On the Scale Effect of Relationship Identification between Land Surface Temperature and 3D Landscape Pattern: The Application of Random Forest
Abstract
:1. Introduction
2. Materials and Methods
2.1. Study Area
2.2. Data and Preprocessing
2.3. Method
2.3.1. Land Surface Temperature Retrieval
2.3.2. Landscape Metrics
2.3.3. Pearson Correlation Coefficient
2.3.4. Multiple Linear Regression
2.3.5. Random Forest Regression
2.3.6. Coefficient of Rectangle Variation
3. Results
3.1. LST Distribution in the Second and the Fourth Ring Road of Beijing
3.2. Pearson Correlation Coefficient between Landscape Metrics and LST
3.2.1. Pearson Correlation Coefficient between Landscape Metrics and LST at 10 m Grain Size
3.2.2. Pearson Correlation Coefficient between Landscape Metrics and LST at 30 m Grain Size
3.3. Multiple Linear Regression between Landscape Metrics and LST
3.3.1. Multiple Linear Regression between Landscape Metrics and LST at 10 m Grain Size
3.3.2. Multiple Linear Regression between Landscape Metrics and LST at 30 m Grain Size
3.4. Random Forest Regression between Landscape Metrics and LST
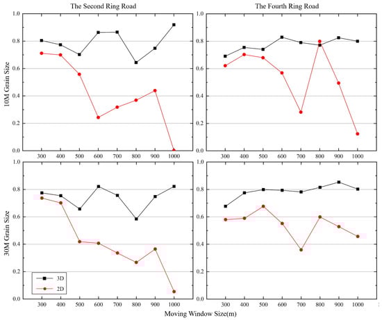
3.5. The CORV of 3D Landscape Metrics
3.5.1. The CORV of 3D Landscape Metrics at 10 m Grain Size
3.5.2. The CORV of 3D Landscape Metrics at 30 m Grain Size
4. Discussion
4.1. Multi-Scale Relationship between 3D Landscape Pattern and LST in the Fourth Ring Road of Beijing
4.2. Advantages and Limitations
5. Conclusions
Author Contributions
Funding
Institutional Review Board Statement
Informed Consent Statement
Conflicts of Interest
References
- Wang, S.; Hu, M.; Wang, Y.; Xia, B. Dynamics of ecosystem services in response to urbanization across temporal and spatial scales in a mega metropolitan area. Sustain. Cities Soc. 2022, 77, 103561. [Google Scholar] [CrossRef]
- Zhao, L.; Lee, X.; Smith, R.B.; Oleson, K. Strong contributions of local background climate to urban heat islands. Nature 2014, 511, 216–219. [Google Scholar] [CrossRef] [PubMed]
- Rongbo, X.; Zhiyun, O.; Weifeng, L.; Zhaoming, Z.; Gregory, T.J.; Xiaoke, W.; Hong, M. A review of the eco-environmental consequences of urban heat islands. Acta Ecol. Sin. 2005, 25, 2055–2060. [Google Scholar]
- Akbari, H.; Konopacki, S. Calculating energy-saving potentials of heat-island reduction strategies. Energy Policy 2005, 33, 721–756. [Google Scholar] [CrossRef]
- Oke, T.R. Boundary Layer Climates. Earth Sci. Rev. 1987, 27, 265. [Google Scholar]
- Wang, H.; Zhang, Y.; Tsou, J.; Li, Y. Surface Urban Heat Island Analysis of Shanghai (China) Based on the Change of Land Use and Land Cover. Sustainability 2017, 9, 1538. [Google Scholar] [CrossRef] [Green Version]
- Ng, E.; Chen, L.; Wang, Y.; Yuan, C. A study on the cooling effects of greening in a high-density city: An experience from Hong Kong. Build. Environ. 2012, 47, 256–271. [Google Scholar] [CrossRef]
- Figuerola, P.I.; Mazzeo, N.S.A. Urnan-nural temperature differences in Buenos Aires. Int. J. Climatol. 1998, 18, 1709–1723. [Google Scholar] [CrossRef]
- Tan, J.; Zheng, Y.; Tang, X.; Guo, C.; Li, L.; Song, G.; Zhen, X.; Yuan, D.; Kalkstein, A.J.; Li, F. The urban heat island and its impact on heat waves and human health in Shanghai. Int. J. Biometeorol. 2010, 54, 75–84. [Google Scholar] [CrossRef] [PubMed]
- Guo, A.; Yang, J.; Xiao, X.; Xia, J.; Jin, C.; Li, X. Influences of urban spatial form on urban heat island effects at the community level in China. Sustain. Cities Soc. 2020, 53, 101972. [Google Scholar] [CrossRef]
- Patz, J.A.; Campbell-Lendrum, D.; Holloway, T.; Foley, J.A. Impact of regional climate change on human health. Nature 2005, 438, 310–317. [Google Scholar] [CrossRef]
- Sun, L.; Chen, J.; Li, Q.; Huang, D. Dramatic uneven urbanization of large cities throughout the world in recent decades. Nat. Commun. 2020, 11, 5366. [Google Scholar] [CrossRef]
