Controls on Alpine Lake Dynamics, Tien Shan, Central Asia
Abstract
1. Introduction
2. Study Area
3. Dataset and Material
3.1. Dataset
3.1.1. Satellite Data
3.1.2. Glacier and Lake Data
3.1.3. Climate Data
3.2. Methods
3.2.1. Lake Extraction
3.2.2. Identifying Different Lake Types
4. Results
4.1. Spatial Patterns in Lake Distribution in the TS
4.2. Spatiotemporal Changes in Alpine Lakes in the TS
4.2.1. Temporal Changes in Alpine Lake in the TS
4.2.2. Spatial Changes in Alpine Lakes in the TS
4.3. Variations in New and Extinct Glacial Lakes in the TS
5. Discussion
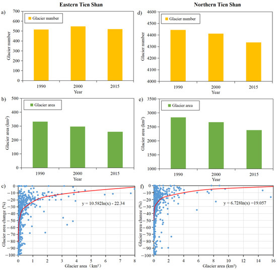
5.1. Driving Factors of Lake Change: Glacial Influences
5.2. Driving Factors of Lake Change: Climate
5.3. Driving Factors of Lake Change: Geomorphological Conditions
6. Conclusions
Supplementary Materials
Author Contributions
Funding
Data Availability Statement
Acknowledgments
Conflicts of Interest
References
- Zheng, G.X.; Bao, A.M.; Li, J.L.; Zhang, G.Q.; Xie, H.J.; Guo, H.; Jiang, L.L.; Chen, T.; Chang, C.; Chen, W.F. Sustained growth of high mountain lakes in the headwaters of the Syr Darya River, Central Asia. Global Planet. Change 2019, 176, 84–99. [Google Scholar] [CrossRef]
- Buckel, J.; Otto, J.C.; Prasicek, G.; Keuschnig, M. Glacial lakes in Austria—Distribution and formation since the Little Ice Age. Global Planet. Change 2018, 164, 39–51. [Google Scholar] [CrossRef]
- Zhang, G.Q.; Yao, T.D.; Piao, S.L.; Bolch, T.; Xie, H.J.; Chen, D.L.; Gao, Y.H.; O’Reilly, C.M.; Shum, C.K.; Yang, K.; et al. Extensive and drastically different alpine lake changes on Asia’s high plateaus during the past four decades. Geophys. Res. Lett. 2017, 44, 252–260. [Google Scholar] [CrossRef]
- Qiao, B.J.; Zhu, L.P. Difference and cause analysis of water storage changes for glacier-fed and non-glacier-fed lakes on the Tibetan Plateau. Sci. Total Environ. 2019, 693, 133399. [Google Scholar] [CrossRef]
- Chen, H.Y.; Chen, Y.N.; Li, W.H.; Li, Z. Quantifying the contributions of snow/glacier meltwater to river runoff in the Tianshan Mountains, Central Asia. Global Planet. Change 2019, 174, 47–57. [Google Scholar] [CrossRef]
- Luo, Y.; Wang, X.L.; Piao, S.L.; Sun, L.; Ciais, P.; Zhang, Y.Q.; Ma, C.K.; Gan, R.; He, C.S. Contrasting streamflow regimes induced by melting glaciers across the Tien Shan—Pamir—North Karakoram. Sci. Rep. 2018, 8, 16470. [Google Scholar] [CrossRef]
- Shen, Y.J.; Shen, Y.J.; Fink, M.; Kralisch, S.; Chen, Y.N.; Brenning, A. Trends and variability in streamflow and snowmelt runoff timing in the southern Tianshan Mountains. J. Hydrol. 2018, 557, 173–181. [Google Scholar] [CrossRef]
- Yang, X.; Pavelsky, T.M.; Allen, G.H. The past and future of global river ice. Nature 2020, 577, 69–73. [Google Scholar] [CrossRef]
- Song, C.Q.; Sheng, Y.W. Contrasting evolution patterns between glacier-fed and non-glacier-fed lakes in the Tanggula Mountains and climate cause analysis. Clim. Change 2016, 135, 493–507. [Google Scholar] [CrossRef]
