Analysis of Surface Energy Changes over Different Underlying Surfaces Based on MODIS Land-Use Data and Green Vegetation Fraction over the Tibetan Plateau
Abstract
1. Introduction
2. Data and Methods
2.1. Data
2.1.1. Observation Data
2.1.2. ERA-5 Reanalysis Data
2.1.3. Land-Use Type Data and GVF Data
2.2. Analysis Method
3. Results and Analysis
3.1. Monthly Variation Characteristics of GVF
3.2. Variation Characteristics of Surface Energy
3.2.1. Seasonal Variation Characteristics of Surface Energy
3.2.2. Diurnal Variation Characteristics of Surface Energy
3.3. Surface Energy Budget and Distribution
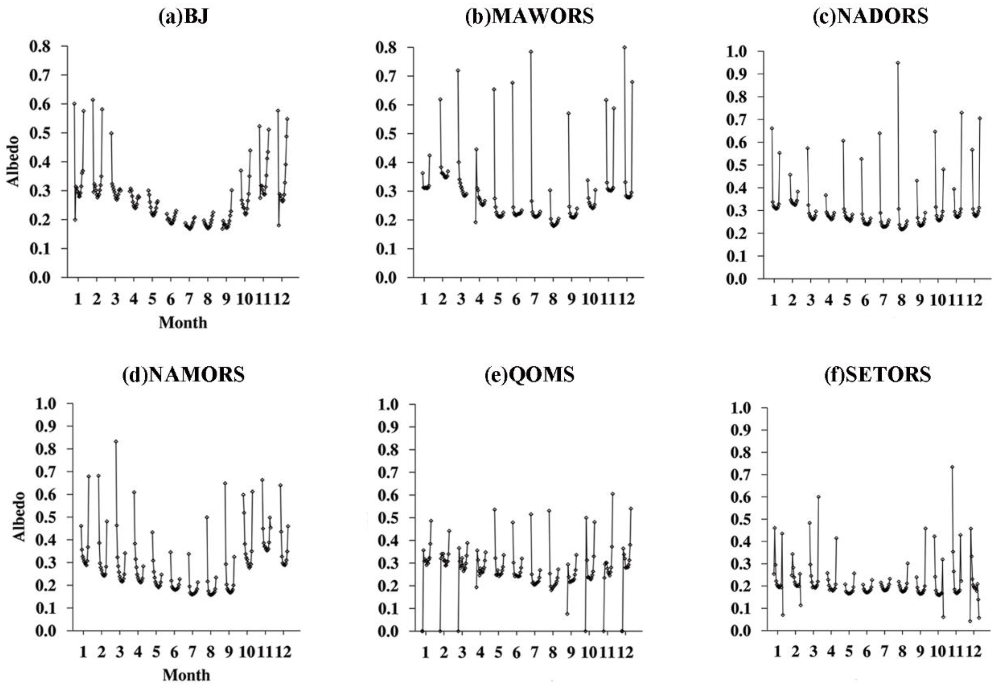
3.3.1. Land Surface Albedo
3.3.2. Surface Energy Distribution
3.4. Error Analysis of ERA-5 Land Data and Observation Data
3.5. Energy Variation Characteristics of Surface Area
4. Discussion
5. Conclusions
- (1)
- The annual distribution of GVF gradually decreased from southeast to northwest over the TP. Owing to the influence of precipitation and temperature, vegetation coverage in the southeastern TP is relatively high throughout the year. From June to September, the vegetation coverage rate of the TP reached 40−60%.
- (2)
- Monthly variations in surface energy characteristics included the following. H increased in spring and autumn and decreased in summer and winter. After H reached its maximum value in spring, the decrease began at different times at each station, and was earliest at the SETORS station. The LE increased rapidly in summer, with a maximum value of more than 100 , and gradually decreased in autumn and winter. In summer, the difference between H and LE at the NADORS and QOMS stations was lower than that at the other four stations. The four-component surface radiation increased during spring and summer, and decreased in autumn and winter.
