A Study on TGF Detectability at 2165 m Altitude: Estimates for the Mountain-Based Gamma-Flash Experiment
Abstract
:1. Introduction
1.1. The Gamma-Flash Program
1.2. The Ground-Based Gamma-Flash Detection System
1.3. TGF Detectability at Mt. Cimone
2. Methods
2.1. Gamma-ray Signal and Environmental Background
2.2. Number of Seeds
2.3. Source Position
2.4. Beaming and Direction
2.5. Collecting Area
2.6. Medium Density and Material
2.7. Energy Spectrum
3. Monte Carlo Simulations
Spatial Distribution of Survived Photons
4. Analytical Treatment
Spatial Distribution of Survived Photons
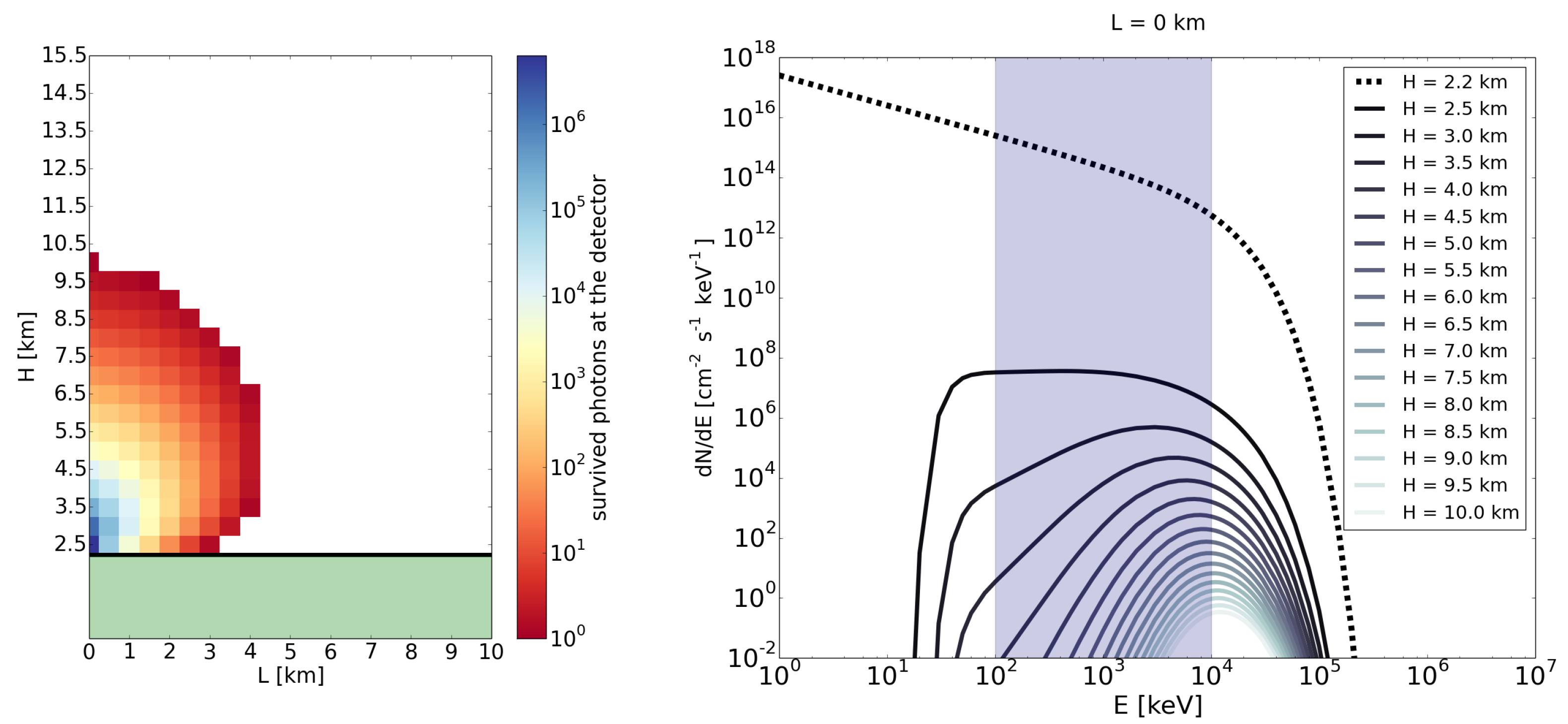
5. Results
5.1. Fraction of Survived Photons at Ground
5.2. Different Configurations
6. Lightning Activity
7. Conclusions
Author Contributions
Funding
Data Availability Statement
Acknowledgments
Conflicts of Interest
References
- Gurevich, A.V.; Milikh, G.M.; Roussel-Dupre, R. Runaway electron mechanism of air breakdown and preconditioning during a thunderstorm. Phys. Lett. A 1992, 165, 463–468. [Google Scholar] [CrossRef]
- Dwyer, J.R.; Uman, M.A.; Rassoul, H.K.; Al-Dayeh, M.; Caraway, L.; Jerauld, J.; Rakov, V.A.; Jordan, D.M.; Rambo, K.J.; Corbin, V.; et al. Energetic Radiation Produced During Rocket-Triggered Lightning. Science 2003, 299, 694–697. [Google Scholar] [CrossRef] [PubMed]
- Smith, D.M.; Dwyer, J.R.; Hazelton, B.J.; Grefenstette, B.W.; Martinez-McKinney, G.F.M.; Zhang, Z.Y.; Lowell, A.W.; Kelley, N.A.; Splitt, M.E.; Lazarus, S.M.; et al. A terrestrial gamma ray flash observed from an aircraft. J. Geophys. Res. 2011, 116, 20124. [Google Scholar] [CrossRef] [Green Version]
- Bowers, G.S.; Smith, D.M.; Kelley, N.A.; Martinez-McKinney, G.F.; Cummer, S.A.; Dwyer, J.R.; Heckman, S.; Holzworth, R.H.; Marks, F.; Reasor, P.; et al. A Terrestrial Gamma-Ray Flash inside the Eyewall of Hurricane Patricia. J. Geophys. Res. 2018, 123, 4977–4987. [Google Scholar] [CrossRef]
- Tran, M.D.; Rakov, V.A.; Mallick, S.; Dwyer, J.R.; Nag, A.; Heckman, S. A terrestrial gamma-ray flash recorded at the Lightning Observatory in Gainesville, Florida. J. Atmos. Sol. Terr. Phys. 2015, 136, 86–93. [Google Scholar] [CrossRef] [Green Version]
- Abbasi, R.U.; Abu-Zayyad, T.; Allen, M.; Barcikowski, E.; Belz, J.W.; Bergman, D.R.; Blake, S.A.; Byrne, M.; Cady, R.; Cheon, B.; et al. Gamma Ray Showers Observed at Ground Level in Coincidence with Downward Lightning Leaders. J. Geophys. Res. Atmos. 2018, 123, 6864–6879. [Google Scholar] [CrossRef]
