Estimation of Aboveground Carbon Density of Forests Using Deep Learning and Multisource Remote Sensing
Abstract
:1. Introduction
2. Materials and Methods
2.1. Description of Study Area
2.2. Data Collection and Processing
2.2.1. Field Data
2.2.2. Optical and Radar Data Processing
2.3. Characteristic Variables Selection
2.4. Experimental Models
2.4.1. Multiple Linear Regression
2.4.2. Support Vector Machine
2.4.3. Random Forest
2.4.4. Keras
2.4.5. Convolutional Neural Network
2.5. Model Accuracy Evaluation
3. Results
3.1. Predicted Variables
3.2. Model Test Results
3.2.1. MLR Model
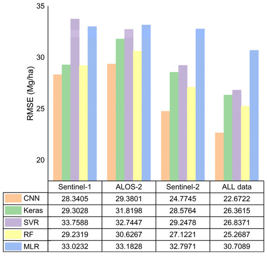
3.2.2. Machine-Learning Model
3.3. Mapping Spatial Distribution of Forest
4. Discussion
4.1. Forest-Resource Inventory Data and Satellite Data
4.2. Variable Selection
4.3. Model Comparison
5. Conclusions
Author Contributions
Funding
Data Availability Statement
Acknowledgments
Conflicts of Interest
References
- Tang, H.; Hong, Q.; Xu, B. Landscape performance assessment of phase I of greenway around Qingshan Lake National Forest Park, Zhejiang Province. J. Zhejiang A&F Univ. 2020, 37, 1177–1185. [Google Scholar]
- Chen, L.; Wang, Y.; Ren, C.; Zhang, B.; Wang, Z. Assessment of multi-wavelength SAR and multispectral instrument data for forest aboveground biomass mapping using random forest kriging. For. Ecol. Manag. 2019, 447, 12–25. [Google Scholar] [CrossRef]
- Wu, M.; Dong, G.; Wang, Y.; Xiong, R.; Li, Y.; Cheng, W.; Fu, Z.; Fan, S. Estimation of forest aboveground carbon storage in Sichuan Miyaluo Nature Reserve based on remote sensing. Acta Ecol. Sin. 2020, 40, 621–628. [Google Scholar]
- Liu, N.; Caldwell, P.V.; Dobbs, G.R.; Miniat, C.F.; Bolstad, P.V.; Nelson, S.A.C.; Sun, G. Forested lands dominate drinking water supply in the conterminous United States. Environ. Res. Lett. 2021, 16, 084008. [Google Scholar] [CrossRef]
- Cheng, W.X.; Yang, C.J.; Zhou, W.C.; Liu, Y.C. Research summary of forest volume quantitative estimation based on remote sensing technology. J. Anhui Sci. 2009, 37, 7746–7750. [Google Scholar] [CrossRef]
- Wang, X.; Shao, G.; Chen, H.; Lewis, B.J.; Qi, G.; Yu, D.; Zhou, L.; Dai, L. An Application of Remote Sensing Data in Mapping Landscape-Level Forest Biomass for Monitoring the Effectiveness of Forest Policies in Northeastern China. Environ. Manag. 2013, 52, 612–620. [Google Scholar] [CrossRef]
- Mu, B.; Zhao, X.; Zhao, J.; Liu, N.; Si, L.; Wang, Q.; Sun, N.; Sun, M.; Guo, Y.; Zhao, S. Quantitatively Assessing the Impact of Driving Factors on Vegetation Cover Change in China’s 32 Major Cities. Remote Sens. 2022, 14, 839. [Google Scholar] [CrossRef]
- Fu, Y. Aboveground biomass estimation and uncertainties assessing on regional scale with an improved model analysis method. Hubei For. Sci. Technol. 2018, 47, 1–4+38. [Google Scholar]
- Liu, N.; Sun, P.; Caldwell, P.V.; Harper, R.; Liu, S.; Sun, G. Trade-off between watershed water yield and ecosystem productivity along elevation gradients on a complex terrain in southwestern China. J. Hydrol. 2020, 590, 125449. [Google Scholar] [CrossRef]
- Bi, H.; Murphy, S.; Volkova, L.; Weston, C.; Fairman, T.; Li, Y.; Law, R.; Norris, J.; Lei, X.; Caccamo, G. Additive biomass equations based on complete weighing of sample trees for open eucalypt forest species in south-eastern Australia. For. Ecol. Manag. 2015, 349, 106–121. [Google Scholar] [CrossRef]