- Zhang, G.Q.; Bolch, T.; Allen, S.; Linsbauer, A.; Chen, W.F.; Wang, W.C. Glacial lake evolution and glacier–lake interactions in the Poiqu River basin, central Himalaya, 1964–2017. J. Glaciol. 2019, 65, 347–365. [Google Scholar] [CrossRef]
- Shangguan, D.H.; Ding, Y.J.; Liu, S.Y.; Xie, Z.Y.; Pieczonka, T.; Xu, J.L.; Moldobekov, B. Quick release of internal water storage in a glacier leads to underestimation of the hazard potential of glacial lake outburst floods from ake Merzbacher in central Tian Shan Mountains. Geophys. Res. Lett. 2017, 44, 9786–9795. [Google Scholar] [CrossRef]
- Veh, G.; Korup, O.; Walz, A. Hazard from Himalayan glacier lake outburst floods. Proc. Natl. Acad. Sci. USA 2020, 117, 907–912. [Google Scholar] [CrossRef]
- Gardelle, J.; Arnaud, Y.; Berthier, E. Contrasted evolution of glacial lakes along the Hindu Kush Himalaya mountain range between 1990 and 2009. Global Planet. Change 2011, 75, 47–55. [Google Scholar] [CrossRef]
- Mergili, M.; Müller, J.P.; Schneider, J.F. Spatio-temporal development of high-mountain lakes in the headwaters of the Amu Darya River (Central Asia). Global Planet. Change 2013, 107, 13–24. [Google Scholar] [CrossRef]
- Kapitsa, V.; Shahgedanova, M.; Machguth, H.; Severskiy, I.; Medeu, A. Assessment of evolution and risks of glacier lake outbursts in the Djungarskiy Alatau, Central Asia, using Landsat imagery and glacier bed topography modelling. Nat. Hazard. Earth Sys. 2017, 17, 1837–1856. [Google Scholar] [CrossRef]
- Wang, X.; Liu, Q.H.; Liu, S.Y.; Wei, J.F.; Jiang, Z.L. Heterogeneity of glacial lake expansion and its contrasting signals with climate change in Tarim Basin, Central Asia. Environ. Earth Sci. 2016, 75, 696. [Google Scholar] [CrossRef]
- Song, C.Q.; Huang, B.; Richards, K.; Ke, L.H.; Hien, V.P. Accelerated lake expansion on the Tibetan Plateau in the 2000s: Induced by glacial melting or other processes? Water Resour. Res. 2014, 50, 3170–3186. [Google Scholar] [CrossRef]
- Lei, Y.; Yao, T.; Bird, B.W.; Yang, K.; Zhai, J.; Sheng, Y. Coherent lake growth on the central Tibetan Plateau since the 1970s: Characterization and attribution. J. Hydrol. 2013, 483, 61–67. [Google Scholar] [CrossRef]
- Petrov, M.A.; Sabitov, T.Y.; Tomashevskaya, I.G.; Glazirin, G.E.; Chernomorets, S.S.; Savernyuk, E.A.; Tutubalina, O.V.; Petrakov, D.A.; Sokolov, L.S.; Dokukin, M.D. Glacial lake inventory and lake outburst potential in Uzbekistan. Sci. Total Environ. 2017, 592, 228–242. [Google Scholar] [CrossRef]
- King, O.; Bhattacharya, A.; Bhambri, R.; Bolch, T. Glacial lakes exacerbate Himalayan glacier mass loss. Sci. Rep. 2019, 9, 18145. [Google Scholar] [CrossRef]
- Phan, V.H.; Lindenbergh, R.C.; Menenti, M. Geometric dependency of Tibetan lakes on glacial runoff. Hydrol. Earth Syst. Sci. 2013, 17, 4061–4077. [Google Scholar] [CrossRef]