- (3)
- The diurnal variation in the surface energy obeyed the following trends. Except for Rld, which changed insignificantly over time, these variables began to increase at sunrise, reached their maximum values at noon, and decreased at sunset. LE was generally greater than H in summer, but the opposite was true for NADORS and QOMS. In winter, H was generally greater than LE. Longwave radiation differs from shortwave radiation in that it is more susceptible to solar radiation.
- (4)
- The surface albedo changed in a “U” shape curve, and was high in the morning and evening, and low at noon. Except for NADORS and SETORS, where the surface albedo changed insignificantly with the seasons, all stations showed a gradual decrease in spring, reached their lowest values in summer, and gradually increased in autumn and winter. The interannual variation in H and LE shows that latent heat exchange is the main form of energy transfer in BJ, MAWORS, NAMORS, and SETORS. In contrast, sensible heat played a leading role in surface energy transfer at NADORS and QOMS. The Bowen ratio was generally low in summer, and some sites had a maximum in spring.
- (5)
- The Rld value of ERA-5 at each station had the highest correlation with the observed value. The longwave radiation value of ERA-5 was lower than the observed value, and the bias of the shortwave radiation increased in spring and decreased in summer. Among the six stations, the highest precision was observed for BJ.
- (6)
- The LE increased in spring and summer and decreased in autumn and winter, with the highest levels mainly concentrated in the north and east of the plateau (during summer). The high-value area of H was mainly in the west of the plateau. When Rn varied with the season, the radiation value in the north of the plateau was always higher than that in the south of the plateau (except in summer). The four components varied significantly with the seasons. Rld in the east of the plateau was higher than that in the west, and Rsd in the east of the plateau was lower than that in the west. The maximum Rlu values were in the northwest and northeast of the plateau.
Author Contributions
Funding
Data Availability Statement
Acknowledgments
Conflicts of Interest
References
- Zhang, Y.; Li, B.; Zheng, D. A discussion on the boundary and area of the Tibetan Plateau in China. Geogr. Res. 2002, 21, 1–8. [Google Scholar]
- Ma, Y.; Yao, T.; Hu, Z.; Wang, J. The Cooperative Study on Energy and Water Cycle over the Tibetan Plateau. Adv. Earth Sci. 2009, 24, 1280. [Google Scholar]
- Zhao, T.J.; Zhang, L.X.; Shi, J.C.; Jiang, L.M. A physically based statistical methodology for surface soil moisture retrieval in the Tibet Plateau using microwave vegetation indices. J. Geophys. Res. Earth Surf. 2011, 116, D08116. [Google Scholar] [CrossRef]
- Wu, G.; Mao, J.; Duan, A.; Zhang, Q. Recent progress in the study on the impacts of Tibetan Plateau on asian summer climate. Acta Meteorol. Sin. 2004, 5, 528–540. [Google Scholar] [CrossRef]
- Zhao, P.; Zhou, Z.; Liu, J. Variability of Tibetan Spring Snow and Its Associations with the Hemispheric Extratropical Circulation and East Asian Summer Monsoon Rainfall: An Observational Investigation. J. Clim. 2007, 20, 3942–3955. [Google Scholar] [CrossRef]
- Duan, A.; Xiao, Z.; Wang, Z. Impacts of the Tibetan Plateau winter/spring snow depth and surface heat source on Asian summer monsoon: A review. Chin. J. Atmos. Sci. 2018, 42, 755–766. [Google Scholar]
- Yao, T.; Chen, F.; Cui, P.; Ma, Y.; Xu, B.; Zhu, L.; Zhang, F.; Wang, W.; Ai, L.; Yang, X. From Tibetan Plateau to Third Pole and Pan-Third Pole. Bull. Chin. Acad. Sci. 2017, 32, 924–931. [Google Scholar] [CrossRef]
- Sun, H. Review and prospect of scientific investigation and Research on Qinghai-Tibet Plateau. Resour. Sci. 2000, 22, 6–8. [Google Scholar]
- The Second Tibetan Plateau Scientific Expedition and Research. Available online: http://www.step.ac.cn/info/14568 (accessed on 22 March 2022).