- Vahtmae, E.; Kotta, J.; Lougas, L.; Kutser, T. Mapping spatial distribution, percent cover and biomass of benthic vegetation in optically complex coastal waters using hyperspectral CASI and multispectral Sentinel-2 sensors. Int. J. Appl. Earth Obs. Geoinf. 2021, 102, 102444. [Google Scholar] [CrossRef]
- Pan, L.; Sun, Y.J.; Wang, Y.F. Estimation of aboveground biomass in a Chinese fir (Cunninghamia lanceolata) forest combining data of Sentinel-1 and Sentinel-2. J. Nanjing For. Univ. Nat. Sci. Ed. 2020, 44, 149–156. [Google Scholar]
- Chrysafis, I.; Mallinis, G.; Tsakiri, M.; Patias, P. Evaluation of single-date and multi-seasonal spatial and spectral information of Sentinel-2 imagery to assess growing stock volume of a Mediterranean forest. Int. J. Appl. Earth Obs. Geoinf. 2019, 77, 1–14. [Google Scholar] [CrossRef]
- Naidoo, L.; van Deventer, H.; Ramoelo, A.; Mathieu, R.; Nondlazi, B.; Gangat, R. Estimating above ground biomass as an indicator of carbon storage in vegetated wetlands of the grassland biome of South Africa. Int. J. Appl. Earth Obs. Geoinf. 2019, 78, 118–129. [Google Scholar] [CrossRef]
- Jiang, M.; Ding, X.; Hanssen, R.F.; Malhotra, R.; Chang, L. Fast Statistically Homogeneous Pixel Selection for Covariance Matrix Estimation for Multitemporal InSAR. IEEE Trans. Geosci. Remote Sens. 2015, 53, 1213–1224. [Google Scholar] [CrossRef]
- Jiang, M.; Guarnieri, A.M. Distributed Scatterer Interferometry With the Refinement of Spatiotemporal Coherence. Ieee Trans. Geosci. Remote Sens. 2020, 58, 3977–3987. [Google Scholar] [CrossRef]
- Xiao, R.; Jiang, M.; Li, Z.; He, X. New insights into the 2020 Sardoba dam failure in Uzbekistan from Earth observation. Int. J. Appl. Earth Obs. Geoinf. 2022, 107, 102705. [Google Scholar] [CrossRef]
- Tian, X.; Jiang, M.; Xiao, R.; Malhotra, R. Bias Removal for Goldstein Filtering Power Using a Second Kind Statistical Coherence Estimator. Remote Sens. 2018, 10, 1559. [Google Scholar] [CrossRef] [Green Version]
- Dinh Ho Tong, M.; Thuy Le, T.; Rocca, F.; Tebaldini, S.; d’Alessandro, M.M.; Villard, L. Relating P-Band Synthetic Aperture Radar Tomography to Tropical Forest Biomass. IEEE Trans. Geosci. Remote Sens. 2014, 52, 967–979. [Google Scholar] [CrossRef]
- Gholizadeh, A.; Misurec, J.; Kopackova, V.; Mielke, C.; Rogass, C. Assessment of Red-Edge Position Extraction Techniques: A Case Study for Norway Spruce Forests Using HyMap and Simulated Sentinel-2 Data. Forests 2016, 7, 226. [Google Scholar] [CrossRef] [Green Version]
- Udali, A.; Lingua, E.; Persson, H.J. Assessing Forest Type and Tree Species Classification Using Sentinel-1 C-Band SAR Data in Southern Sweden. Remote Sens. 2021, 13, 3237. [Google Scholar] [CrossRef]
- Vafaei, S.; Soosani, J.; Adeli, K.; Fadaei, H.; Naghavi, H.; Pham, T.D.; Bui, D.T. Improving Accuracy Estimation of Forest Aboveground Biomass Based on Incorporation of ALOS-2 PALSAR-2 and Sentinel-2A Imagery and Machine Learning: A Case Study of the Hyrcanian Forest Area (Iran). Remote Sens. 2018, 10, 172. [Google Scholar] [CrossRef] [Green Version]
- Stelmaszczuk-Gorska, M.A.; Urbazaev, M.; Schmullius, C.; Thiel, C. Estimation of Above-Ground Biomass over Boreal Forests in Siberia Using Updated In Situ, ALOS-2 PALSAR-2, and RADARSAT-2 Data. Remote Sens. 2018, 10, 1550. [Google Scholar] [CrossRef] [Green Version]