- Enoto, T.; Wada, Y.; Furuta, Y.; Nakazawa, K.; Yuasa, T.; Okuda, K.; Makishima, K.; Sato, M.; Sato, Y.; Nakano, T.; et al. Photonuclear reactions triggered by lightning discharge. Nature 2017, 551, 481–484. [Google Scholar] [CrossRef]
- Bowers, G.S.; Smith, D.M.; Martinez-McKinney, G.F.; Kamogawa, M.; Cummer, S.A.; Dwyer, J.R.; Wang, D.; Stock, M.; Kawasaki, Z. Gamma Ray Signatures of Neutrons From a Terrestrial Gamma Ray Flash. Geophys. Res. Lett. 2017, 44, 10. [Google Scholar] [CrossRef]
- Pleshinger, D.J.; Alnussirat, S.T.; Arias, J.; Bai, S.; Banadaki, Y.; Cherry, M.L.; Hoffman, J.H.; Khosravi, E.; Legault, M.D.; Rodriguez, R.; et al. Gamma Ray Flashes Produced by Lightning Observed at Ground Level by TETRA-II. J. Geophys. Res. 2019, 124, 9229–9238. [Google Scholar] [CrossRef] [Green Version]
- Wada, Y.; Enoto, T.; Nakazawa, K.; Furuta, Y.; Yuasa, T.; Nakamura, Y.; Morimoto, T.; Matsumoto, T.; Makishima, K.; Tsuchiya, H. Downward Terrestrial Gamma-Ray Flash Observed in a Winter Thunderstorm. Phys. Rev. Lett. 2019, 123, 061103. [Google Scholar] [CrossRef] [Green Version]
- Belz, J.W.; Krehbiel, P.R.; Remington, J.; Stanley, M.A.; Abbasi, R.U.; LeVon, R.; Rison, W.; Rodeheffer, D.; Abu-Zayyad, T.; Allen, M.; et al. Observations of the Origin of Downward Terrestrial Gamma-Ray Flashes. J. Geophys. Res. 2020, 125, e31940. [Google Scholar] [CrossRef]
- Dwyer, J.R.; Rassoul, H.K.; Al-Dayeh, M.; Caraway, L.; Wright, B.; Chrest, A.; Uman, M.A.; Rakov, V.A.; Rambo, K.J.; Jordan, D.M.; et al. A ground level gamma-ray burst observed in association with rocket-triggered lightning. Geophys. Res. Lett. 2004, 31, L05119. [Google Scholar] [CrossRef] [Green Version]
- Hare, B.M.; Uman, M.A.; Dwyer, J.R.; Jordan, D.M.; Biggerstaff, M.I.; Caicedo, J.A.; Carvalho, F.L.; Wilkes, R.A.; Kotovsky, D.A.; Gamerota, W.R.; et al. Ground-level observation of a terrestrial gamma ray flash initiated by a triggered lightning. J. Geophys. Res. 2016, 121, 6511–6533. [Google Scholar] [CrossRef] [Green Version]
- Smith, D.M.; Bowers, G.S.; Kamogawa, M.; Wang, D.; Ushio, T.; Ortberg, J.; Dwyer, J.R.; Stock, M. Characterizing Upward Lightning with and without a Terrestrial Gamma Ray Flash. J. Geophys. Res. 2018, 123, 11321–11332. [Google Scholar] [CrossRef]