- Zhang, G.Q.; Yao, T.D.; Xie, H.J.; Wang, W.C.; Yang, W. An inventory of glacial lakes in the Third Pole region and their changes in response to global warming. Global Planet. Change 2015, 131, 148–157. [Google Scholar] [CrossRef]
- Worni, R.; Huggel, C.; Stoffel, M. Glacial lakes in the Indian Himalayas—From an area-wide glacial lake inventory to on-site and modeling based risk assessment of critical glacial lakes. Sci. Total Environ. 2013, 468, S71–S84. [Google Scholar] [CrossRef]
- Wang, X.; Guo, X.Y.; Yang, C.D.; Liu, Q.H.; Wei, J.F.; Zhang, Y.; Liu, S.Y.; Zhang, Y.L.; Jiang, Z.L.; Tang, Z.G. Cataloging data set of high Asian ice lakes. Natl. Cryosphere Desert Date Cent. 2021. [Google Scholar] [CrossRef]
- Yang, C.D.; Wang, X.; Wei, J.F.; Liu, S.Y. A dataset of glacial lake inventory of West China in 2015. Sci. Data Bank 2018. [Google Scholar] [CrossRef]
- Chen, Y.N.; Li, W.H.; Deng, H.J.; Fang, G.H.; Li, Z. Changes in Central Asia’s Water Tower: Past, Present and Future. Sci. Rep. 2016, 6, 35458. [Google Scholar] [CrossRef]
- Li, Z.; Chen, Y.; Zhang, Q.; Li, Y. Spatial patterns of vegetation carbon sinks and sources under water constraint in Central Asia. J. Hydrol. 2020, 590, 125355. [Google Scholar] [CrossRef]
- Yang, T.; Li, Q.; Ahmad, S.; Zhou, H.F.; Li, L.H. Changes in Snow Phenology from 1979 to 2016 over the Tianshan Mountains, Central Asia. Remote Sens. 2019, 11, 499. [Google Scholar] [CrossRef]
- Hu, Z.Y.; Dietz, A.; Zhao, A.; Uereyen, S.; Zhang, H.; Wang, M.; Mederer, P.; Kuenzer, C. Snow Moving to Higher Elevations: Analyzing Three Decades of Snowline Dynamics in the Alps. Geophys. Res. Lett. 2020, 47, e2019GL085742. [Google Scholar] [CrossRef]
- Yao, X.J.; Liu, S.Y.; Han, L.; Sun, M.P.; Zhao, L.L. Definition and classification system of glacial lake for inventory and hazards study. J. Geogr. Sci. 2018, 28, 193–205. [Google Scholar] [CrossRef]
- Wang, X.; Guo, X.Y.; Yang, C.D.; Liu, Q.H.; Wei, J.F.; Zhang, Y.; Liu, S.Y.; Zhang, Y.L.; Jiang, Z.L.; Tang, Z.G. Glacial lake inventory of high-mountain Asia in 1990 and 2018 derived from Landsat images. Earth Syst. Sci. Data 2020, 12, 2169–2182. [Google Scholar] [CrossRef]
- Wangchuk, S.; Bolch, T. Mapping of glacial lakes using Sentinel-1 and Sentinel-2 data and a random forest classifier: Strengths and challenges. Sci. Remote Sens. 2020, 2, 100008. [Google Scholar] [CrossRef]
- Veh, G.; Korup, O.; Roessner, S.; Walz, A. Detecting Himalayan glacial lake outburst floods from Landsat time series. Remote Sens. Environ. 2018, 207, 84–97. [Google Scholar] [CrossRef]
- Wang, X.; Ding, Y.J.; Liu, S.Y.; Jiang, L.H.; Wu, K.P.; Jiang, Z.L.; Guo, W.Q. Changes of glacial lakes and implications in Tian Shan, central Asia, based on remote sensing data from 1990 to 2010. Environ. Res. Lett. 2013, 8, 44052. [Google Scholar] [CrossRef]
- Li, J.; Warner, T.A.; Wang, Y.; Bai, J.; Bao, A. Mapping glacial lakes partially obscured by mountain shadows for time series and regional mapping applications. Int. J. Remote Sens. 2019, 40, 615–641. [Google Scholar] [CrossRef]
