.; Kanae, S. Compound simulation of fluvial floods and storm surges in a global coupled river-coast flood model: Model development and its application to 2007 Cyclone Sidr in Bangladesh. J. Adv. Model. Earth Syst. 2017, 9, 1847–1862. [Google Scholar] [CrossRef]
- Wilson, M.; Bates, P.; Forsberg, B.; Horritt, M.; Melack, J.; Frappart, F.; Famiglietti, J. Modeling large-scale inundation of Amazonian seasonally flooded wetlands. Geophys. Res. Lett. 2007, 34, L15404. [Google Scholar] [CrossRef]
- Yamazaki, D.; Kanae, S.; Kim, H.; Oki, T. A physically based description of floodplain inundation dynamics in a global river routing model. Water Resour. Res. 2011, 47, W4501. [Google Scholar] [CrossRef]
- Yamazaki, D.; Lee, H.; Alsdorf, D.E.; Dutra, E.; Kim, H.; Kanae, S.; Oki, T. Analysis of the water level dynamics simulated by a global river model A case study in the Amazon River. Water Resour. Res. 2012, 48, W9508. [Google Scholar] [CrossRef]
- Ikeuchi, H.; Hirabayashi, Y.; Yamazaki, D.; Kiguchi, M.; Koirala, S.; Nagano, T.; Kotera, A.; Kanae, S. Modeling complex flow dynamics of fluvial floods exacerbated by sea level rise in the Ganges-Brahmaputra-Meghna Delta. Environ. Res. Lett. 2015, 10, 124011. [Google Scholar] [CrossRef]
- Kernkamp, H.W.J.; Van Dam, A.; Stelling, G.S.; De Goede, E.D. Efficient scheme for the shallow water equations on unstructured grids with application to the Continental Shelf. Ocean Dynam. 2011, 61, 1175–1188. [Google Scholar] [CrossRef]
- Eilander, D.; Couasnon, A.; Ikeuchi, H.; Muis, S.; Yamazaki, D.; Winsemius, H.C.; Ward, P.J. The effect of surge on riverine flood hazard and impact in deltas globally. Environ. Res. Lett. 2020, 15, 104007. [Google Scholar] [CrossRef]
- Eilander, D.; Couasnon, A.; Leijnse, T.; Ikeuchi, H.; Yamazaki, D.; Muis, S.; Winsemius, H.C.; Ward, P.J. A globally-applicable framework for compound flood hazard modeling. EGUsphere 2022, 1–40. [Google Scholar] [CrossRef]
- Li, L.; Li, Z.; He, Z.; Yu, Z.; Ren, Y. Investigation of Storm Tides Induced by Super Typhoon in Macro-Tidal Hangzhou Bay. Front. Mar. Sci. 2022, 9, 890285. [Google Scholar] [CrossRef]
- Du, M.; Hou, Y.; Qi, P.; Wang, K. The impact of different historical typhoon tracks on storm surge: A case study of Zhejiang, China. J. Marine Syst. 2020, 206, 103318. [Google Scholar] [CrossRef]
- Lu, Y.; Ren, F.; Zhu, W. Risk zoning of typhoon disasters in Zhejiang Province, China. Nat. Hazard. Earth Sys. 2018, 18, 2921–2932. [Google Scholar] [CrossRef]
- Bates, P.D.; De Roo, A.P.J. A simple raster-based model for flood inundation simulation. J. Hydrol. 2000, 236, 54–77. [Google Scholar] [CrossRef]
- Yamazaki, D.; O’Loughlin, F.; Trigg, M.A.; Miller, Z.F.; Pavelsky, T.M.; Bates, P.D. Development of the Global Width Database for Large Rivers. Water Resour. Res. 2014, 50, 3467–3480. [Google Scholar] [CrossRef]
- Carroll, M.L.; Townshend, J.R.; DiMiceli, C.M.; Noojipady, P.; Sohlberg, R.A. A new global raster water mask at 250 m resolution. Int. J. Digit. Earth 2009, 2, 291–308. [Google Scholar] [CrossRef]
- Carabajal, C.C.; Harding, D.J. ICESat validation of SRTM C-band digital elevation models. Geophys. Res. Lett. 2005, 32, L22S01. [Google Scholar] [CrossRef]
- Hansen, M.C.; Potapov, P.V.; Moore, R.; Hancher, M.; Turubanova, S.A.; Tyukavina, A.; Thau, D.; Stehman, S.V.; Goetz, S.J.; Loveland, T.R.; et al. High-resolution global maps of 21st-century forest cover change. Science 2013, 342, 850–853. [Google Scholar] [CrossRef] [PubMed]
- Simard, M.; Pinto, N.; Fisher, J.B.; Baccini, A. Mapping forest canopy height globally with spaceborne lidar. J. Geophys. Res. Biogeo. 2011, 116, G04021. [Google Scholar] [CrossRef]
- Yamazaki, D.; Ikeshima, D.; Tawatari, R.; Yamaguchi, T.; O’Loughlin, F.; Neal, J.C.; Sampson, C.C.; Kanae, S.; Bates, P.D. A high-accuracy map of global terrain elevations. Geophys. Res. Lett. 2017, 44, 5844–5853. [Google Scholar] [CrossRef]
