Evaluation of the Influence of Field Conditions on Aerial Multispectral Images and Vegetation Indices
Abstract
:1. Introduction
2. Materials and Methods
2.1. Custom-Built Unmanned Aerial Vehicle (UAV)
2.2. Multispectral Camera
2.3. Research Fields
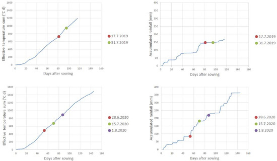
2.4. Field Measurements
2.5. Weather Condition Measurements and Data
2.6. Vegetation Indices
2.7. Image Data Processing
2.8. Variation in Vegetation Indices
3. Results
3.1. Comparison of Vegetation Indices
3.2. Orthomosaic Maps
3.3. Solar Radiation
3.4. Influence of the Crop on the Vegetation Indices
4. Discussion
5. Conclusions
Author Contributions
Funding
Data Availability Statement
Acknowledgments
Conflicts of Interest
Appendix A
| Flight Day | 1. Flight | 2. Flight | 3. Flight | 4. Flight |
|---|---|---|---|---|
| 17.7.2019 | 8:00–8:15 | 11:45–12:00 | 15:51–16:06 | 19:40–19:55 |
| 31.7.2019 | 7:50–8:05 | 11:56–12:11 | 15:35–15:50 | 19:31–19:46 |
| 28.6.2020 | 8:06–8:31 | 12:12–12:34 | 15:56–16:17 | 19:47–20:10 |
| 15.7.2020 | 7:45–8:05 | 11:52–12:14 | 15:45–16:06 | 19:33–19:53 |
| 1.8.2020 | 7:45–8:08 | 11:57–12:17 | 15:36–15:57 | 19:22–19:42 |
Appendix B
| Date | Time | Solar Declination (Degrees) | Solar Azimuth (Degrees) | Solar Elevation (Degrees) | Solar Zenith Angle (Degrees) | |
|---|---|---|---|---|---|---|
| 17.7.2019 | 8 | 21.24 | 86.24 | 22.54 | 67.46 | |
| 12 | 21.21 | 144.22 | 47.14 | 42.86 | ||
| 16 | 21.18 | 229.35 | 43.42 | 46.58 | ||
| 20 | 21.15 | 283.79 | 16.62 | 73.38 | ||
| 31.7.2019 | 8 | 18.33 | 85.68 | 18.81 | 71.19 | |
| 12 | 18.29 | 148.92 | 45.07 | 44.93 | ||
| 16 | 18.25 | 223 | 42.17 | 47.83 | ||
| 20 | 18.21 | 280.27 | 15.22 | 74.78 | ||
| 28.6.2020 | 8 | 23.25 | 86.95 | 25.33 | 64.67 | |
| 12 | 23.24 | 153.47 | 51 | 39.00 | ||
| 16 | 23.23 | 232.81 | 44.54 | 45.46 | ||
| 20 | 23.22 | 286.92 | 17.22 | 72.78 | ||
| 15.7.2020 | 8 | 21.44 | 82.96 | 20.88 | 69.12 | |
| 12 | 21.42 | 146.46 | 47.84 | 42.16 | ||
| 16 | 21.39 | 227.73 | 44.16 | 45.84 | ||
| 20 | 21.36 | 282.47 | 17.62 | 72.38 | ||
| 1.8.2020 | 8 | 17.89 | 84.87 | 17.83 | 72.17 | |
| 12 | 17.85 | 149.45 | 44.72 | 45.28 | ||
| 16 | 17.81 | 223.13 | 41.67 | 48.33 | ||
| 20 | 17.77 | 278.16 | 15.93 | 74.07 | ||
References
- Kim, J.; Kim, S.; Ju, C.; Son, H.I. Unmanned Aerial Vehicles in Agriculture: A Review of Perspective of Platform, Control, and Applications. IEEE Access 2019, 7, 105100–105115. [Google Scholar] [CrossRef]
- Deng, L.; Mao, Z.; Li, X.; Hu, Z.; Duan, F.; Yana, Y. UAV-based multispectral remote sensing for precision agriculture: A comparison between different cameras. ISPRS J. Photogramm. Remote Sens. 2018, 146, 124–136. [Google Scholar] [CrossRef]
