Multiscale Perspectives on an Extreme Warm-Sector Rainfall Event over Coastal South China
Abstract
1. Introduction
2. Data and Methods
2.1. Data and Instruments
2.2. Estimation of Liquid and Ice Water Contents
2.3. Hydrometeor Classification
2.4. Retrieval of Raindrop Size Distribution
3. Overview of the Rainstorm
4. Synoptic Background and Mesoscale Environments
5. Surface Mesoscale Features
6. Microphysical Features
6.1. Vertical Structure of Polarimetric Variables and Hydrometeor Types
6.2. Contributions of the Warm-Rain Versus Ice-Phase Processes to Extreme Rain
6.3. Characteristics of RSD
7. Conclusions
- (1)
- The extreme rainfall event occurred under conditions of a low-level warm and humid southerly airflow without the influence of a frontal system. The establishment of nighttime LLJs provided favorable thermal-dynamic and water vapor conditions for the initiation and development of convection. In particular, the establishment, maintenance, and weakening of the BLJ were highly correlated with the evolution of the precipitation.
- (2)
- The initial convection occurred to the southwest of the mesoscale convergence line. The convection near Jinjiang was strengthened under the joint effect of the enhancement of jet streams and the orographic lifting effect. Due to the extremely humid environmental conditions, the cold outflow boundary formed mainly by rain evaporative cooling was weak, leading to formation of the quasi-stationary outflow boundary, which continuously lifted the warm and humid unstable air from the northern SCS and resulted in extreme precipitation over Jinjiang.
- (3)
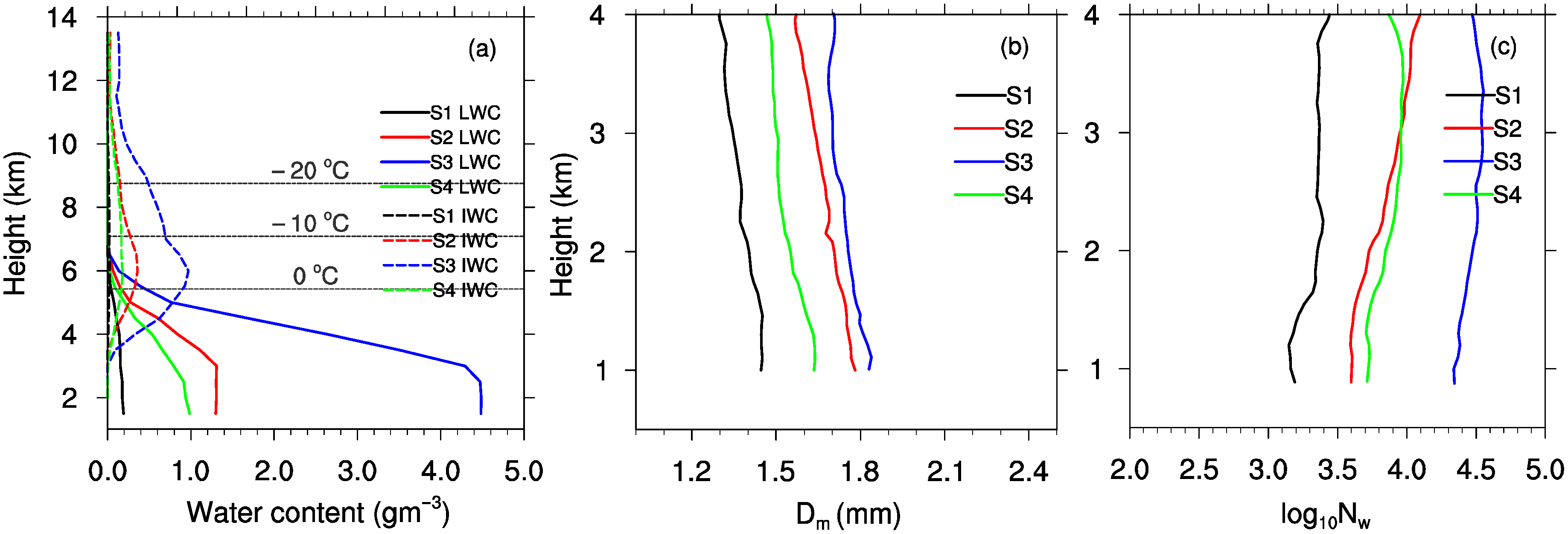
- In the initial stage of the extreme rainfall-producing storm, the ice crystals and snowflakes grew slowly through deposition and aggregation above the 0 °C level. The ice crystal and snowflakes mostly directly melted into raindrops after passing through the freezing level. The water contents increased with the enhancement of convection, and the mean particle size also increased due to enhanced deposition and aggregation processes. Additionally, during the developing and mature stages, large ice particles or graupels, and the increase in the proportion of heavy rainfall indicated that the riming processes from the 0 °C level layer to the −20 °C level, and the melting and collision coalescence processes below this were important microphysical processes.