- Zhao, P.; Xiao, H.; Liu, C.; Zhou, Y. Dependence of Warm Season Cloud-to-Ground Lightning Polarity on Environmental Conditions over Sichuan, Southwest China. Adv. Meteorol. 2021, 2021, 1500470. [Google Scholar] [CrossRef]
- Zhao, P.; Xiao, H.; Liu, C.; Zhou, Y.; Xu, X.; Hao, K. Evaluating a simple proxy for climatic cloud-to-ground lightning in Sichuan Province with complex terrain, Southwest China. Int. J. Climatol. 2021, 1–19. [Google Scholar] [CrossRef]
- Zhao, P.; Xiao, H.; Liu, J.; Zhou, Y. Precipitation efficiency of cloud and its influencing factors over the Tibetan plateau. Int. J. Climatol. 2021, 42, 416–434. [Google Scholar] [CrossRef]
- Ma, Y.; Hu, Z.; Wang, B.; Ma, W.; Chen, X.; Han, C.; Li, M.; Zhong, L.; Gu, L.; Sun, F.; et al. The Review of the Observation Experiments on Land-Atmosphere Interaction Progress on the Qinghai-Xizang (Tibetan) Plateau. Plateau Meteorol. 2021, 40, 1241–1262. [Google Scholar]
- Zeng, J.; Zhang, Q. A comparative study of the characteristics of the clear-sky land surface processes over the different un-derlying surfaces in the northern part of China during July-September 2008. Acta Meteorol. Sin. 2012, 70, 821–836. [Google Scholar]
- Ma, Y.; Yao, T.; Wang, J. Experimental Study of Energy and Water Cyclein Tibetan Plateau—The Progress Introduction on the Study of GAME/Tibet and CAMP/Tibet. Plateau Meteorol. 2006, 25, 344–351. [Google Scholar]
- Duan, A.; Li, F.; Wang, M.; Wu, G. Persistent Weakening Trend in the Spring Sensible Heat Source over the Tibetan Plateau and Its Impact on the Asian Summer Monsoon. J. Clim. 2011, 24, 5671–5682. [Google Scholar] [CrossRef]
- Raupach, M. Influences of local feedbacks on land–air exchanges of energy and carbon. Glob. Change Biol. 1998, 4, 477–494. [Google Scholar] [CrossRef]
- Zhao, P.; Li, Y.; Guo, X.; Xu, X.; Liu, Y.; Tang, S.; Xiao, W.; Shi, C.; Ma, Y.; Yu, X.; et al. The Tibetan Plateau surface-atmosphere coupling system and its weather and climate effects: The Third Tibetan Plateau Atmosphere Scientific Experiment. Acta Mete-Orol. Sin. 2018, 76, 833–860. [Google Scholar] [CrossRef]
- Xie, S.; Qu, J.; Xu, X.; Pang, Y. Interactions between freeze–thaw actions, wind erosion desertification, and permafrost in the Qinghai–Tibet Plateau. Nat. Hazards 2016, 85, 829–850. [Google Scholar] [CrossRef]
- Zhang, M.; Wang, J.; Lai, Y. Hydro-thermal boundary conditions at different underlying surfaces in a permafrost region of the Qinghai-Tibet Plateau. Sci. Total Environ. 2019, 670, 1190–1203. [Google Scholar] [CrossRef]
- Yao, J.; Gu, L.; Yang, C.; Chen, H.; Wang, J.; Ding, Y.; Li, R.; Zhao, L.; Xiao, Y.; Qiao, Y.; et al. Estimation of surface energy fluxes in the permafrost region of the Tibetan Plateau based on in situ measurements and the surface energy balance system model. Int. J. Climatol. 2020, 40, 5783–5800. [Google Scholar] [CrossRef]