- Pekel, J.F.; Cottam, A.; Gorelick, N.; Belward, A.S. High-resolution mapping of global surface water and its long-term changes. Nature 2016, 540, 418–422. [Google Scholar] [CrossRef]
- Hall, D.K.; Bayr, K.J.; Schöner, W.; Bindschadler, R.A.; Chien, J.Y.L. Consideration of the errors inherent in mapping historical glacier positions in Austria from the ground and space (1893–2001). Remote Sens. Environ. 2003, 86, 566–577. [Google Scholar] [CrossRef]
- Hanshaw, M.N.; Bookhagen, B. Glacial areas, lake areas, and snow lines from 1975 to 2012: Status of the Cordillera Vilcanota, including the Quelccaya Ice Cap, northern central Andes, Peru. Cryosphere 2014, 8, 359–376. [Google Scholar] [CrossRef]
- He, Y.; Yang, T.B.; Ji, Q.; Chen, J.; Zhao, G.; Shao, W.W. Glacier variation in response to climate change in Chinese Tianshan Mountains from 1989 to 2012. J. Mt. Sci. 2015, 12, 1189–1202. [Google Scholar] [CrossRef]
- Pritchard, H.D. Asia’s shrinking glaciers protect large populations from drought stress. Nature 2019, 569, 649–654. [Google Scholar] [CrossRef]
- Farinotti, D.; Longuevergne, L.; Moholdt, G.; Duethmann, D.; Mölg, T.; Bolch, T.; Vorogushyn, S.; Güntner, A. Substantial glacier mass loss in the Tien Shan over the past 50 years. Nat. Geosci. 2015, 8, 716–722. [Google Scholar] [CrossRef]
- Petrakov, D.; Shpuntova, A.; Aleinikov, A.; Kääb, A.; Kutuzov, S.; Lavrentiev, I.; Stoffel, M.; Tutubalina, O.; Usubaliev, R. Accelerated glacier shrinkage in the Ak-Shyirak massif, Inner Tien Shan, during 2003–2013. Sci. Total Environ. 2016, 562, 364–378. [Google Scholar] [CrossRef] [PubMed]
- Sorg, A.; Huss, M.; Rohrer, M.; Stoffel, M. The days of plenty might soon be over in glacierized Central Asian catchments. Environ. Res. Lett. 2014, 9, 104018. [Google Scholar] [CrossRef]
- Wang, X.W.; Gong, P.; Zhao, Y.Y.; Xu, Y.; Cheng, X.; Niu, Z.G.; Luo, Z.C.; Huang, H.B.; Sun, F.D.; Li, X.W. Water-level changes in China’s large lakes determined from ICESat/GLAS data. Remote Sens. Environ. 2013, 132, 131–144. [Google Scholar] [CrossRef]
- Sorg, A.; Bolch, T.; Stoffel, M.; Solomina, O.; Beniston, M. Climate change impacts on glaciers and runoff in Tien Shan (Central Asia). Nat. Clim. Change 2012, 2, 725–731. [Google Scholar] [CrossRef]
- Pieczonka, T.; Bolch, T. Region-wide glacier mass budgets and area changes for the Central Tien Shan between ~1975 and 1999 using Hexagon KH-9 imagery. Global Planet. Change 2015, 128, 1–13. [Google Scholar] [CrossRef]
- Narama, C.; Kääb, A.; Duishonakunov, M.; Abdrakhmatov, K. Spatial variability of recent glacier area changes in the Tien Shan Mountains, Central Asia, using Corona (~1970), Landsat (~2000), and ALOS (~2007) satellite data. Global Planet. Change 2010, 71, 42–54. [Google Scholar] [CrossRef]
- Zhang, Q.F.; Chen, Y.N.; Li, Z.; Fang, G.H.; Xiang, Y.Y.; Li, Y.P.; Ji, H.P. Recent Changes in Water Discharge in Snow and Glacier Melt-Dominated Rivers in the Tienshan Mountains, Central Asia. Remote Sens. 2020, 12, 2704. [Google Scholar] [CrossRef]