- Laurin, G.V.; Pirotti, F.; Callegari, M.; Chen, Q.; Cuozzo, G.; Lingua, E.; Notarnicola, C.; Papale, D. Potential of ALOS2 and NDVI to Estimate Forest Above-Ground Biomass, and Comparison with Lidar-Derived Estimates. Remote Sens. 2017, 9, 18. [Google Scholar] [CrossRef] [Green Version]
- Santoro, M.; Cartus, O. Research Pathways of Forest Above-Ground Biomass Estimation Based on SAR Backscatter and Interferometric SAR Observations. Remote Sens. 2018, 10, 608. [Google Scholar] [CrossRef] [Green Version]
- Wu, C.; Tao, H.; Zhai, M.; Lin, Y.; Wang, K.; Deng, J.; Shen, A.; Gan, M.; Li, J.; Yang, H. Using nonparametric modeling approaches and remote sensing imagery to estimate ecological welfare forest biomass. J. For. Res. 2018, 29, 151–161. [Google Scholar] [CrossRef]
- Ndikumana, E.; Dinh Ho Tong, M.; Hai Thu Dang, N.; Baghdadi, N.; Courault, D.; Hossard, L.; El Moussawi, I. Estimation of Rice Height and Biomass Using Multitemporal SAR Sentinel-1 for Camargue, Southern France. Remote Sens. 2018, 10, 1394. [Google Scholar] [CrossRef] [Green Version]
- Vamosi, S.; Reutterer, T.; Platzer, M. A deep recurrent neural network approach to learn sequence similarities for user-identification. Decis. Support Syst. 2022, 155, 113718. [Google Scholar] [CrossRef]
- Castro, W.; Marcato, J., Jr.; Polidoro, C.; Osco, L.P.; Goncalves, W.; Rodrigues, L.; Santos, M.; Jank, L.; Barrios, S.; Valle, C.; et al. Deep Learning Applied to Phenotyping of Biomass in Forages with UAV-Based RGB Imagery. Sensors 2020, 20, 4802. [Google Scholar] [CrossRef]
- Ghosh, S.M.; Behera, M.D. Aboveground biomass estimates of tropical mangrove forest using Sentinel-1 SAR coherence data-The superiority of deep learning over a semi-empirical model. Comput. Geosci. 2021, 150, 104737. [Google Scholar] [CrossRef]
- Xing, W.; Qian, Y.; Guan, X.; Yang, T.; Wu, H. A novel cellular automata model integrated with deep learning for dynamic spatio-temporal land use change simulation. Comput. Geosci. 2020, 137, 104430. [Google Scholar] [CrossRef]
- Kim, J.; Kim, H.; Jeon, H.; Jeong, S.H.; Song, J.Y.; Vadivel, S.K.P.; Kim, D.J. Synergistic Use of Geospatial Data for Water Body Extraction from Sentinel-1 Images for Operational Flood Monitoring across Southeast Asia Using Deep Neural Networks. Remote Sens. 2021, 13, 4759. [Google Scholar] [CrossRef]
- Li, X.H. Using “random forest” for classification and regression. Chin. J. Appl. Entomol. 2013, 50, 1190–1197. [Google Scholar]
- Huang, X.; Wang, Z.; Xu, X. Comparison of fitting approaches with biomass expansion factor equations. J. Zhejiang A&F Univ. 2017, 34, 775–781. [Google Scholar]
- Li, S.-M.; Yang, C.-Q.; Wang, H.-N.; Ge, L.-Q. Carbon storage of forest stands in Shandong Province estimated by forestry inventory data. Ying Yong Sheng Tai Xue Bao J. Appl. Ecol. 2014, 25, 2215–2220. [Google Scholar]
- Saatchi, S.S.; Harris, N.L.; Brown, S.; Lefsky, M.; Mitchard, E.T.A.; Salas, W.; Zutta, B.R.; Buermann, W.; Lewis, S.L.; Hagen, S.; et al. Benchmark map of forest carbon stocks in tropical regions across three continents. Proc. Natl. Acad. Sci. USA 2011, 108, 9899–9904. [Google Scholar] [CrossRef] [Green Version]