- Shendryk, Y.; Sofonia, J.; Garrard, R.; Rist, Y.; Skocaj, D.; Thorburn, P. Fine-scale prediction of biomass and leaf nitrogen content in sugarcane using UAV LiDAR and multispectral imaging. Int. J. Appl. Earth Obs. Geoinf. 2020, 92, 102177. [Google Scholar] [CrossRef]
- Xu, X.; Fan, L.; Li, Z.; Meng, Y.; Feng, H.; Yang, H.; Xu, B. Estimating Leaf Nitrogen Content in Corn Based on Information Fusion of Multiple-Sensor Imagery from UAV. Remote Sens. 2021, 13, 340. [Google Scholar] [CrossRef]
- Xie, T.; Li, J.; Yang, C.; Jiang, Z.; Chen, Y.; Guo, L.; Zhang, J. Crop height estimation based on UAV images: Methods, errors, and strategies. Comput. Electron. Agric. 2021, 185, 106155. [Google Scholar] [CrossRef]
- Kerkech, M.; Hafiane, A.; Canals, R. Vine disease detection in UAV multispectral images using optimized image registration and deep learning segmentation approach. Comput. Electron. Agric. 2020, 174, 105446. [Google Scholar] [CrossRef]
- Hassan, M.A.; Yang, M.; Rasheed, A.; Yang, G.; Reynolds, M.; Xia, X.; Xiao, Y.; He, Z. A rapid monitoring of NDVI across the wheat growth cycle for grain yield prediction using a multi-spectral UAV platform. Plant Sci. 2019, 282, 95–103. [Google Scholar] [CrossRef]
- Qi, H.; Wu, Z.; Zhang, L.; Li, J.; Zhou, J.; Jun, Z.; Zhu, B. Monitoring of peanut leaves chlorophyll content based on drone-based multispectral image feature extraction. Comput. Electron. Agric. 2021, 187, 106292. [Google Scholar] [CrossRef]
- Mazzia, V.; Comba, L.; Khaliq, A.; Chiaberge, M.; Gay, P. UAV and Machine Learning Based Refinement of a Satellite-Driven Vegetation Index for Precision Agriculture. Sensors 2020, 20, 2530. [Google Scholar] [CrossRef] [PubMed]
- Qian, W.; Huang, Y.; Liu, Q.; Fan, W.; Sun, Z.; Dong, H.; Wan, F.; Qiao, X. UAV and a deep convolutional neural network for monitoring invasive alien plants in the wild. Comput. Electron. Agric. 2020, 174, 105519. [Google Scholar] [CrossRef]
- Cao, Y.; Li, G.L.; Luo, Y.K.; Pan, Q.; Zhang, S.Y. Monitoring of sugar beet growth indicators using wide-dynamic-range vegetation index (WDRVI) derived from UAV multispectral images. Comput. Electron. Agric. 2020, 171, 105331. [Google Scholar] [CrossRef]
- Kaufman, Y.; Tanre, D. Atmospherically resistant vegetation index (ARVI) for EOS-MODIS. IEEE Trans. Geosci. Remote Sens. 1992, 30, 261–270. [Google Scholar] [CrossRef]
- Huete, A.; Justice, C.; Liu, H. Development of vegetation and soil indices for MODIS-EOS. Remote Sens. Environ. 1994, 49, 224–234. [Google Scholar] [CrossRef]
- Fitzgeralda, G.; Rodriguezb, D.; O’Learya, G. Measuring and predicting canopy nitrogen nutrition in wheat using a spectral index—The canopy chlorophyll content index (CCCI). Field Crops Res. 2010, 116, 318–324. [Google Scholar] [CrossRef]
- Guo, Y.; Senthilnath, J.; Wu, W.; Zhang, X.; Zeng, Z.; Huang, H. Radiometric Calibration for Multispectral Camera of Different Imaging Conditions Mounted on a UAV Platform. Sustainability 2019, 11, 978. [Google Scholar] [CrossRef]