- Ortberg, J.; Smith, D.M.; Li, J.; Dwyer, J.; Bowers, G. Detecting an Upward Terrestrial Gamma Ray Flash from its Reverse Positron Beam. J. Geophys. Res. 2020, 125, e30942. [Google Scholar] [CrossRef]
- Pu, Y.; Cummer, S.A.; Huang, A.; Briggs, M.; Mailyan, B.; Lesage, S. A Satellite-Detected Terrestrial Gamma Ray Flash Produced by a Cloud-to-Ground Lightning Leader. Geophys. Res. Lett. 2020, 47, e89427. [Google Scholar] [CrossRef]
- Torii, T.; Takeishi, M.; Hosono, T. Observation of gamma-ray dose increase associated with winter thunderstorm and lightning activity. J. Geophys. Res. 2002, 107, 4324. [Google Scholar] [CrossRef]
- Chilingarian, A.; Daryan, A.; Arakelyan, K.; Hovhannisyan, A.; Mailyan, B.; Melkumyan, L.; Hovsepyan, G.; Chilingaryan, S.; Reymers, A.; Vanyan, L. Ground-based observations of thunderstorm-correlated fluxes of high-energy electrons, gamma rays, and neutrons. Phys. Rev. D 2010, 82, 043009. [Google Scholar] [CrossRef]
- Tsuchiya, H.; Enoto, T.; Yamada, S.; Yuasa, T.; Kawaharada, M.; Kitaguchi, T.; Kokubun, M.; Kato, H.; Okano, M.; Nakamura, S.; et al. Detection of High-Energy Gamma Rays from Winter Thunderclouds. Phys. Rev. Lett. 2007, 99, 165002. [Google Scholar] [CrossRef] [Green Version]
- Tsuchiya, H.; Enoto, T.; Yamada, S.; Yuasa, T.; Nakazawa, K.; Kitaguchi, T.; Kawaharada, M.; Kokubun, M.; Kato, H.; Okano, M.; et al. Long-duration γ ray emissions from 2007 and 2008 winter thunderstorms. J. Geophys. Res. 2011, 116, D09113. [Google Scholar] [CrossRef] [Green Version]
- Chilingarian, A.; Bostanjyan, N.; Vanyan, L. Neutron bursts associated with thunderstorms. Phys. Rev. D 2012, 85, 085017. [Google Scholar] [CrossRef]
- Tsuchiya, H.; Hibino, K.; Kawata, K.; Hotta, N.; Tateyama, N.; Ohnishi, M.; Takita, M.; Chen, D.; Huang, J.; Miyasaka, M.; et al. Observation of thundercloud-related gamma rays and neutrons in Tibet. Phys. Rev. D 2012, 85, 092006. [Google Scholar] [CrossRef] [Green Version]
- Alekseenko, V.; Arneodo, F.; Bruno, G.; Di Giovanni, A.; Fulgione, W.; Gromushkin, D.; Shchegolev, O.; Stenkin, Y.; Stepanov, V.; Sulakov, V.; et al. Decrease of Atmospheric Neutron Counts Observed during Thunderstorms. Phys. Rev. Lett. 2015, 114, 125003. [Google Scholar] [CrossRef] [PubMed]