- Liu, H.; Lei, R. Research Methods and Advances of Carbon Storage and Balance in Forest Ecosystems of China. Acta Bot. Boreali-Occident. Sin. 2005, 25, 835–843. [Google Scholar]
- Liu, Y.; Zhang, Y.; Liu, S. Aboveground carbon stock evaluation with different restoration approaches using tree ring chronosequences in Southwest China. For. Ecol. Manag. 2012, 263, 39–46. [Google Scholar] [CrossRef]
- Dixon, R.K. Carbon Pools and Flux of Global Forest Ecosystems. Science 1994, 265, 171. [Google Scholar] [CrossRef]
- Tien Dat, P.; Yokoya, N.; Xia, J.; Nam Thang, H.; Nga Nhu, L.; Thi Thu Trang, N.; Thi Huong, D.; Thuy Thi Phuong, V.; Tien Duc, P.; Takeuchi, W. Comparison of Machine Learning Methods for Estimating Mangrove Above-Ground Biomass Using Multiple Source Remote Sensing Data in the Red River Delta Biosphere Reserve, Vietnam. Remote Sens. 2020, 12, 1334. [Google Scholar] [CrossRef] [Green Version]
- Tian, X.; Malhotra, R.; Xu, B.; Qi, H.; Ma, Y. Modeling Orbital Error in InSAR Interferogram Using Frequency and Spatial Domain Based Methods. Remote Sens. 2018, 10, 508. [Google Scholar] [CrossRef] [Green Version]
- Vieilledent, G.; Vaudry, R.; Andriamanohisoa, S.; Rakotonarivo, O.S.; Randrianasolo, H.Z.; Razafindrabe, H.N.; Rakotoarivony, C.B.; Rasamoelina, J.E. A universal approach to estimate biomass and carbon stock in tropical forests using generic allometric models. Ecol. Appl. 2012, 22, 572–583. [Google Scholar] [CrossRef] [PubMed]
- Xu, Z.Y. Forest biomass retrieval based on Sentinel-1A and Landsat 8 image. J. Cent. South Univ. For. Technol. 2020, 40, 147–155. [Google Scholar] [CrossRef]
- Godinho Cassol, H.L.; de Brito Carreiras, J.M.; Moraes, E.C.; Oliveira e Cruz de Aragao, L.E.; de Jesus Silva, C.V.; Quegan, S.; Shimabukuro, Y.E. Retrieving Secondary Forest Aboveground Biomass from Polarimetric ALOS-2 PALSAR-2 Data in the Brazilian Amazon. Remote Sens. 2019, 11, 59. [Google Scholar] [CrossRef] [Green Version]
- Camps-Valls, G.; Gomez-Chova, L.; Munoz-Mari, J.; Vila-Frances, J.; Amoros-Lopez, J.; Calpe-Maravilla, J. Retrieval of oceanic chlorophyll concentration with relevance vector machines. Remote Sens. Environ. 2006, 105, 23–33. [Google Scholar] [CrossRef]
- Du, H.; Mao, F.; Zhou, G.; Li, X.; Xu, X.; Ge, H.; Cui, L.; Liu, Y.; Zhu, D.e.; Li, Y. Estimating and Analyzing the Spatiotemporal Pattern of Aboveground Carbon in Bamboo Forest by Combining Remote Sensing Data and Improved BIOME-BGC Model. IEEE J. Sel. Top. Appl. Earth Obs. Remote Sens. 2018, 11, 2282–2295. [Google Scholar] [CrossRef]
- Axelsson, C.; Skidmore, A.K.; Schlerf, M.; Fauzi, A.; Verhoef, W. Hyperspectral analysis of mangrove foliar chemistry using PLSR and support vector regression. Int. J. Remote Sens. 2013, 34, 1724–1743. [Google Scholar] [CrossRef]
- Breiman, L. Random forests. Mach. Learn. 2001, 45, 5–32. [Google Scholar] [CrossRef] [Green Version]
- Lausch, A.; Erasmi, S.; King, D.J.; Magdon, P.; Heurich, M. Understanding Forest Health with Remote Sensing-Part II—A Review of Approaches and Data Models. Remote Sens. 2017, 9, 129. [Google Scholar] [CrossRef] [Green Version]
- Osah, S.; Acheampong, A.A.; Fosu, C.; Dadzie, I. Deep learning model for predicting daily IGS zenith tropospheric delays in West Africa using TensorFlow and Keras. Adv. Space Res. 2021, 68, 1243–1262. [Google Scholar] [CrossRef]