- (4)
- The maximum ice water content accounted for about 22.2% of the maximum liquid water content, indicating that the contribution of warm rain was much higher than that of the ice-phase process in this rainfall event. The continuous increase in liquid water from freezing level to 2 km AGL was due to extreme moist environment and the low lifting condensation level. The mean Dm and log10Nw of raindrops increased continuously as the convection developed to the maturity stage, which was similar to the characteristics of an “oceanic” convection event. In addition, the high precipitation efficiency over Jinjiang was mainly reflected by a greater log10Nw.
Author Contributions
Funding
Conflicts of Interest
References
- Tao, S. Rainstorms in China; Science Press: Beijing, China, 1980; pp. 45–46. (In Chinese) [Google Scholar]
- Chen, H.; Zhao, S. Heavy rainfalls in South China and related circulation during first GARP global experiment period. Chin. J. Atmos. Sci. 2000, 24, 238–252, (In Chinese with English Abstract). [Google Scholar] [CrossRef]
- Zhou, T.; Yu, R.; Chen, H.; Dai, A.; Pan, Y. Summer precipitation frequency, intensity, and diurnal cycle over China: A comparison of satellite data with rain gauge observations. J. Clim. 2008, 21, 3997–4010. [Google Scholar] [CrossRef]
- Zhao, S.; Bei, N.; Sun, J. Mesoscale Analysis of a Heavy Rainfall Event over Hong Kong During a Pre-rainy Season in South China. Adv. Atmos. Sci. 2007, 24, 555–572. [Google Scholar] [CrossRef]
- Zhao, Y.; Wang, Y. A review of studies on torrential rain during pre-summer flood season in South China since the 1980′s. Torrential Rain Disasters 2009, 28, 193–202, (In Chinese with English Abstract). [Google Scholar] [CrossRef]
- Luo, Y.; Zhang, R.; Wan, Q.; Wang, B.; Xiao, Y. The Southern China Monsoon Rainfall Experiment (SCMREX). Bull. Am. Meteor. Soc. 2017, 98, 999–1013. [Google Scholar] [CrossRef]
- Ninomiya, K.; Akiyama, T. The development of the medium-scale disturbance in the Baiu front. J. Meteorol. Soc. Jpn. 1971, 49A, 663–677. [Google Scholar] [CrossRef]
- Ninomiya, K.; Akiyama, T. Band Structure of Mesoscale Echo Clusters Associated with Low-Level Jet. J. Meteorol. Soc. Jpn. 1974, 52, 300–313. [Google Scholar] [CrossRef][Green Version]
- Ninomiya, K.; Akiyama, T.; Ikawa, M. Evolution process and fine structure of a long-lived meso-α-scale convective system in Baiu front. Part1: Evolution and meso-β-scale characteristics. J. Meteorol. Soc. Jpn. 1988, 66, 331–350. [Google Scholar] [CrossRef]
- Huang, S. Rainstorm during Prerainy Season in South China; Guangdong Science and Technology Press: Guangzhou, China, 1986; pp. 9–10, (In Chinese with English Abstract). [Google Scholar]
- Meng, W.; Wang, A.; Li, J.; Fong, S.; Hou, E. Moist potential vorticity analysis of the heavy rainfall and mesoscale convective systems in South China. Chin. J. Atmos. Sci. 2004, 28, 330–341, (In Chinese with English Abstract). [Google Scholar] [CrossRef]