- Näsi, R.; Viljanen, N.; Kaivosoja, J.; Alhonoja, K.; Hakala, T.; Markelin, L.; Honka-vaara, E. Estimating Biomass and Nitrogen Amount of Barley and Grass Using UAV and Aircraft Based Spectral and Photogrammetric 3D Features. Remote Sens. 2018, 10, 1082. [Google Scholar] [CrossRef]
- Viljanen, N.; Honkavaara, E.; Näsi, R.; Hakala, T.; Niemeläinen, O.; Kaivosoja, J. Novel Machine Learning Method for Estimating Biomass of Grass Swards Using a Photogrammetric Canopy Height Model, Images and Vegetation Indices Captured by a Drone. Agriculture 2018, 8, 70. [Google Scholar] [CrossRef]
- Wu, C.; Niu, Z.; Tang, Q.; Huang, W. Estimating chlorophyll content from hyperspectral vegetation indices: Modeling and validation. Agric. For. Meteorol. 2008, 148, 1230–1241. [Google Scholar] [CrossRef]
- Rouse, J.W.; Haas, R.H.; Schell, J.A.; Deering, D.W. Monitoring Vegetation Systems in the Great Plains with ERTS. In Third ERTS-1 Symposium; NASA SP-351: Washington, DC, USA, 1974; pp. 309–317. [Google Scholar]
- Carlson, T.; Ripley, D.A. On the relation between NDVI, fractional vegetation cover, and leaf area index. Remote Sens. Environ. 1997, 62, 241–252. [Google Scholar] [CrossRef]
- Suab, S.A.; Syukur, M.S.B.; Avtar, R.; Korom, A. Unmanned aerial vehicle (uav) derived normalised difference vegetation index (ndvi) and crown projection area (cpa) to detect health conditions of young oil palm trees for precision agriculture. In Proceedings of the 6th International Conference on Geomatics and Geospatial Technology (GGT 2019), Kuala Lumpur, Malaysia, 1–3 October 2019. [Google Scholar]
- Lu, J.; Cheng, D.; Geng, C.; Zhang, Z.; Xiang, Y.; Hu, T. Combining plant height, canopy coverage and vegetation index from UAV-based RGB images to estimate leaf nitrogen concentration of summer maize. Biosyst. Eng. 2021, 202, 42–54. [Google Scholar] [CrossRef]
- Maimaitijiang, M.; Sagana, V.; Sidikea, P.; Hartling, S.; Esposito, F.; Fritschid, F. Soybean yield prediction from UAV using multimodal data fusion and deep learning. Remote Sens. Environ. 2020, 237, 111599. [Google Scholar] [CrossRef]
- Noguera, M.; Aquino, A.; Ponce, J.M.; Cordeiro, A.; Silvestre, J.; Arias-Calderon, R.; Marcelo, M.; Jordao, P.; Andujar, J.M. Nutritional status assessment of olive crops by means of the analysis and modelling of multispectral images taken with UAVs. Biosyst. Eng. 2021, 211, 1–18. [Google Scholar] [CrossRef]
- Zadoks, J.C.; Chang, T.T.; Konzak, C.F. A decimal code for the growth stages of cereals. Weed Res. 1974, 14, 415–421. [Google Scholar] [CrossRef]
- Finnish Meteorological Institute. Precipitation Amount and Air Temperature. Available online: https://en.ilmatieteenlaitos.fi/download-observations (accessed on 1 October 2021).