- Moolayil, J. Learn Keras for Deep Neural Networks: A Fast-Track Approach to Modern Deep Learning with Python; Apress: New York, NY, USA, 2019. [Google Scholar]
- Li, Y.; Zhang, H.; Xue, X.; Jiang, Y.; Shen, Q. Deep learning for remote sensing image classification: A survey. Wiley Interdiscip. Rev. Data Min. Knowl. Discov. 2018, 8, e1264. [Google Scholar] [CrossRef] [Green Version]
- Dong, L.; Du, H.; Han, N.; Li, X.; Zhu, D.e.; Mao, F.; Zhang, M.; Zheng, J.; Liu, H.; Huang, Z.; et al. Application of Convolutional Neural Network on Lei Bamboo Above-Ground-Biomass (AGB) Estimation Using Worldview-2. Remote Sens. 2020, 12, 958. [Google Scholar] [CrossRef] [Green Version]
- Fu, G.; Liu, C.; Zhou, R.; Sun, T.; Zhang, Q. Classification for High Resolution Remote Sensing Imagery Using a Fully Convolutional Network. Remote Sens. 2017, 9, 498. [Google Scholar] [CrossRef] [Green Version]
- Saud, P.; Lynch, T.B.; Anup, K.C.; Guldin, J.M. Using quadratic mean diameter and relative spacing index to enhance height-diameter and crown ratio models fitted to longitudinal data. Forestry 2016, 89, 215–229. [Google Scholar] [CrossRef] [Green Version]
- Sarker, L.R.; Nichol, J.E. Improved forest biomass estimates using ALOS AVNIR-2 texture indices. Remote Sens. Environ. 2011, 115, 968–977. [Google Scholar] [CrossRef]
- Ma, J.; Xiao, X.; Qin, Y.; Chen, B.; Hu, Y.; Li, X.; Zhao, B. Estimating aboveground biomass of broadleaf, needleleaf, and mixed forests in Northeastern China through analysis of 25-m ALOS/PALSAR mosaic data. For. Ecol. Manag. 2017, 389, 199–210. [Google Scholar] [CrossRef]
- Rutishauser, E.; Noor’an, F.; Laumonier, Y.; Halperin, J.; Rufi’ie; Hergoualc’h, K.; Verchot, L. Generic allometric models including height best estimate forest biomass and carbon stocks in Indonesia. For. Ecol. Manag. 2013, 307, 219–225. [Google Scholar] [CrossRef]
- Gao, Y.; Lu, D.; Li, G.; Wang, G.; Chen, Q.; Liu, L.; Li, D. Comparative Analysis of Modeling Algorithms for Forest Aboveground Biomass Estimation in a Subtropical Region. Remote Sens. 2018, 10, 627. [Google Scholar] [CrossRef] [Green Version]
- Laurin, G.V.; Balling, J.; Corona, P.; Mattioli, W.; Papale, D.; Puletti, N.; Rizzo, M.; Truckenbrodt, J.; Urban, M. Above-ground biomass prediction by Sentinel-1 multitemporal data in central Italy with integration of ALOS2 and Sentinel-2 data. J. Appl. Remote Sens. 2018, 12, 016008. [Google Scholar] [CrossRef]
- Balzter, H.; Baker, J.R.; Hallikainen, M.; Tomppo, E. Retrieval of timber volume and snow water equivalent over a Finnish boreal forest from airborne polarimetric Synthetic Aperture Radar. Int. J. Remote Sens. 2002, 23, 3185–3208. [Google Scholar] [CrossRef] [Green Version]
- Sadeghi, Y.; St-Onge, B.; Leblon, B.; Prieur, J.-F.; Simard, M. Mapping boreal forest biomass from a SRTM and TanDEM-X based on canopy height model and Landsat spectral indices. Int. J. Appl. Earth Obs. Geoinf. 2018, 68, 202–213. [Google Scholar] [CrossRef]
- Hunter, M.O.; Keller, M.; Victoria, D.; Morton, D.C. Tree height and tropical forest biomass estimation. Biogeosciences 2013, 10, 8385–8399. [Google Scholar] [CrossRef] [Green Version]