- Wu, N.; Ding, X.; Wen, Z.; Chen, G.; Meng, Z.; Lin, L.; Min, J. Contrasting frontal and warm-sector heavy rainfalls over South China during the early-summer rainy season. Atmos. Res. 2020, 235, 104693. [Google Scholar] [CrossRef]
- Luo, Y.; Li, L.; Johnson, R.; Chang, C.; Chen, L.; Wong, W.; Chen, J.; Furtado, K.; McBride, J.; Tyagi, A.; et al. Science and Prediction of Monsoon Heavy Rainfall. Sci. Bull. 2019, 64, 1557–1561. [Google Scholar] [CrossRef]
- Sun, J.; Zhang, Y.; Liu, R.; Fu, S.; Tian, F. A review of research on warm-sector heavy rainfall in China. Adv. Atmos. Sci. 2019, 36, 1299–1307. [Google Scholar] [CrossRef]
- Chen, G.; Sha, W.; Iwasaki, T. Diurnal variation of precipitation over southeastern China: Spatial distribution and its seasonality. J. Geophys. Res. Atmos. 2009, 114, D13103. [Google Scholar] [CrossRef]
- Chen, X.; Zhao, K.; Xue, M. Spatial and temporal characteristics of warm season convection over Pearl River Delta region, China, based on 3 years of operational radar data. J. Geophys. Res. Atmos. 2014, 119, 12447–12465. [Google Scholar] [CrossRef]
- Chen, X.; Zhao, K.; Xue, M.; Zhou, B.; Huang, X.; Xu, W. Radar-observed diurnal cycle and propagation of convection over the Pearl River delta during Mei-Yu season. J. Geophys. Res. Atmos. 2015, 120, 12557–12575. [Google Scholar] [CrossRef]
- He, L.; Chen, T.; Kong, Q. A review of studies on prefrontal torrential rain in South China. J. Appl. Meteorol. Sci. 2016, 27, 559–569, (In Chinese with English Abstract). [Google Scholar] [CrossRef]
- Chen, T. Mesoscale features observed in the Taiwan Mei-Yu season. J. Meteorol. Soc. Jpn. 1992, 70, 497–561. Available online: http://140.112.114.62/handle/246246/98623 (accessed on 13 May 2022). [CrossRef]
- Xia, R.; Zhao, S. Diagnosis and modeling of Meso-β-scale systems of heavy rainfall in warm sector ahead of front in South China (middle part of Guangdong Province) in June 2005. Chin. J. Atmos. Sci. 2009, 33, 468–488, (In Chinese with English Abstract). [Google Scholar] [CrossRef]
- Li, B.; Liu, L.P.; Zhao, S.; Huang, C. Numerical experiment of the effect of local low terrain on heavy rainstorm of south china. Plateau Meteorol. 2013, 32, 1638–1650, (In Chinese with English Abstract). [Google Scholar] [CrossRef]
- Wang, H.; Luo, Y.; Jou, B. Initiation, maintenance, and properties of convection in an extreme rainfall event during SCMREX: Observational analysis. J. Geophy. Res. Atmos. 2014, 119, 13206–13232. [Google Scholar] [CrossRef]
- Bao, X.; Luo, Y.; Gao, X. The Synoptic Impacts on the Convection Initiation of a Warm-sector Heavy Rainfall Event over Coastal South China Prior to the Monsoon Onset: A Numerical Modeling Study. J. Geophys. Res. Atmos. 2021, 126, e2020JD034335. [Google Scholar] [CrossRef]
- Wang, Q.; Zhang, Y.; Zhu, K.; Tan, Z.; Xue, M. A case study of the initiation of parallel convective lines back-building from the south side of a mei-yu front over complex terrain. Adv. Atmos. Sci. 2021, 38, 717–736. [Google Scholar] [CrossRef]
- Ding, Y.; Liu, Y. Onset and the evolution of the summer monsoon over the South China Sea during SCSMEX field experiment in 1998. J. Meteorol. Soc. Jpn. 2001, 79, 255–276. [Google Scholar] [CrossRef]