- Aizen, V.B.; Kuzmichenok, V.A.; Surazakov, A.B.; Aizen, E.M. Glacier changes in the Tien Shan as determined from topographic and remotely sensed data. Global Planet. Change 2007, 56, 328–340. [Google Scholar] [CrossRef]
- Kenzhebaev, R.; Barandun, M.; Kronenberg, M.; Chen, Y.; Usubaliev, R.; Hoelzle, M. Mass balance observations and reconstruction for Batysh Sook Glacier, Tien Shan, from 2004 to 2016. Cold Reg. Sci. Technol. 2017, 135, 76–89. [Google Scholar] [CrossRef]
- Kronenberg, M.; Barandun, M.; Hoelzle, M.; Huss, M.; Farinotti, D.; Azisov, E.; Usubaliev, R.; Gafurov, A.; Petrakov, D.; Kääb, A. Mass-balance reconstruction for Glacier No. 354, Tien Shan, from 2003 to 2014. Ann. Glaciol. 2016, 57, 92–102. [Google Scholar] [CrossRef]
- Wu, K.; Liu, S.; Jiang, Z.; Zhu, Y.; Xie, F.; Gao, Y.; Yi, Y.; Tahir, A.A.; Muhammad, S. Surging Dynamics of Glaciers in the Hunza Valley under an Equilibrium Mass State since 1990. Remote Sens. 2020, 12, 2922. [Google Scholar] [CrossRef]
- Zhang, H.; Li, Z.Q.; Zhou, P.; Zhu, X.F.; Wang, L. Mass-balance observations and reconstruction for Haxilegen Glacier No.51, eastern Tien Shan, from 1999 to 2015. J. Glaciol. 2018, 64, 689–699. [Google Scholar] [CrossRef]
- Shugar, D.H.; Burr, A.; Haritashya, U.K.; Kargel, J.S.; Watson, C.S.; Kennedy, M.C.; Bevington, A.R.; Betts, R.A.; Harrison, S.; Strattman, K. Rapid worldwide growth of glacial lakes since 1990. Nat. Clim. Change 2020, 10, 939–945. [Google Scholar] [CrossRef]
- Woolway, R.I.; Kraemer, B.M.; Lenters, J.D.; Merchant, C.J.; O Reilly, C.M.; Sharma, S. Global lake responses to climate change. Nat. Rev. Earth Environ. 2020, 1, 388–403. [Google Scholar] [CrossRef]
- Falatkova, K.; Šobr, M.; Neureiter, A.; Schöner, W.; Janský, B.; Häusler, H.; Engel, Z.; Beneš, V. Development of proglacial lakes and evaluation of related outburst susceptibility at the Adygine ice-debris complex, northern Tien Shan. Earth Surf. Dyn. 2019, 7, 301–320. [Google Scholar] [CrossRef]
- Narama, C.; Daiyrov, M.; Tadono, T.; Yamamoto, M.; Kääb, A.; Morita, R.; Ukita, J. Seasonal drainage of supraglacial lakes on debris-covered glaciers in the Tien Shan Mountains, Central Asia. Geomorphology 2017, 286, 133–142. [Google Scholar] [CrossRef]
- Benn, D.I.; Bolch, T.; Hands, K.; Gulley, J.; Luckman, A.; Nicholson, L.I.; Quincey, D.; Thompson, S.; Toumi, R.; Wiseman, S. Response of debris-covered glaciers in the Mount Everest region to recent warming, and implications for outburst flood hazards. Earth-Sci. Rev. 2012, 114, 156–174. [Google Scholar] [CrossRef]
- Truffer, M.; Motyka, R.J. Where glaciers meet water: Subaqueous melt and its relevance to glaciers in various settings. Rev. Geophys. 2016, 54, 220–239. [Google Scholar] [CrossRef]