- Tavani, M.; Barbiellini, G.; Argan, A.; Boffelli, F.; Bulgarelli, A.; Caraveo, P.; Cattaneo, P.W.; Chen, A.W.; Cocco, V.; Costa, E.; et al. The AGILE Mission. Astron. Astrophys. 2009, 502, 995–1013. [Google Scholar] [CrossRef]
- Marisaldi, M.; Fuschino, F.; Labanti, C.; Galli, M.; Longo, F.; Del Monte, E.; Barbiellini, G.; Tavani, M.; Giuliani, A.; Moretti, E.; et al. Detection of terrestrial gamma ray flashes up to 40 MeV by the AGILE satellite. J. Geophys. Res. 2010, 115. [Google Scholar] [CrossRef]
- Tavani, M.; Marisaldi, M.; Labanti, C.; Fuschino, F.; Argan, A.; Trois, A.; Giommi, P.; Colafrancesco, S.; Pittori, C.; Palma, F.; et al. Terrestrial Gamma-Ray Flashes as Powerful Particle Accelerators. Phys. Rev. Lett. 2011, 106, 018501. [Google Scholar] [CrossRef]
- Tavani, M.; Argan, A.; Paccagnella, A.; Pesoli, A.; Palma, F.; Gerardin, S.; Bagatin, M.; Trois, A.; Picozza, P.; Benvenuti, P.; et al. Possible effects on avionics induced by terrestrial gamma-ray flashes. Nat. Hazards Earth Syst. Sci. 2013, 13, 1127–1133. [Google Scholar] [CrossRef] [Green Version]
- Marisaldi, M.; Argan, A.; Ursi, A.; Gjesteland, T.; Fuschino, F.; Labanti, C.; Galli, M.; Tavani, M.; Pittori, C.; Verrecchia, F.; et al. Enhanced detection of terrestrial gamma-ray flashes by AGILE. Geophys. Res. Lett. 2015, 42, 9481–9487. [Google Scholar] [CrossRef] [Green Version]
- Ursi, A.; Marisaldi, M.; Tavani, M.; Casella, D.; Sanò, P.; Dietrich, S. Detection of multiple terrestrial gamma-ray flashes from thunderstorm systems. J. Geophys. Res. 2016, 121, 11. [Google Scholar] [CrossRef] [Green Version]
- Ursi, A.; Guidorzi, C.; Marisaldi, M.; Sarria, D.; Frontera, F. Terrestrial gamma-ray flashes in the BeppoSAX data archive. J. Atmos. Sol. Terr. Phys. 2017, 156, 50–56. [Google Scholar] [CrossRef]
- Marisaldi, M.; Galli, M.; Labanti, C.; Østgaard, N.; Sarria, D.; Cummer, S.A.; Lyu, F.; Lindanger, A.; Campana, R.; Ursi, A.; et al. On the High-Energy Spectral Component and Fine Time Structure of Terrestrial Gamma Ray Flashes. J. Geophys. Res. 2019, 124, 7484–7497. [Google Scholar] [CrossRef]
- Lindanger, A.; Marisaldi, M.; Maiorana, C.; Sarria, D.; Albrechtsen, K.; Østgaard, N.; Galli, M.; Ursi, A.; Labanti, C.; Tavani, M.; et al. The 3rd AGILE Terrestrial Gamma Ray Flash Catalog. Part I: Association to Lightning Sferics. J. Geophys. Res. Atmos. 2020, 125, e2019JD031985. [Google Scholar] [CrossRef]