- Luo, Y.; Wang, H.; Zhang, R.; Qian, W. Comparison of rainfall characteristics and convective properties of monsoon precipitation systems over south China and Yangtze-and-Huai rivers basin. J. Clim. 2013, 26, 110–132. [Google Scholar] [CrossRef]
- Xu, W.; Zipser, E.; Chen, Y.; Liu, C.; Liou, Y.; Lee, W.; Jou, B. An orography-associated extreme rainfall event during TiMREX: Initiation, storm evolution and maintenance. Mon. Weather Rev. 2015, 140, 2555–2574. [Google Scholar] [CrossRef]
- Wu, M.; Luo, Y. Mesoscale Observational Analysis of Lifting Mechanism of a Warm-sector Convective System Producing the Maximal Daily Precipitation in China Mainland during Presummer Rainy Season of 2015. J. Meteorol. Res. 2016, 30, 719–736. [Google Scholar] [CrossRef]
- Liu, X.; Luo, Y.; Guan, Z.; Zhang, D. An extreme rainfall event in coastal south China during SCMREX-2014: Formation and roles of rainband and echo trainings. J. Geophys. Res. Atmos. 2018, 123, 9256–9278. [Google Scholar] [CrossRef]
- Luo, Y.; Gong, Y.; Zhang, D. Initiation and organizational modes of an extreme-rain-producing mesoscale convective system along a Mei-Yu Front in East China. Mon. Weather Rev. 2014, 142, 203–221. [Google Scholar] [CrossRef]
- Chen, Y.; Luo, Y.; Liu, B. General features and synoptic-scale environments of mesoscale convective systems over South China during the 2013–2017 pre-summer rainy seasons. Atmos. Res. 2022, 266, 105954. [Google Scholar] [CrossRef]
- Du, Y.; Chen, G. Heavy Rainfall Associated with Double Low-Level Jets over Southern China. Part II: Convection Initiation. Mon. Weather Rev. 2019, 147, 543–565. [Google Scholar] [CrossRef]
- Mohr, K.; Toracinta, R.; Zipser, E.; Orville, R. A Comparison of WSR-88D Reflectivities, SSM/I Brightness Temperatures, and Lightning for Mesoseale Convective Systems in Texas. Part II. SSM/I Brightness Temperatures and Lightning. J. Appl. Meteorol. Climatol. 1996, 35, 919–931. [Google Scholar] [CrossRef]
- Zipser, E.; Lutz, K. The vertical profile of radar reflectivity of convective cells: A strong indicator of storm intensity and lightning probability. Mon. Weather Rev. 1994, 122, 1751–1759. [Google Scholar] [CrossRef]
- Xu, W. Thunderstorm climatologies and their relationships to total and extreme precipitation in China. J. Geophys. Res. Atmos. 2020, 125, e2020JD033152. [Google Scholar] [CrossRef]
- Carey, L.; Rutledge, S. The relationship between precipitation and lightning in tropical island convection: A C-band polarimetric radar study. Mon. Weather Rev. 2000, 128, 2687–2710. [Google Scholar] [CrossRef]
- Li, M.; Luo, Y.; Zhang, D.; Chen, M.; Wu, C.; Yin, J.; Yun, M. Analysis of a Record-Breaking Rainfall Event Associated with a Monsoon Coastal Megacity of South China Using Multisource Data. IEEE Trans. Geosci. Remote Sens. 2021, 59, 6404–6414. [Google Scholar] [CrossRef]
- Sohn, B.; Ryu, G.; Song, H.; Ou, M. Characteristic features of warm-type rainproducing heavy rainfall over the korean peninsula inferred from TRMM measurements. Mon. Weather Rev. 2013, 141, 3873–3888. [Google Scholar] [CrossRef]