- Liu, X.; Zhou, Y.; Yue, W.; Li, X.; Liu, Y.; Lu, D. Spatiotemporal patterns of summer urban heat island in Beijing, China using an improved land surface temperature. J. Clean. Prod. 2020, 257, 120529. [Google Scholar] [CrossRef]
- Zhao, W.; Gong, H.; Zhao, W.; Tang, T. Spatial Distribution of Urban IP Pollution and CCA Analysis between IP and Meteorological Factors: A Case Study in Beijing. Geogr. Geo-Inf. Sci. 2009, 25, 71–74. [Google Scholar]
- He, X.; Wang, J.; Feng, J.; Yan, Z.; Miao, S.; Zhang, Y.; Xia, J. Observational and modeling study of interactions between urban heat island and heatwave in Beijing. J. Clean. Prod. 2020, 247, 119169. [Google Scholar] [CrossRef]
- Cui, Y.; Yan, D.; Hong, T.; Ma, J. Temporal and spatial characteristics of the urban heat island in Beijing and the impact on building design and energy performance. Energy 2017, 130, 286–297. [Google Scholar] [CrossRef] [Green Version]
- Ye, Y.; Qiu, H. Using urban landscape pattern to understand and evaluate infectious disease risk. Urban For. Urban Green. 2021, 62, 127126. [Google Scholar] [CrossRef] [PubMed]
- Tian, Y.; Zhou, W.; Qian, Y.; Zheng, Z.; Yan, J. The effect of urban 2D and 3D morphology on air temperature in residential neighborhoods. Landsc. Ecol. 2019, 34, 1161–1178. [Google Scholar] [CrossRef]
- Forman, R.T.T.; Godron-Wiley, M. Landscape ecology. Landsc. Arch. 1989, 79, 103–104. [Google Scholar] [CrossRef]
- Song, J.; Du, S.; Feng, X.; Guo, L. The relationships between landscape compositions and land surface temperature: Quantifying their resolution sensitivity with spatial regression models. Landsc. Urban Plan. 2014, 123, 145–157. [Google Scholar] [CrossRef]
- Chen, Z.; Xu, B.; Devereux, B. Urban landscape pattern analysis based on 3D landscape models. Appl. Geogr. 2014, 55, 82–91. [Google Scholar] [CrossRef]
- Bourbia, F.; Boucheriba, F. Impact of street design on urban microclimate for semi arid climate (Constantine). Renew. Energy 2010, 35, 343–347. [Google Scholar] [CrossRef]
- Brring, L.; Mattsson, J.O.; Lindqvist, S. Canyon geometry, street temperatures and urban heat island in Malmö, Sweden. J. Climatol. 1985, 5, 433–444. [Google Scholar] [CrossRef]
- Lengsfeld, M.; Kaminsky, J.; Merz, B.; Franke, R.P.; Eliasson, I. Urban nocturnal temperatures, street geometry and land use. Atmos. Environ. 1996, 30, 379–392. [Google Scholar]
- Oke, T.R. Canyon geometry and the nocturnal urban heat island: Compariso of scale model and field observations. J. Climatol. 1981, 1, 237–254. [Google Scholar] [CrossRef]
- Chun, B.; Guldmann, J.M. Spatial statistical analysis and simulation of the urban heat island in high-density central cities. Landsc. Urban Plan. 2014, 125, 76–88. [Google Scholar] [CrossRef]
- Wu, J.; Shen, W.; Sun, W.; Tueller, P.T. Empirical patterns of the effects of changing scale on landscape metrics. Landsc. Ecol. 2002, 17, 761–782. [Google Scholar] [CrossRef]
- Wu, J. Landscape Ecology; Higher Education Press: Beijing, China, 2007; Volume 2. [Google Scholar]
- Yuan, S.; Xia, H.; Yang, L. How changing grain size affects the land surface temperature pattern in rapidly urbanizing area: A case study of the central urban districts of Hangzhou City, China. Environ. Sci. Pollut. Res. Int. 2021, 28, 40060–40074. [Google Scholar] [CrossRef] [PubMed]
- Yuan, F.; Bauer, M.E. Comparison of impervious surface area and normalized difference vegetation index as indicators of surface urban heat island effects in Landsat imagery. Remote Sens. Environ. 2007, 106, 375–386. [Google Scholar] [CrossRef]
- Hoffman, S. Vegetation as a climatic component in the design of an urban street: An empirical model for predicting the cooling effect of urban green areas with trees. Energy Build. 2000, 31, 221–235. [Google Scholar]
- Huang, X.; Wang, Y. Investigating the effects of 3D urban morphology on the surface urban heat island effect in urban functional zones by using high-resolution remote sensing data: A case study of Wuhan, Central China. ISPRS J. Photogramm. Remote Sens. 2019, 152, 119–131. [Google Scholar] [CrossRef]