- Ma, W.; Ma, Y.; Hu, Z.; Li, M.; Wang, J.; Qian, Z. Analyses on surface radiation budget in Northern Tibetan Plateau. Plateau Meteorol. 2004, 23, 348–352. [Google Scholar]
- Ma, W.; Ma, Y.; Hu, Z.; Li, M.; Sun, F.; Gu, L.; Wang, J.; Qian, Z. The contrast between the radiation budget plus seasonal variation and remote sensing over the northern Tibetan Plateau. J. Arid. Land Resour. Environ. 2005, 19, 109–115. [Google Scholar]
- Wang, C.; Ma, Y.; Wang, B.; Ma, W.; Chen, X.; Han, C. Analysis of the Radiation Fluxes over Complex Surfaces on the Tibetan Plateau. Water 2021, 13, 3084. [Google Scholar] [CrossRef]
- Li, M.; Babel, W.; Chen, X.; Zhang, L.; Sun, F.; Wang, B.; Ma, Y.; Hu, Z.; Foken, T. A 3-year dataset of sensible and latent heat fluxes from the Tibetan Plateau, derived using eddy covariance measurements. Arch. Meteorol. Geophys. Bioclimatol. Ser. B 2014, 122, 457–469. [Google Scholar] [CrossRef]
- Zhong, L.; Ma, Y.; Xue, Y.; Piao, S. Climate Change Trends and Impacts on Vegetation Greening Over the Tibetan Plateau. J. Geophys. Res. Atmos. 2019, 124, 7540–7552. [Google Scholar] [CrossRef]
- Wang, S.; Ma, Y. On the simulation of sensible heat flux over the Tibetan Plateau using different thermal roughness length parameterization schemes. Arch. Meteorol. Geophys. Bioclimatol. Ser. B 2018, 137, 1883–1893. [Google Scholar] [CrossRef]
- Han, Y.; Ma, W.; Ma, Y.; Sun, C. Variations of Surface Heat Fluxes over the Tibetan Plateau before and after the Onset of the South Asian Summer Monsoon during 1979–2016. J. Meteorol. Res. 2019, 33, 491–500. [Google Scholar] [CrossRef]
- Yang, K.; Guo, X.; Wu, B. Recent trends in surface sensible heat flux on the Tibetan Plateau. Sci. China Earth Sci. 2010, 54, 19–28. [Google Scholar] [CrossRef]
- Yang, K.; Wu, H.; Qin, J.; Lin, C.; Tang, W.; Chen, Y. Recent climate changes over the Tibetan Plateau and their impacts on energy and water cycle: A review. Glob. Planet. Chang. 2014, 112, 79–91. [Google Scholar] [CrossRef]
- Amatya, P.M.; Ma, Y.; Han, C.; Wang, B.; Devkota, L.P. Recent trends (2003–2013) of land surface heat fluxes on the southern side of the central Himalayas, Nepal. J. Geophys. Res. Atmos. 2015, 120, 11957–11970. [Google Scholar] [CrossRef][Green Version]
- Han, C.; Ma, Y.; Chen, X.; Su, Z. Trends of land surface heat fluxes on the Tibetan Plateau from 2001 to 2012. Int. J. Climatol. 2017, 37, 4757–4767. [Google Scholar] [CrossRef]
- Ding, Z.; Ma, Y.; Wen, Z.; Ma, W.; Chen, S. A comparison between energy transfer and atmospheric turbulent exchanges over alpine meadow and banana plantation. Arch. Meteorol. Geophys. Bioclimatol. Ser. B 2016, 129, 59–76. [Google Scholar] [CrossRef]
- Li, R.; Zhao, L.; Wu, T.; Wu, X.; Xiao, Y.; Du, Y.; Qin, Y. The impacts of net long-wave radiation on the surface soil thermal regimes over the Qinghai–Tibetan Plateau, China. Environ. Earth Sci. 2016, 75, 271. [Google Scholar] [CrossRef]