- Bringi, V.; Chandrasekar, V.; Hubbert, J.; Gorgucci, E.; Randeu, W.; Schoenhuber, M. Raindrop size distribution in different climatic regimes from disdrometer and dual-polarized radar analysis. J. Atmos. Sci. 2003, 60, 354–365. [Google Scholar] [CrossRef]
- Kumjian, M.; Ryzhkov, A. The Impact of Size Sorting on the Polarimetric Radar Variables. J. Atmos. Sci. 2012, 69, 2042–2060. [Google Scholar] [CrossRef]
- Wang, M.; Zhao, K.; Xue, M.; Zhang, G.; Liu, S.; Wen, L.; Chen, G. Precipitation microphysics characteristics of a Typhoon Matmo (2014) rainband after landfall over eastern China based on polarimetric radar observations. J. Geophys. Res. Atmos. 2016, 121, 12415–12433. [Google Scholar] [CrossRef]
- Wen, J.; Zhao, K.; Huang, H.; Liu, S.; Chen, G. Evolution of microphysical structure of a subtropical squall line observed by a polarimetric radar and a disdrometer during OPACC in Eastern China. J. Geophys. Res. Atmos. 2017, 122, 8033–8050. [Google Scholar] [CrossRef]
- Wu, D.; Zhao, K.; Kumjian, M.; Chen, X.; Huang, H.; Wang, M.; Didlake, A., Jr.; Duan, Y.; Zhang, F. Kinematics and microphysics of convection in the outer rainband of typhoon Nida (2016) revealed by polarimetric radar. Mon. Weather Rev. 2018, 146, 2147–2159. [Google Scholar] [CrossRef]
- Han, B.; Du, Y.; Wu, C.; Liu, X. Microphysical characteristics of the coexisting frontal and warm-sector heavy rainfall in South China. J. Geophys. Res. Atmos. 2021, 126, e2021JD035446. [Google Scholar] [CrossRef]
- Yu, S.; Luo, Y.; Wu, C.; Zheng, D.; Liu, X.; Xu, W. Convective and microphysical characteristics of extreme precipitation revealed by multisource observations over the Pearl River Delta at monsoon coast. Grophys. Res. Lett. 2022, 49, e2021GL097043. [Google Scholar] [CrossRef]
- Guo, Z.; Hu, S.; Liu, X.; Chen, X.; Zhang, H.; Qi, T.; Zeng, G. Improving S-Band Polarimetric Radar Monsoon Rainfall Estimation with Two-Dimensional Video Disdrometer Observations in South China. Atmosphere 2021, 12, 831. [Google Scholar] [CrossRef]
- Chen, G.; Zhao, K.; Zhang, G.; Huang, H.; Liu, S.; Wen, L.; Yang, Z.; Yang, Z.; Xu, L.; Zhu, W. Improving polarimetric c–band radar rainfall estimation with two–dimensional video disdrometer observations in eastern China. J. Hydrol. 2017, 18, 1375–1391. [Google Scholar] [CrossRef]
- Li, H.; Wan, Q.; Peng, D.; Liu, X.; Xiao, H. Multiscale analysis of a record-breaking heavy rainfall event in Guangdong, China. Atmos. Res. 2020, 232, 104703. [Google Scholar] [CrossRef]
- Tokay, A.; Petersen, W.; Gatlin, P.; Wingo, M. Comparison of Raindrop Size Distribution Measurements by Collocated Disdrometers. J. Atmos. Ocean. Technol. 2013, 30, 1672–1690. [Google Scholar] [CrossRef]
- Zhang, G.; Vivekanandan, J.; Brandes, E. A method for estimating rain rate and drop size distribution from polarimetric radar measurements. IEEE Trans. Geosci. Remote Sens. 2001, 39, 830–841. [Google Scholar] [CrossRef]