- Gage, E.A.; Cooper, D.J. Relationships between landscape pattern metrics, vertical structure and surface urban Heat Island formation in a Colorado suburb. Urban Ecosyst. 2017, 20, 1229–1238. [Google Scholar] [CrossRef]
- Lai, S.; Zhao, Y.; Fan, Y.; Ge, J. Characteristics of daytime land surface temperature in wind corridor: A case study of a hot summer and warm winter city. J. Build. Eng. 2021, 44, 103370. [Google Scholar] [CrossRef]
- Guo, F.; Wu, Q.; Schlink, U. 3D building configuration as the driver of diurnal and nocturnal land surface temperatures: Application in Beijing’s old city. Build. Environ. 2021, 206, 108354. [Google Scholar] [CrossRef]
- Breiman, L. Bagging Predictors. Mach. Learn. 1996, 24, 123–140. [Google Scholar] [CrossRef] [Green Version]
- Yu, S.; Chen, Z.; Yu, B.; Wang, L.; Wu, B.; Wu, J.; Zhao, F. Exploring the relationship between 2D/3D landscape pattern and land surface temperature based on explainable eXtreme Gradient Boosting tree: A case study of Shanghai, China. Sci. Total Environ. 2020, 725, 138229. [Google Scholar] [CrossRef]
- Pais, C.; Miranda, A.; Carrasco, J.; Shen, Z.-J.M. Deep fire topology: Understanding the role of landscape spatial patterns in wildfire occurrence using artificial intelligence. Environ. Model. Softw. 2021, 143, 105122. [Google Scholar] [CrossRef]
- Lin, J.; Lu, S.; He, X.; Wang, F. Analyzing the impact of three-dimensional building structure on CO2 emissions based on random forest regression. Energy 2021, 236, 121502. [Google Scholar] [CrossRef]
- Dai, T.; Qu, Z.; Shi, F. Infrastructure stock in the process of urbanization in Beijing. Alex. Eng. J. 2021, 61, 3277–3291. [Google Scholar] [CrossRef]
- Peng, J.; Xie, P.; Liu, Y.; Jing, M. Urban thermal environment dynamics and associated landscape pattern factors: A case study in the Beijing metropolitan region. Remote Sens. Environ. 2016, 173, 145–155. [Google Scholar] [CrossRef]
- Qin, Z.; Karnieli, A.; Berliner, P. A mono-window algorithm for retrieving land surface temperature from Landsat TM data and its application to the Israel-Egypt border region. Int. J. Remote Sens. 2010, 22, 3719–3746. [Google Scholar] [CrossRef]
- Qin, Z.; Dall’Olmo, G.; Karnieli, A.; Berliner, P. Derivation of split window algorithm and its sensitivity analysis for retrieving land surface temperature from NOAA-advanced very high resolution radiometer data. J. Geophys. Res. Atmos. 2001, 106, 22655–22670. [Google Scholar] [CrossRef]
- Hanqiu, X. Retrieval of the reflectance and land surface temperature of the newly—Launched Landsat 8 satellite. Chin. J. Geophys. 2015, 58, 7. [Google Scholar]
- Liu, L.; Zhang, Y. Urban Heat Island Analysis Using the Landsat TM Data and ASTER Data: A Case Study in Hong Kong. Remote Sens. 2011, 3, 1535–1552. [Google Scholar] [CrossRef] [Green Version]
- Han, Y.; Wang, J.-l.; Li, P. Influences of landscape pattern evolution on regional crop water requirements in regions of large-scale agricultural operations. J. Clean. Prod. 2021, 327, 129499. [Google Scholar] [CrossRef]
- Li, K.; Li, C.; Liu, M.; Hu, Y.; Wang, H.; Wu, W. Multiscale analysis of the effects of urban green infrastructure landscape patterns on PM2.5 concentrations in an area of rapid urbanization. J. Clean. Prod. 2021, 325, 129324. [Google Scholar] [CrossRef]
- Wu, Q.; Guo, F.; Li, H.; Kang, J. Measuring landscape pattern in three dimensional space. Landsc. Urban Plan. 2017, 167, 49–59. [Google Scholar] [CrossRef]
- Li, J.; Zhou, K.; Xie, B.; Xiao, J. Impact of landscape pattern change on water-related ecosystem services: Comprehensive analysis based on heterogeneity perspective. Ecol. Indic. 2021, 133, 108372. [Google Scholar] [CrossRef]