- Liu, Q.; Liu, S.Y. Response of glacier mass balance to climate change in the Tianshan Mountains during the second half of the twentieth century. Clim. Dynam. 2016, 46, 303–316. [Google Scholar] [CrossRef]
- IPCC. Working Group I Contribution to the IPCC Fifth Assessment Report, Climate Change 2013: The Physical Science Basis: Summary for Policymakers; Cambridge University Press: Cambridge, UK, 2013. [Google Scholar]
- Shi, Y.F.; Shen, Y.P.; Kang, E.; Li, D.L.; Ding, Y.J.; Zhang, G.W.; Hu, R. Recent and future climate change in northwest China. Clim. Change 2007, 80, 379–393. [Google Scholar] [CrossRef]
- Li, K.M.; Li, Z.Q.; Gao, W.Y.; Wang, L. Recent glacial retreat and its effect on water resources in eastern Xinjiang. Chin. Sci. Bull. 2011, 56, 3596–3604. [Google Scholar] [CrossRef]
- Deng, H.J.; Chen, Y.N. Influences of recent climate change and human activities on water storage variations in Central Asia. J. Hydrol. 2017, 544, 46–57. [Google Scholar] [CrossRef]
- Deng, H.J.; Chen, Y.N.; Li, Q.H.; Lin, G.F. Loss of terrestrial water storage in the Tianshan Mountains from 2003 to 2015. Int. J. Remote Sens. 2019, 40, 8342–8358. [Google Scholar] [CrossRef]
- Li, Z.; Chen, Y.N.; Li, Y.P.; Wang, Y. Declining snowfall fraction in the alpine regions, Central Asia. Sci. Rep. 2020, 10, 3476. [Google Scholar] [CrossRef]
- Li, Y.P.; Chen, Y.N.; Wang, F.; He, Y.Q.; Li, Z. Evaluation and projection of snowfall changes in high mountain Asia based on NASA’s NEX-GDDP high-resolution daily downscaled dataset. Environ. Res. Lett. 2020, 15, 104040. [Google Scholar] [CrossRef]
- Li, Y.P.; Chen, Y.N.; Li, Z. Climate and topographic controls on snow phenology dynamics in the Tienshan Mountains, Central Asia. Atmos. Res. 2020, 236, 104813. [Google Scholar] [CrossRef]
- Falatkova, K.; Šobr, M.; Slavík, M.; Bruthans, J.; Janský, B. Hydrological characterization and connectivity of proglacial lakes to a stream, Adygine ice-debris complex, northern Tien Shan. Hydrol. Sci. J. 2020, 65, 610–623. [Google Scholar] [CrossRef]
- Narama, C.; Daiyrov, M.; Duishonakunov, M.; Tadono, T.; Sato, H.; Kääb, A.; Ukita, J.; Abdrakhmatov, K. Large drainages from short-lived glacial lakes in the Teskey Range, Tien Shan Mountains, Central Asia. Nat. Hazard. Earth Sys. 2018, 18, 983–995. [Google Scholar] [CrossRef]
- Daiyrov, M.; Narama, C.; Yamanokuchi, T.; Tadono, T.; Ukita, J. Regional geomorphological conditions related to recent changes of glaciallakes in the Issyk-Kul Basin, northern Tien Shan. Geosciences 2018, 8, 99. [Google Scholar] [CrossRef]
- Jia, Y.; Chen, X.; Cao, L.Z.; Zhang, W.G. Glacial lake changes and its relation with climate change in Bogda Mountains of Tienshan during 1990–2012. In Proceedings of the International Academic Symposium on Remote Sensing and Social Development Conference, Shanghai, China, 1 December 2013; pp. 93–103. [Google Scholar]
- Fell, S.; Carrivick, J.; Brown, L. The Multitrophic Effects of Climate Change and Glacier Retreat in Mountain Rivers. Bioscience 2017, 10, 897–911. [Google Scholar] [CrossRef] [PubMed]