- Maiorana, C.; Marisaldi, M.; Lindanger, A.; Østgaard, N.; Ursi, A.; Sarria, D.; Galli, M.; Labanti, C.; Tavani, M.; Pittori, C.; et al. The 3rd AGILE Terrestrial Gamma-ray Flashes Catalog. Part II: Optimized Selection Criteria and Characteristics of the New Sample. J. Geophys. Res. Atmos. 2020, 125, e2019JD031986. [Google Scholar] [CrossRef]
- Arnone, E.; Bór, J.; Chanrion, O.; Barta, V.; Dietrich, S.; Enell, C.F.; Farges, T.; Füllekrug, M.; Kero, A.; Labanti, R.; et al. Climatology of Transient Luminous Events and Lightning Observed Above Europe and the Mediterranean Sea. Surv. Geophys. 2019, 41, 167–199. [Google Scholar] [CrossRef] [Green Version]
- Smith, D.M.; Dwyer, J.R.; Hazelton, B.J.; Grefenstette, B.W.; Martinez-McKinney, G.F.M.; Zhang, Z.Y.; Lowell, A.W.; Kelley, N.A.; Splitt, M.E.; Lazarus, S.M.; et al. The rarity of terrestrial gamma-ray flashes. Geophys. Res. Lett. 2011, 38. [Google Scholar] [CrossRef] [Green Version]
- Østgaard, N.; Gjesteland, T.; Hansen, R.S.; Collier, A.B.; Carlson, B. The true fluence distribution of terrestrial gamma flashes at satellite altitude. J. Geophys. Res. 2012, 117, 3327. [Google Scholar] [CrossRef] [Green Version]
- Gjesteland, T.; Østgaard, N.; Collier, A.B.; Carlson, B.E.; Cohen, M.B.; Lehtinen, N.G. Confining the angular distribution of terrestrial gamma ray flash emission. J. Geophys. Res. 2011, 116, A11313. [Google Scholar] [CrossRef] [Green Version]
- Minzner, R.A. The 1976 Standard Atmosphere and its relationship to earlier standards. Rev. Geophys. 1977, 15, 375–384. [Google Scholar] [CrossRef]
- Dwyer, J.R.; Smith, D.M. A comparison between Monte Carlo simulations of runaway breakdown and terrestrial gamma-ray flash observations. Geophys. Res. Lett. 2005, 32, 22804. [Google Scholar] [CrossRef] [Green Version]
- Berge, N.; Celestin, S. Constraining Downward Terrestrial Gamma Ray Flashes Using Ground-Based Particle Detector Arrays. Geophys. Res. Lett. 2019, 46, 8424–8430. [Google Scholar] [CrossRef] [Green Version]
- Agostinelli, S.; Allison, J.; Amako, K.A.; Apostolakis, J.; Araujo, H.; Arce, P.; Asai, M.; Axen, D.; Banerjee, S.; Barrand, G.; et al. Geant4—A simulation toolkit. Nucl. Instr. Meth. A 2003, 506, 250–303. [Google Scholar] [CrossRef] [Green Version]
- Allison, J.; Amako, K.; Apostolakis, J.; Araujo, H.; Arce, P.; Asai, M.; Barrand, G.; Capra, R.; Chauvie, S.; Chytracek, R.; et al. Geant4 Developments and Applications. IEEE Trans. Nucl. Sci. 2006, 53, 270–278. [Google Scholar] [CrossRef] [Green Version]