- Shi, J.; Du, Y.; Du, J.; Jiang, L.; Chai, L.; Mao, K.; Xu, P.; Ni, W.; Xiong, C.; Liu, Q.; et al. Progresses on microwave remote sensing of land surface parameters. Sci. China-Earth Sci. 2012, 55, 1052–1078. [Google Scholar] [CrossRef]
- Santoro, M.; Shvidenko, A.; McCallum, I.; Askne, J.; Schmullius, C. Properties of ERS-1/2 coherence in the Siberian boreal forest and implications for stem volume retrieval. Remote Sens. Environ. 2007, 106, 154–172. [Google Scholar] [CrossRef]
- Fuchs, H.; Magdon, P.; Kleinn, C.; Flessa, H. Estimating aboveground carbon in a catchment of the Siberian forest tundra: Combining satellite imagery and field inventory. Remote Sens. Environ. 2009, 113, 518–531. [Google Scholar] [CrossRef]
- Zhu, Y.; Feng, Z.; Lu, J.; Liu, J. Estimation of Forest Biomass in Beijing (China) Using Multisource Remote Sensing and Forest Inventory Data. Forests 2020, 11, 163. [Google Scholar] [CrossRef] [Green Version]
- Souza, G.S.A.d.; Soares, V.P.; Leite, H.G.; Gleriani, J.M.; do Amaral, C.H.; Ferraz, A.S.; Silveira, M.V.d.F.; Santos, F.C.d.; Velloso, S.G.S.; Domingues, G.F.; et al. Multi-sensor prediction of Eucalyptus stand volume: A support vector approach. ISPRS J. Photogramm. Remote Sens. 2019, 156, 135–146. [Google Scholar] [CrossRef]
- Jia, M.; Tong, L.; Chen, Y.; Wang, Y.; Zhang, Y. Rice biomass retrieval from multitemporal ground-based scatterometer data and RADARSAT-2 images using neural networks. J. Appl. Remote Sens. 2013, 7, 073509. [Google Scholar] [CrossRef]
- Narine, L.L.; Popescu, S.C.; Malambo, L. Synergy of ICESat-2 and Landsat for Mapping Forest Aboveground Biomass with Deep Learning. Remote Sens. 2019, 11, 1503. [Google Scholar] [CrossRef]









| Tree Species | Model Expression and the Parameters |
|---|---|
| Cunninghamia lanceolata group | W = 0.0492Power(D, 2.660) |
| Pinus massoniana group | W = 0.1309Power(D, 2.4367) |
| Hard broadleaf group | W = 0.0710Power(D2H, 0.9117) |
| Soft broadleaf group | W = 0.1351Power(D2H, 0.8020) |
| Data Sources | Acquisition Data | Processing Level | Spectral/Polarization Used |
|---|---|---|---|
| Sentinel-2 | 29 October 2018 10 November 2018 | Level-1C | 10 multispectral bands |
| Sentinel-1 | 1 October 2018 13 October 2018 | Level-1 IW SLC | C-band, VV and VH polarizations |
| ALOS-2 PALSAR-2 | 25 October 2018 8 November 2018 | Level 1.1 | L-band, HH and HV polarizations |
| Data | Characteristic Type | Indices | Description |
|---|---|---|---|
| Sentinel-2 | Bands | B2, 3, 4, 5, 6, 7, 8, 8a, 11, and 12 | Three “atmospheric” bands B1, 9, and 10 were removed |
| Vegetation indices | NDVI | Normalized difference vegetation index, NDVI = (B8 − B4)/(B8 + B4) | |
| DVI | Difference vegetation index, DVI = B8 − B4 | ||
| GNDVI | Green normalized difference vegetation index, GNDVI = (B7 − B3)/(B7 + B3) | ||
| NDI45 | Normalized difference vegetation index with band 4 and 5,NDI45 = (B5 − B4)/(B5 + B4) | ||
| REIP | Red-edge infection point index, REIP = 700 + (40 × ((B4 + B7)/2 − B5))/(B6 − B5) | ||
| RVI | Ratio vegetation index, RVI = B8/B4 | ||
| S2REP | Sentinel-2 red-edge position index, S2REP = 705 + (35 × ((B4 + B7)/2 − B5))/(B6 − B5) | ||
| Biophysical variables | SBI | Tasseled cap transformation, SBI = 0.3037 × B2 + 0.2793 × B3 + 0.4743 × B4 + 0.5585 × B8 + 0.5082 × B11 + 0.1863 × B2 | |
| GVI | GVI = −0.2848 × B2 − 0.2435 × B3 − 0.5436 × B4 + 0.7243 × B8 + 0.084 × B11 − 0.18 × B12 | ||