- Liu, K.S.; Liu, Y.Q.; Han, B.P.; Xu, B.Q.; Zhu, L.P.; Ju, J.T.; Jiao, N.Z.; Xiong, J.B. Bacterial community changes in a glacial-fed Tibetan lake are correlated with glacial melting. Sci. Total Environ. 2019, 651, 2059–2067. [Google Scholar] [CrossRef]
- Milner, A.M.; Brown, L.E.; Hannah, D.M. Hydroecological response of river systems to shrinking glaciers. Hydrol. Process. 2009, 23, 62–77. [Google Scholar] [CrossRef]
- Milner, A.M.; Khamis, K.; Battin, T.J.; Brittain, J.E.; Barrand, N.E.; Füreder, L.; Cauvy-Fraunie, S.; Gislason, G.M.; Jacobsen, D.; Hannah, D.M.; et al. Glacier shrinkage driving global changes in downstream systems. Proc. Natl. Acad. Sci. USA 2017, 114, 9770–9778. [Google Scholar] [CrossRef] [PubMed]
- Bolch, T. Climate change and glacier retreat in northern Tien Shan (Kazakhstan/Kyrgyzstan) using remote sensing data. Global Planet. Change. 2007, 56, 1–12. [Google Scholar] [CrossRef]
- Kaldybayev, A.; Chen, Y.N.; Vilesov, E. Glacier change in the Karatal river basin, Zhetysu (Dzhungar) Alatau, Kazakhstan. Ann. Glaciol. 2016, 57, 11–19. [Google Scholar] [CrossRef]
- Racoviteanu, A.; Williams, M.W. Decision Tree and Texture Analysis for Mapping Debris-Covered Glaciers in the Kangchenjunga Area, Eastern Himalaya. Remote Sens. 2012, 4, 3078–3109. [Google Scholar] [CrossRef]
- Sidjak, R.W.; Wheate, R.D. Glacier mapping of the Illecillewaet icefield, British Columbia, Canada, using Landsat TM and digital elevation data. Int. J. Remote Sens. 1999, 20, 273–284. [Google Scholar] [CrossRef]
- Pfeffer, W.T.; Arendt, A.A.; Bliss, A.; Bolch, T.; Cogley, J.G.; Gardner, A.S.; Hagen, J.; Hock, R.; Kaser, G.; Kienholz, C.; et al. The Randolph Glacier Inventory: A globally complete inventory of glaciers. J. Glaciol. 2014, 60, 537–552. [Google Scholar] [CrossRef]
- Bolch, T.; Yao, T.; Kang, S.; Buchroithner, M.F.; Scherer, D.; Maussion, F.; Huintjes, E.; Schneider, C. A glacier inventory for the western Nyainqentanglha Range and the Nam Co Basin, Tibet, and glacier changes 1976–2009. Cryosphere 2010, 4, 419–433. [Google Scholar] [CrossRef]
- Guo, W.Q.; Liu, S.Y.; Xu, J.L.; Wu, L.Z.; Shangguan, D.H.; Yao, X.J.; Wei, J.F.; Bao, W.J.; Yu, P.C.; Liu, Q.; et al. The second Chinese glacier inventory: Data, methods and results. J. Glaciol. 2015, 61, 357–372. [Google Scholar] [CrossRef]











| Mountains | Eastern | Northern | Central | Western | Total |
|---|---|---|---|---|---|
| Region area (105 km2) | 0.82 | 0.87 | 2.10 | 2.12 | 5.91 |
| Glacier area proportion (%) | 0.33 | 2.81 | 4.01 | 1.46 | 2.41 |
| Mean glacier terminal altitude (m a.s.l.) | 3800 | 3696 | 3938 | 3824 | 3844 |
| Mean glacier median altitude (m a.s.l.) | 3990 | 3895 | 4169 | 4008 | 4051 |
| Mean glacial lake altitude (m a.s.l.) | 3450 | 3348 | 3611 | 3520 | 3500 |
| Mean single glacier area (km2) | 0.48 | 0.56 | 1.11 | 0.55 | 0.79 |
| Mean single glacial lake area (km2) | 0.04 | 0.04 | 0.07 | 0.06 | 0.05 |