- Allison, J.; Amako, K.; Apostolakis, J.; Arce, P.; Asai, M.; Aso, T.; Bagli, E.; Bagulya, A.; Banerjee, S.; Barrand, G.; et al. Recent developments in Geant4. Nucl. Instrum. Methods Phys. Res. Sect. A Accel. Spectrometers Detect. Assoc. Equip. 2016, 835, 186–225. [Google Scholar] [CrossRef]
- Betz, H.; Schmidt, K.; Laroche, P.; Blanchet, P.; Oettinger, W.; Defer, E.; Dziewit, Z.; Konarski, J. LINET—An international lightning detection network in Europe. Atmos. Res. 2009, 91, 564–573. [Google Scholar] [CrossRef]










| 110 | 170 | 240 | 430 | 580 | 730 | |
| 60 | 110 | 170 | 330 | 450 | 720 | |
| 60 | 110 | 170 | 250 | 440 | 590 | |
| 60 | 100 | 160 | 240 | 340 | 580 |
Publisher’s Note: MDPI stays neutral with regard to jurisdictional claims in published maps and institutional affiliations. |
© 2022 by the authors. Licensee MDPI, Basel, Switzerland. This article is an open access article distributed under the terms and conditions of the Creative Commons Attribution (CC BY) license (https://creativecommons.org/licenses/by/4.0/).
Share and Cite
Ursi, A.; Rodriguez Fernandez, G.; Tiberia, A.; Virgilli, E.; Arnone, E.; Preziosi, E.; Campana, R.; Tavani, M. A Study on TGF Detectability at 2165 m Altitude: Estimates for the Mountain-Based Gamma-Flash Experiment. Remote Sens. 2022, 14, 3103. https://doi.org/10.3390/rs14133103
Ursi A, Rodriguez Fernandez G, Tiberia A, Virgilli E, Arnone E, Preziosi E, Campana R, Tavani M. A Study on TGF Detectability at 2165 m Altitude: Estimates for the Mountain-Based Gamma-Flash Experiment. Remote Sensing. 2022; 14(13):3103. https://doi.org/10.3390/rs14133103
Chicago/Turabian StyleUrsi, Alessandro, Gonzalo Rodriguez Fernandez, Alessandra Tiberia, Enrico Virgilli, Enrico Arnone, Enrico Preziosi, Riccardo Campana, and Marco Tavani. 2022. "A Study on TGF Detectability at 2165 m Altitude: Estimates for the Mountain-Based Gamma-Flash Experiment" Remote Sensing 14, no. 13: 3103. https://doi.org/10.3390/rs14133103
APA StyleUrsi, A., Rodriguez Fernandez, G., Tiberia, A., Virgilli, E., Arnone, E., Preziosi, E., Campana, R., & Tavani, M. (2022). A Study on TGF Detectability at 2165 m Altitude: Estimates for the Mountain-Based Gamma-Flash Experiment. Remote Sensing, 14(13), 3103. https://doi.org/10.3390/rs14133103