| WET | WET = 0.1509 × B2 + 0.1973 × B3 + 0.3279 × B4 + 0.3406 × B8 − 0.7112 × B11 − 0.4572 × B12 | ||
| PCA | Principal component analysis | ||
| Texture | Mean, variance, contrast, dissimilarity, homogeneity | 8 texture features extracted Texture by GLCM of 5 × 5 window size | |
| ALOS-2 | Backscatter coefficients | HH_db, HV_db | Backscatter coefficient of the horizontal transmit-horizontal and transmit-vertical receive channel in dB |
| Texture | HH or HV_Contrast | Contrast, local variations | |
| HH or HV_Dissimilarity | Dissimilarity, degree of similarity | ||
| HH or HV_Homogeneity | Homogeneity, uniformity of color tone | ||
| HH or HV_Angular second moment | Angular second moment, degree of order of texture distribution | ||
| HH or HV_Mean | Mean, average of grayscale values | ||
| HH or HV_Variance | Variance, change of grayscale values | ||
| HH or HV_Correlation | Correlation, linear correlation between the image elements | ||
| HH or HV_Entropy | Entropy, disorder of texture distribution | ||
| Sentinel-1 | Backscatter coefficients | VV_db, VH_db | Backscatter coefficient of the vertical transmit-vertical and transmit-horizontal receive channel in dB |
| Texture | VV or VH_Contrast, VV or VH_Dissimilarity, VV or VH_Homogeneity, VV or VH_Angular second moment, VV or VH_Mean, VV or VH_Variance, VV or VH_Correlation, VV or VH_ ntropy | The texture feature of VV and VH. Same as mentioned above | |
| InSAR | VV_InSAR, VH_InSAR | Interference coherence of VV and VH |
| Data | Characteristic Type | Predictor Variables | r |
|---|---|---|---|
| Sentinel-2 | Vegetation indices | NDVI | 0.282 ** |
| Biophysical variables | WET | 0.420 ** | |
| SBI | −0.368 ** | ||
| Texture | Mean | −0.405 ** | |
| Sentinel-1 | Backscatter | VH_db | 0.072 ** |
| Interference coherence | VH_InSAR | 0.212 ** | |
| Texture | VH_Contrast | −0.079 ** | |
| VH_Variance | −0.083 ** | ||
| ALOS-2 | Backscatter | HV_db | 0.079 ** |
| Texture | HV_Mean | 0.082 ** | |
| HV_Entropy | −0.077 ** |
Publisher’s Note: MDPI stays neutral with regard to jurisdictional claims in published maps and institutional affiliations. |
© 2022 by the authors. Licensee MDPI, Basel, Switzerland. This article is an open access article distributed under the terms and conditions of the Creative Commons Attribution (CC BY) license (https://creativecommons.org/licenses/by/4.0/).
Share and Cite
Zhang, F.; Tian, X.; Zhang, H.; Jiang, M. Estimation of Aboveground Carbon Density of Forests Using Deep Learning and Multisource Remote Sensing. Remote Sens. 2022, 14, 3022. https://doi.org/10.3390/rs14133022
Zhang F, Tian X, Zhang H, Jiang M. Estimation of Aboveground Carbon Density of Forests Using Deep Learning and Multisource Remote Sensing. Remote Sensing. 2022; 14(13):3022. https://doi.org/10.3390/rs14133022
Chicago/Turabian StyleZhang, Fanyi, Xin Tian, Haibo Zhang, and Mi Jiang. 2022. "Estimation of Aboveground Carbon Density of Forests Using Deep Learning and Multisource Remote Sensing" Remote Sensing 14, no. 13: 3022. https://doi.org/10.3390/rs14133022
APA StyleZhang, F., Tian, X., Zhang, H., & Jiang, M. (2022). Estimation of Aboveground Carbon Density of Forests Using Deep Learning and Multisource Remote Sensing. Remote Sensing, 14(13), 3022. https://doi.org/10.3390/rs14133022