| Elevation range (m a.s.l.) | 284~5099 | 1082~5246 | 966~7431 | 896~5667 | 284~7431 |
| Average elevation (m a.s.l.) | 1624 | 2521 | 2574 | 2570 | 2430 |
| Average annual temperature (°C) | 5.43 | −0.71 | 0.82 | 1.38 | 1.44 |
| Average annual precipitation (mm) | 142 | 289 | 242 | 468 | 315 |
| Lake Type | Number | Area (Km2) | Average Elevation (m a.s.l.) |
|---|---|---|---|
| Supraglacial lake | 52 | 1.06 | 3462 |
| Proglacial lake | 399 | 22.88 | 3469 |
| Extraglacial lake | 1597 | 88.61 | 3491 |
| Non-glacial lake | 373 | 17.20 | 3368 |
| Total | 2421 | 129.76 | 3500 |
| Periods | Eastern | Northern | Central | Western | Total | |||||
|---|---|---|---|---|---|---|---|---|---|---|
| Number | Area | Number | Area | Number | Area | Number | Area | Number | Area | |
| New lakes | ||||||||||
| 1990–2000 | 18 | 0.46 | 68 | 1.72 | 103 | 2.78 | 163 | 2.92 | 352 | 7.88 |
| 2000–2010 | 1 | 0.01 | 81 | 1.69 | 163 | 4.89 | 80 | 1.76 | 325 | 8.35 |
| 2010–2015 | 21 | 0.26 | 112 | 2.04 | 155 | 3.25 | 71 | 1.27 | 359 | 6.82 |
| Disappeared lakes | ||||||||||
| 1990–2000 | 0 | 0.00 | 12 | 0.22 | 61 | 1.04 | 15 | 0.17 | 88 | 1.44 |
| 2000–2010 | 0 | 0 | 14 | 0.25 | 54 | 0.66 | 50 | 0.58 | 118 | 1.49 |
| 2010–2015 | 2 | 0.02 | 35 | 0.39 | 75 | 1.79 | 67 | 1.32 | 179 | 3.52 |
| Region | Temperature Trend | Precipitation Trend | Supraglacial Lake Trend | Proglacial Lake Trend | Extraglacial Lake Trend | Non-Glacial Lake Trend |
|---|---|---|---|---|---|---|
| (°C/10 a) | (mm/10 a) | (%/a) | (%/a) | (%/a) | (%/a) | |
| Eastern TS | 0.32 | 5.9 | / | 6.47 | 2.00 | 1.75 |
| Northern TS | 0.28 | 5.3 | / | 3.49 | 1.29 | 1.03 |
| Central TS | 0.31 | 13.4 | −0.35 | 1.44 | 0.74 | 0.73 |
| Western TS | 0.28 | −16.0 | / | 5.51 | 0.67 | 0.62 |
Publisher’s Note: MDPI stays neutral with regard to jurisdictional claims in published maps and institutional affiliations. |
© 2022 by the authors. Licensee MDPI, Basel, Switzerland. This article is an open access article distributed under the terms and conditions of the Creative Commons Attribution (CC BY) license (https://creativecommons.org/licenses/by/4.0/).
Share and Cite
Zhang, Q.; Chen, Y.; Li, Z.; Fang, G.; Xiang, Y.; Li, Y. Controls on Alpine Lake Dynamics, Tien Shan, Central Asia. Remote Sens. 2022, 14, 4698. https://doi.org/10.3390/rs14194698
Zhang Q, Chen Y, Li Z, Fang G, Xiang Y, Li Y. Controls on Alpine Lake Dynamics, Tien Shan, Central Asia. Remote Sensing. 2022; 14(19):4698. https://doi.org/10.3390/rs14194698
Chicago/Turabian StyleZhang, Qifei, Yaning Chen, Zhi Li, Gonghuan Fang, Yanyun Xiang, and Yupeng Li. 2022. "Controls on Alpine Lake Dynamics, Tien Shan, Central Asia" Remote Sensing 14, no. 19: 4698. https://doi.org/10.3390/rs14194698
APA StyleZhang, Q., Chen, Y., Li, Z., Fang, G., Xiang, Y., & Li, Y. (2022). Controls on Alpine Lake Dynamics, Tien Shan, Central Asia. Remote Sensing, 14(19), 4698. https://doi.org/10.3390/rs14194698