- Richardson, A.J.; Wiegand, C.L. Distinguishing vegetation from soil background information. Photogramm. Eng. Remote Sens. 1977, 43, 1541–1552. [Google Scholar]
- Woebbecke, D.M.; Meyer, G.E.; Von Bargen, K.; Mortensen, D.A. Color Indices for Weed Identification Under Various Soil, Residue, and Lighting Conditions. Trans. ASAE 1995, 38, 259–269. [Google Scholar] [CrossRef]
- Pinty, B.; Verstraete, M.M. GEMI: A non-linear index to monitor global vegetation from satellites. Vegetatio 1992, 101, 15–20. [Google Scholar] [CrossRef]
- Gitelson, A.; Merzlyak, M. Quantitative estimation of chlorophyll a using reflectance spectra: Experiments with autumn chestnut and maple leaves. J. Photochem. Photobioliology B Biol. 1994, 22, 247–252. [Google Scholar] [CrossRef]
- Tucker, C. Red and photographic infrared linear combinations formonitoring vegetation. Remote Sens. Environ. 1979, 8, 127–150. [Google Scholar] [CrossRef]
- Dash, J.; Curran, P. The MERIS terrestrial chlorophyll index. Int. J. Remote Sens. 2004, 25, 5403–5413. [Google Scholar] [CrossRef]
- Qi, J.; Chehbouni, A.; Huete, A.; Kerr, Y.; Sorooshian, S. A modified soil adjusted vegetation index. Remote Sens. Environ. 1994, 48, 119–126. [Google Scholar] [CrossRef]
- Rondeaux, G.; Steven, M.; Baret, F. Optimization of soil-adjusted vegetation indices. Remote Sens. Environ. 1996, 55, 95–107. [Google Scholar] [CrossRef]
- Bendig, J.; Yu, K.; Aasen, H.; Bolten, A.; Bennertz, S.; Broscheit, J.; Gnyp, M.; Bareth, G. Combining UAV-based plant height from crop surface models, visible and near infrared vegetation indices for biomass monitoring in barley. Int. J. Appl. Earth Obs. Geoinf. 2015, 39, 79–87. [Google Scholar] [CrossRef]
- Escadafal, R.; Huete, A.R. Étude des propriétés spectrales des sols arides appliquée à l’amélioration des indices de végétation obtenus par télédétection. CR Acad. Sci. 1991, 312, 1385–1391. [Google Scholar]
- Pearson, R.L.; Miller, L.D. Remote mapping of standing crop biomass for estimation of the productivity of the shortgrass prairie, Pawnee National Grasslands, Colorado. In Proceedings of the 8th International Symposium on Remote Sensing of the Environment II, Ann Arbor, MI, USA, 2–6 October 1972; pp. 1355–1379. [Google Scholar]
- Rouse, J.W.; Haas, R.H.; Schell, J.A.; Deering, D.W.; Harlan, J.C. Monitoring the Vernal Advancement and Retrogradation (Greenwave Effect) of Natural Vegetation; Report RSC 1978-4; Texas A&M University, Remote Sensing Center: College Station, TX, USA, 1974. [Google Scholar]
- Marino, S.; Alvino, A. Vegetation Indices Data Clustering for Dynamic Monitoring and Classification of Wheat Yield Crop Traits. Remote Sens. 2021, 13, 541. [Google Scholar] [CrossRef]
- Candiago, S.; Remondino, F.; De Giglio, M.; Dubbini, M.; Gattelli, M. Evaluating Multispectral Images and Vegetation Indices for Precision Farming Applications from UAV Images. Remote Sens. 2015, 7, 4026–4047. [Google Scholar] [CrossRef]
- Zhang, F.; Zhou, G. Estimation of vegetation water content using hyperspectral vegetation indices: A comparison of crop water indicators in response to water stress treatments for summer maize. BMC Ecol. 2019, 19, 18. [Google Scholar] [CrossRef]
- Weidong, L.; Bareta, F.; Xingfaa, G.; Qingxib, T.; Lanfenb, Z.; Bingb, Z. Relating soil surface moisture to reflectance. Remote Sens. Environ. 2002, 81, 238–246. [Google Scholar] [CrossRef]
- Yeom, J.; Jung, J.; Chang, A.; Ashapure, A.; Maeda, M.; Maeda, A.; Landivar, J. Comparison of Vegetation Indices Derived from UAV Data for Differentiation of Tillage Effects in Agriculture. Remote Sens. 2019, 11, 1548. [Google Scholar] [CrossRef]
- Hashimoto, N.; Saito, Y.; Maki, M.; Homma, K. Simulation of Reflectance and Vegetation Indices for Unmanned Aerial Vehicle (UAV) Monitoring of Paddy Fields. Remote Sens. 2019, 11, 2119. [Google Scholar] [CrossRef]