- Hersbach, H.; Bell, B.; Berrisford, P.; Hirahara, S.; Horányi, A.; Muñoz Sabater, J.; Nicolas, J.; Peubey, C.; Radu, R.; Schepers, D.; et al. The ERA5 global reanalysis. Q. J. Roy. Meteor. Soc. 2020, 146, 1999–2049. [Google Scholar] [CrossRef]
- Liang, H.; Chen, W.; Liu, W.; Cai, T.; Wang, X.; Xia, X. Effects of Sea Level Rise on Tidal Dynamics in Macrotidal Hangzhou Bay. J. Mar. Sci. Eng. 2022, 10, 964. [Google Scholar] [CrossRef]
- Zhou, C.; Chen, P.; Yang, S.; Zheng, F.; Yu, H.; Tang, J.; Lu, Y.; Chen, G.; Lu, X.; Zhang, X.; et al. The impact of Typhoon Lekima (2019) on East China: A postevent survey in Wenzhou City and Taizhou City. Front. Earth Sci. 2022, 16, 109–120. [Google Scholar] [CrossRef]
- Muis, S.; Verlaan, M.; Winsemius, H.C.; Aerts, J.C.J.H.; Ward, P.J. A global reanalysis of storm surges and extreme sea levels. Nat. Commun. 2016, 7, 11969. [Google Scholar] [CrossRef]
- Hoitink, A.J.F.; Jay, D.A. Tidal river dynamics; implications for deltas. Rev. Geophys. 2016, 54, 240–272. [Google Scholar] [CrossRef]
- Spicer, P.; Huguenard, K.; Ross, L.; Rickard, L.N. High-frequency tide-surge-river interaction in estuaries; causes and implications for coastal flooding. J. Geophys. Res. Ocean. 2019, 124, 9517–9530. [Google Scholar] [CrossRef]
- Bates, P.D.; Quinn, N.; Sampson, C.; Smith, A.; Wing, O.; Sosa, J.; Savage, J.; Olcese, G.; Neal, J.; Schumann, G.; et al. Combined Modeling of US Fluvial, Pluvial, and Coastal Flood Hazard Under Current and Future Climates. Water Resour. Res. 2021, 57, e2020WR028673. [Google Scholar] [CrossRef]
- Trigg, M.A.; Birch, C.E.; Neal, J.C.; Bates, P.D.; Smith, A.; Sampson, C.C.; Yamazaki, D.; Hirabayashi, Y.; Pappenberger, F.; Dutra, E.; et al. The credibility challenge for global fluvial flood risk analysis. Environ. Res. Lett. 2016, 11, 94014. [Google Scholar] [CrossRef]











| River/Analysis Point | Qiantang River/p0 | Jiaojiang River/p1 | Oujiang River/p2 |
|---|---|---|---|
| Catchment (km2) | 60,000 | 6519 | 17,985 |
| Length (km) | 386 | 198 | 388 |
| Annual discharge (m3/s) | 952 | 110 | 470 |
| Estuary/Analysis Point | Qiantang Estuary/P0 | Jiaojiang Estuary/P1 | Oujiang Estuary/P2 |
| Shape of the estuary | Funnel shape | Funnel shape | Bifurcation shape |
| S0 | S1 | S1-S0 | S2 | S2-S1 | ||
|---|---|---|---|---|---|---|
| Riverine water level (m) | p0 | 0.80 | 2.34 | 2.09 | 2.48 | 1.45 |
| p1 | 2.14 | 2.40 | 0.70 | 2.45 | 0.56 | |
| p2 | 2.26 | 2.68 | 0.75 | 2.72 | 0.36 | |
| River discharge (m3/s) | p0 | 2861.8 | 2701.4 | 570.3 | 2821.6 | 743.4 |
| p1 | 1692.8 | 1695.5 | 94.0 | 1709.8 | 240.4 | |
| p2 | 3128.8 | 3167.3 | 195.3 | 3170.8 | 255.2 | |
| Inundation area (km2) | p0 | 724.9 | 746.4 | 551.6 | 781.3 | 590.4 |
| p1 | 63.8 | 63.8 | 13.7 | 63.8 | 14.1 | |
| p2 | 378.8 | 378.8 | 165.5 | 378.8 | 57.7 |
Publisher’s Note: MDPI stays neutral with regard to jurisdictional claims in published maps and institutional affiliations. |
© 2022 by the authors. Licensee MDPI, Basel, Switzerland. This article is an open access article distributed under the terms and conditions of the Creative Commons Attribution (CC BY) license (https://creativecommons.org/licenses/by/4.0/).
Share and Cite
Liang, H.; Zhou, X. Impact of Tides and Surges on Fluvial Floods in Coastal Regions. Remote Sens. 2022, 14, 5779. https://doi.org/10.3390/rs14225779
Liang H, Zhou X. Impact of Tides and Surges on Fluvial Floods in Coastal Regions. Remote Sensing. 2022; 14(22):5779. https://doi.org/10.3390/rs14225779
Chicago/Turabian StyleLiang, Huidi, and Xudong Zhou. 2022. "Impact of Tides and Surges on Fluvial Floods in Coastal Regions" Remote Sensing 14, no. 22: 5779. https://doi.org/10.3390/rs14225779
APA StyleLiang, H., & Zhou, X. (2022). Impact of Tides and Surges on Fluvial Floods in Coastal Regions. Remote Sensing, 14(22), 5779. https://doi.org/10.3390/rs14225779