- Cifelli, R.; Petersen, W.; Carey, L.; Rutlsdge, S. Radar observations of the kinematic, microphysical, and precipitation characteristics of two MCSs in TRMM LBA. J. Geophys. Res. 2002, 107, 8077. [Google Scholar] [CrossRef]
- Wang, J.; Carey, L. The development and structure of an oceanic squall-line system during the South China Sea Monsoon Experiment. Mon. Weather Rev. 2005, 133, 1544–1561. [Google Scholar] [CrossRef]
- Chang, W.; Lee, W.; Liou, Y. The kinematic and microphysical characteristics and associated precipitation efficiency of subtropical convection during SoWMEX/TiMREX. Mon. Weather Rev. 2015, 143, 317–340. [Google Scholar] [CrossRef]
- Park, H.; Ryzhkov, A.; Zrnić, D.; Kim, K. The Hydrometeor Classification Algorithm for the Polarimetric WSR-88D: Description and Application to an MCS. Weather Forecast. 2009, 24, 730–748. [Google Scholar] [CrossRef]
- Wu, C.; Liu, L.; Wei, M.; Xi, B.; Yu, M. Statistics-based optimization of the polarimetric radar hydrometeor classification algorithm and its application for a squall line in South China. Adv. Atmos. Sci. 2018, 35, 296–316. [Google Scholar] [CrossRef]
- Ulbrich, C. Natural Variations in the Analytical Form of the Raindrop Size Distribution. J. Appl. Meteorol. 1983, 22, 1764–1775. [Google Scholar] [CrossRef]
- Testud, J.; Oury, S.; Amayenc, P.; Black, R.; Dou, X. The concept of “normalized” distributions to describe raindrop spectra: A tool for cloud physics and cloud remote sensing. J. Appl. Meteorol. 2001, 40, 1118–1140. [Google Scholar] [CrossRef]
- Zhang, G.; Vivekanandan, J.; Brandes, E.; Meneghini, R.; Kozu, T. The shape-slope relation in observed Gamma raindrop size distributions: Statistical error or useful information. J. Atmos. Ocean. Technol. 2003, 20, 1106–1119. [Google Scholar] [CrossRef]
- Liu, X.; Wan, Q.; Wang, H.; Xiao, H.; Zhang, Y.; Zheng, T.; Feng, L. Raindrop size distribution parameters retrieved from Guangzhou S-band polarimetric radar observations. J. Meteorol. Res. 2018, 32, 571–583. [Google Scholar] [CrossRef]
- Du, Y.; Chen, G. Heavy Rainfall Associated with Double Low-Level Jets over Southern China. Part I: Ensemble-Based Analysis. Mon. Weather Rev. 2018, 146, 3827–3844. [Google Scholar] [CrossRef]
- Markowski, P.; Richardson, Y. Mesoscale Meteorology in Midlatitudes; Wiley-Blackwell: Oxford, UK, 2010; 430p. [Google Scholar]
- Petersen, W.; Rutledge, S. Regional variability in tropical convection: Observations from TRMM. J. Clim. 2001, 14, 3566–3586. [Google Scholar] [CrossRef]
- Yuter, S.; Houze, R. Three-dimensional kinematic and microphysical evolution of Florida cumulonimbus. Part II: Frequency distributions of vertical velocity, reflectivity, and differential reflectivity. Mon. Weather Rev. 1995, 123, 1941–1963. [Google Scholar] [CrossRef]
- Bailey, M.; Hallett, J. A comprehensive habit diagram for atmospheric ice crystals: Confirmation from the Laboratory, AIRS II, and other field studies. J. Atmos. Sci. 2009, 66, 2888–2899. [Google Scholar] [CrossRef]