- Wu, Q.; Tan, J.; Guo, F.; Li, H.; Chen, S. Multi-Scale Relationship between Land Surface Temperature and Landscape Pattern Based on Wavelet Coherence: The Case of Metropolitan Beijing, China. Remote Sens. 2019, 11, 3021. [Google Scholar] [CrossRef] [Green Version]
- Mukaka, M.M. Statistics Corner: A guide to appropriate use of Correlation coefficient in medical research. Malawi Med. J. 2012, 24, 69–71. [Google Scholar] [PubMed]
- Lian, J.; Garner, G.; Muessig, D.; Lang, V. A simple method to quantify the morphological similarity between signals. Signal Process. 2010, 90, 684–688. [Google Scholar] [CrossRef]
- Mccullagh, P. Generalized linear models. Eur. J. Oper. Res. 1989, 16, 285–292. [Google Scholar] [CrossRef]
- Breiman, L. Random forest. Mach. Learn. 2001, 45, 5–32. [Google Scholar] [CrossRef] [Green Version]
- Zhu, L.; Zhou, X.; Zhang, C. Rapid identification of high-quality marine shale gas reservoirs based on the oversampling method and random forest algorithm. Artif. Intell. Geosci. 2021, 2, 76–81. [Google Scholar] [CrossRef]
- Xie, Y.; Li, X.; Ngai, E.W.T.; Ying, W. Customer churn prediction using improved balanced random forests. Expert Syst. Appl. 2009, 36, 5445–5449. [Google Scholar] [CrossRef]
- Torre-Tojal, L.; Bastarrika, A.; Boyano, A.; Lopez-Guede, J.M.; Graña, M. Above-ground Biomass Estimation from LiDAR data using Random Forest algorithms. J. Comput. Sci. 2021, 101517. [Google Scholar] [CrossRef]
- Asadi, S.; Roshan, S.; Kattan, M.W. Random forest swarm optimization-based for heart diseases diagnosis. J. Biomed. Inf. 2021, 115, 103690. [Google Scholar] [CrossRef]
- Cho, A. High density biomass estimation for wetland vegetation using WorldView-2 imagery and random forest regression algorithm. Int. J. Appl. Earth Obs. Geoinf. 2012, 18, 399–406. [Google Scholar]
- Hutengs, C.; Vohland, M. Downscaling land surface temperatures at regional scales with random forest regression. Remote Sens. Environ. 2016, 178, 127–141. [Google Scholar] [CrossRef]
- Dongke, L.; Shengyan, D.; Guofu, L.; Qinghe, Z.; Qian, T.; Linghua, K. Landscape heterogeneity of mountainous and hilly area in the western Henan Province based on moving window method. Acta Ecol. Sin. 2014, 34, 3414–3424. [Google Scholar]
- Whittaker, R.H. Vegetation of the Siskiyou Mountains Oregon and California. Ecol. Monogr. Ecol. Monogr. 1960, 30, 279–338. [Google Scholar] [CrossRef]
- Kröger, R.; Khomo, L.M.; Levick, S.; Rogers, K.H. Moving window analysis and riparian boundary delineation on the Northern Plains of Kruger National Park, South Africa. Acta Oecol. 2009, 35, 573–580. [Google Scholar] [CrossRef]
- Logan, T.M.; Zaitchik, B.; Guikema, S.; Nisbet, A. Night and day: The influence and relative importance of urban characteristics on remotely sensed land surface temperature. Remote Sens. Environ. 2020, 247, 111861. [Google Scholar] [CrossRef]
- Zhang, N.; Zhang, J.; Chen, W.; Su, J. Block-based variations in the impact of characteristics of urban functional zones on the urban heat island effect: A case study of Beijing. Sustain. Cities Soc. 2022, 76, 103529. [Google Scholar] [CrossRef]
- Jenerette, G.D.; Harlan, S.L.; Brazel, A.; Jones, N.; Larsen, L.; Stefanov, W.L. Regional relationships between surface temperature, vegetation, and human settlement in a rapidly urbanizing ecosystem. Landsc. Ecol. 2007, 22, 353–365. [Google Scholar] [CrossRef]
- Li, J.; Song, C.; Cao, L.; Zhu, F.; Meng, X.; Wu, J. Impacts of landscape structure on surface urban heat islands: A case study of Shanghai, China. Remote Sens. Environ. 2011, 115, 3249–3263. [Google Scholar] [CrossRef]
- Grimmond, S. Urbanization and global environmental change: Local effects of urban warming. Geogr. J. 2007, 173, 83–88. [Google Scholar] [CrossRef]














| Metrics | Index Calculation Formula | Description |
|---|---|---|
| Component Metrics | ||
| Largest Patch Index (%) | is the 2D/3D area of patch , is the total 2D/3D area of a rectangle. LPI measures the proportion of the largest patch in a rectangle. | |