- Ishihara, M.; Inoue, Y.; Ono, K.; Shimizu, M.; Matsuura, S. The Impact of Sunlight Conditions on the Consistency of Vegetation Indices in Croplands—Effective Usage of Vegetation Indices from Continuous Ground-Based Spectral Measurements. Remote Sens. 2015, 7, 14079–14098. [Google Scholar] [CrossRef]
- Li, W.; Jiang, J.; Weiss, M.; Madec, S.; Tison, F.; Philippe, B.; Comar, A.; Baret, F. Impact of the reproductive organs on crop BRDF as observed from a UAV. Remote Sens. Environ. 2021, 259, 112433. [Google Scholar] [CrossRef]











| Date | 17.7.2019 | 31.7.2019 | 28.6.2020 | 15.7.2020 | 1.8.2020 |
|---|---|---|---|---|---|
| Zadoks value | 83 | 87 | 69 | 83 | 86 |
| Index | Name | Equation | Source |
|---|---|---|---|
| DVI | Differenced vegetation index | [27] | |
| ExG | Excess green index | [28] | |
| GEMI | Global environment monitoring index | where | [29] |
| GNDVI | Green normalized difference vegetation index | [30] | |
| GRVI | Green–red vegetation index | [31] | |
| M-MTCI | Modified MERIS terrestrial chlorophyll index | [32] | |
| MSAVI2 | Modified soil adjusted vegetation index | [33] | |
| NDRE | Normalized difference red edge index | [14] | |
| NDVI | Normalized difference vegetation index | [19] | |
| OSAVI | Optimized soil adjusted vegetation index | [34] | |
| RGBVI | Red–green blue vegetation index | [35] | |
| RI | Redness index | [36] | |
| RVI | Ratio vegetation index | [37] | |
| TVI | Transformed vegetation index | [38] | |
| VIN | Vegetation index number | [37] |
| Date | 17.7.2019 | 31.7.2019 | 28.6.2020 | 15.7.2020 | 1.8.2020 | |
| Vegetation index | DVI | 0.235 | 0.365 | 0.322 | 0.296 | 0.411 |
| EXG | 0.213 | 0.534 | 0.346 | 0.353 | 0.318 | |
| GEMI | 0.108 | 0.205 | 0.149 | 0.179 | 0.209 | |
| GNDVI | 0.043 | 0.028 | 0.041 | 0.073 | 0.087 | |
| GRVI | 0.213 | −0.495 | 0.084 | 0.092 | −2.991 | |
| MSAVI2 | 0.178 | 0.311 | 0.188 | 0.239 | 0.313 | |
| M-MTCI | 0.082 | 0.134 | 0.107 | 0.161 | 0.167 | |
| NDRE | 0.059 | 0.085 | 0.045 | 0.074 | 0.101 | |
| NDVI | 0.038 | 0.045 | 0.015 | 0.015 | 0.038 | |
| OSAVI | 0.089 | 0.174 | 0.117 | 0.141 | 0.187 | |
| RGBVI | 0.066 | 0.488 | 0.045 | 0.039 | 0.076 | |
| RI | −0.213 | 0.495 | −0.084 | −0.092 | 2.991 | |
| RVI | 0.168 | 0.055 | 0.173 | 0.131 | 0.077 | |
| TVI | 0.012 | 0.011 | 0.005 | 0.005 | 0.010 | |
| VIN | 0.171 | 0.058 | 0.164 | 0.128 | 0.088 |
Publisher’s Note: MDPI stays neutral with regard to jurisdictional claims in published maps and institutional affiliations. |
© 2022 by the authors. Licensee MDPI, Basel, Switzerland. This article is an open access article distributed under the terms and conditions of the Creative Commons Attribution (CC BY) license (https://creativecommons.org/licenses/by/4.0/).
Share and Cite
Änäkkälä, M.; Lajunen, A.; Hakojärvi, M.; Alakukku, L. Evaluation of the Influence of Field Conditions on Aerial Multispectral Images and Vegetation Indices. Remote Sens. 2022, 14, 4792. https://doi.org/10.3390/rs14194792
Änäkkälä M, Lajunen A, Hakojärvi M, Alakukku L. Evaluation of the Influence of Field Conditions on Aerial Multispectral Images and Vegetation Indices. Remote Sensing. 2022; 14(19):4792. https://doi.org/10.3390/rs14194792
Chicago/Turabian StyleÄnäkkälä, Mikael, Antti Lajunen, Mikko Hakojärvi, and Laura Alakukku. 2022. "Evaluation of the Influence of Field Conditions on Aerial Multispectral Images and Vegetation Indices" Remote Sensing 14, no. 19: 4792. https://doi.org/10.3390/rs14194792
APA StyleÄnäkkälä, M., Lajunen, A., Hakojärvi, M., & Alakukku, L. (2022). Evaluation of the Influence of Field Conditions on Aerial Multispectral Images and Vegetation Indices. Remote Sensing, 14(19), 4792. https://doi.org/10.3390/rs14194792