- Rosenfeld, D.; Ulbrich, C. Cloud microphysical properties, processes, and rainfall estimation opportunities. Meteorol. Monogr. 2003, 30, 237–258. [Google Scholar] [CrossRef]
- Kumjian, M.; Prat, O. The impact of raindrop collisional processes on the polarimetric radar variables. J. Atmos. Sci. 2014, 71, 3052–3067. [Google Scholar] [CrossRef]
- Liu, C.; Zipser, E. The globaldistribution of largest, deepest, and most intense precipitation systems. Geophys. Res. Lett. 2015, 42, 3591–3595. [Google Scholar] [CrossRef]
- Chen, B.; Yang, J.; Pu, J. Statistical Characteristics of Raindrop Size Distribution in the Meiyu Season Observed in Eastern China. J. Meteorol. Soc. Jpn. 2013, 91, 215–227. [Google Scholar] [CrossRef]
- Jin, Q.; Yuan, Y.; Ji, L.; Lu, D.; Feng, J. Characteristics of Raindrop Size Distribution for a Squall Line at Chuzhou of Anhui During Summer. J. Appl. Meteorol. Sci. 2015, 26, 725–734, (In Chinese with English Abstract). [Google Scholar] [CrossRef]
- Wen, L.; Zhao, K.; Zhang, G.; Xue, M.; Zhou, B.; Liu, S.; Chen, X. Statistical Characteristics of Raindrop Size Distributions Observed in East China during the Asian Summer Monsoon Season using 2D-Video Disdrometer and Micro-rain Radar Data. J. Geophys. Res. Atmos. 2016, 121, 2265–2282. [Google Scholar] [CrossRef]











| Level | 500 hPa | 700 hPa | 850 hPa | 925 hPa | Ground | 500 hPa to the Ground of 5 Levels | 700 hPa to the Ground of 4 Levels |
|---|---|---|---|---|---|---|---|
| Mean | 55.1% | 68.2% | 81.5% | 85.9% | 87.2% | 74.6% | 80.2% |
| Median | 58.4% | 71.6% | 85.2% | 90.7% | 88.0% | 75.6% | 81.7% |
| 21 June 2017 | 73% | 89% | 90% | 97% | 93% | 88.8% | 92.0% |
| Quantile ranking | 38.3% | 12.3% | 31.8% | 6.8% | 14.1% | 11.3% | 7.3% |
Publisher’s Note: MDPI stays neutral with regard to jurisdictional claims in published maps and institutional affiliations. |
© 2022 by the authors. Licensee MDPI, Basel, Switzerland. This article is an open access article distributed under the terms and conditions of the Creative Commons Attribution (CC BY) license (https://creativecommons.org/licenses/by/4.0/).
Share and Cite
Pu, Y.; Hu, S.; Luo, Y.; Liu, X.; Hu, L.; Ye, L.; Li, H.; Xia, F.; Gao, L. Multiscale Perspectives on an Extreme Warm-Sector Rainfall Event over Coastal South China. Remote Sens. 2022, 14, 3110. https://doi.org/10.3390/rs14133110
Pu Y, Hu S, Luo Y, Liu X, Hu L, Ye L, Li H, Xia F, Gao L. Multiscale Perspectives on an Extreme Warm-Sector Rainfall Event over Coastal South China. Remote Sensing. 2022; 14(13):3110. https://doi.org/10.3390/rs14133110
Chicago/Turabian StylePu, Yiliang, Sheng Hu, Yali Luo, Xiantong Liu, Lihua Hu, Langming Ye, Huiqi Li, Feng Xia, and Lingyu Gao. 2022. "Multiscale Perspectives on an Extreme Warm-Sector Rainfall Event over Coastal South China" Remote Sensing 14, no. 13: 3110. https://doi.org/10.3390/rs14133110
APA StylePu, Y., Hu, S., Luo, Y., Liu, X., Hu, L., Ye, L., Li, H., Xia, F., & Gao, L. (2022). Multiscale Perspectives on an Extreme Warm-Sector Rainfall Event over Coastal South China. Remote Sensing, 14(13), 3110. https://doi.org/10.3390/rs14133110