| Edge Density (m/ha) | is the total 2D/3D length of all patches’ edges. ED measures the total side length of all patches divided by the 2D/3D area of a rectangle. | |
| Number of Patches | NP measures the total number of patches in a rectangle. | |
| Patches Cohesion Index | is the 2D/3D perimeter of patch , is the 2D/3D surface area of patch . COHESION measures the aggregation and dispersion of patches in a rectangle. | |
| Effective Mesh Size (ha) | MESH measures the sum of squares of patch area divided by the total rectangle area. | |
| Configuration Metrics | ||
| Landscape Shape Index | represents the 3D area and is the projected plane area of . is the total 3D edge length of all patches. | |
| Landscape Division Index | DIVISION measures the degree of division of a rectangle. DIVISION equals 0 when the landscape consists of single patch. DIVISION achieves its maximum value (1) when the landscape is maximally subdivided. | |
| Euclidean Nearest-Neighbor Distance (m) | is the 2D/3D closest distance between the same patch , and represents the total number of class . ENN-MN measures the distance to the nearest neighboring patch of the same type. | |
| Shannon’s Diversity Index | equals the 2D/3D area of class , divided by the area of 2D/3D surface. SHDI measures the diversity of a rectangle. | |
| Shannon’s Evenness Index | equals the 2D/3D area of class , divided by the area of 2D/3D surface. SHEI measures the evenness of a rectangle. | |
| Roughness Metrics | ||
| Root Mean Square Deviation of a Surface | is the pixel height of class , is the total number of pixels in a rectangle, is the mean height of all pixels. SQ measures the degree to the building deviates from the plane of a rectangle. | |
| Skewness of Surface Height Distribution | SKU measures the skewness of the buildings in a rectangle. | |
| Mean Height (m) | is the sum of all pixels in a rectangle. MEAN is the mean height of a rectangle. | |
| Maximum Height (m) | MAX is the maximum height of a rectangle. | |
| Sky View Factor | stands for the number of directions used to estimate the vertical elevation angle of the relief horizon. The vertical elevation angle can be computed from the horizontal distance and the elevation difference between the horizon and the vantage point. SVF measures the sky visibility. | |
Publisher’s Note: MDPI stays neutral with regard to jurisdictional claims in published maps and institutional affiliations. |
© 2022 by the authors. Licensee MDPI, Basel, Switzerland. This article is an open access article distributed under the terms and conditions of the Creative Commons Attribution (CC BY) license (https://creativecommons.org/licenses/by/4.0/).
Share and Cite
Wu, Q.; Li, Z.; Yang, C.; Li, H.; Gong, L.; Guo, F. On the Scale Effect of Relationship Identification between Land Surface Temperature and 3D Landscape Pattern: The Application of Random Forest. Remote Sens. 2022, 14, 279. https://doi.org/10.3390/rs14020279
Wu Q, Li Z, Yang C, Li H, Gong L, Guo F. On the Scale Effect of Relationship Identification between Land Surface Temperature and 3D Landscape Pattern: The Application of Random Forest. Remote Sensing. 2022; 14(2):279. https://doi.org/10.3390/rs14020279
Chicago/Turabian StyleWu, Qiong, Zhaoyi Li, Changbao Yang, Hongqing Li, Liwei Gong, and Fengxiang Guo. 2022. "On the Scale Effect of Relationship Identification between Land Surface Temperature and 3D Landscape Pattern: The Application of Random Forest" Remote Sensing 14, no. 2: 279. https://doi.org/10.3390/rs14020279
APA StyleWu, Q., Li, Z., Yang, C., Li, H., Gong, L., & Guo, F. (2022). On the Scale Effect of Relationship Identification between Land Surface Temperature and 3D Landscape Pattern: The Application of Random Forest. Remote Sensing, 14(2), 279. https://doi.org/10.3390/rs14020279