- Guo, D.; Yang, M.; Wang, H. Characteristics of land surface heat and water exchange under different soil freeze/thaw condi-tions over the central Tibetan Plateau. Hydrol. Process. 2011, 25, 2531–2541. [Google Scholar] [CrossRef]
- Wang, L.; Li, M.; Lü, Z.; Fu, W.; Shu, L.; Yin, S. Variation Characteristics of Surface Fluxes on Different Underlying Surfaces and Their Relationship with Precipitation in the Canyon Area of Southeast Tibet. Plateau Meteorol. 2022, 41, 177–189. [Google Scholar]
- Zhang, M.; Wang, B.; Wang, D.; Ye, W.; Guo, Z.; Gao, Q.; Yue, G. The effects of rainfall on the surface radiation of permafrost regions in Qinghai-Tibet Plateau: A case study in Beiluhe area. J. Glaciol. Geocryol. 2021, 43, 1092–1101. [Google Scholar]
- Gu, X.; Ma, Y.; Ma, W.; Sun, F. Climatic characteristics of surface radiation flux over the Qinghai-Tibetan Plateau. Plateau Meteorol. 2018, 37, 1458–1469. [Google Scholar]
- Wang, G.; Han, L.; Tang, X. Surface radiation characteristics of the Ali area, Northern Tibetan Plateau. Environ. Res. Commun. 2021, 3, 041006. [Google Scholar]
- Ma, Y.; Hu, Z.; Xie, Z.; Ma, W.; Wang, B.; Chen, X.; Li, M.; Zhong, L.; Sun, F.; Gu, L.; et al. A long-term (2005–2016) dataset of hourly integrated land–atmosphere interaction observations on the Tibetan Plateau. Earth Syst. Sci. Data 2020, 12, 2937–2957. [Google Scholar] [CrossRef]
- Hersbach, H.; Bell, B.; Berrisford, P.; Horányi, A.; Sabater, J.M.; Nicolas, J.; Radu, R.; Schepers, D.; Simmons, A.; Soci, C. Global reanalysis: Goodbye ERA-Interim, hello ERA5. ECMWF Newsl. 2019, 159, 17–24. [Google Scholar]
- Muñoz Sabater, J. ERA5-Land monthly averaged data from 1981 to present. Copernic. Clim. Change Serv. (C3S) Clim. Data Store (CDS) 2019, 146, 1999–2049. [Google Scholar]
- Friedl, M.A.; Sulla-Menashe, D.; Tan, B.; Schneider, A.; Ramankutty, N.; Sibley, A.; Huang, X. MODIS Collection 5 global land cover: Algorithm refinements and characterization of new datasets. Remote Sens. Environ. 2010, 114, 168–182. [Google Scholar] [CrossRef]
- Lotsch, A.; Tian, Y.; Friedl, M.A.; Myneni, R. Land cover mapping in support of LAI and FPAR retrievals from EOS-MODIS and MISR: Classification methods and sensitivities to errors. Int. J. Remote Sens. 2003, 24, 1997–2016. [Google Scholar] [CrossRef]
- Myneni, R.B.; Hoffman, S.; Knyazikhin, Y.; Privette, J.L.; Glassy, J.; Tian, Y.; Wang, Y.; Song, X.; Zhang, Y.; Smith, G.R.; et al. Global products of vegetation leaf area and fraction absorbed PAR from year one of MODIS data. Remote Sens. Environ. 2002, 83, 214–231. [Google Scholar] [CrossRef]
- Running, S.W.; Loveland, T.R.; Pierce, L.L.; Nemani, R.R.; Hunt, E.R., Jr. A remote sensing based vegetation classification logic for global land cover analysis. Remote Sens. Environ. 1995, 51, 39–48. [Google Scholar] [CrossRef]
- Bonan, G.B. The land surface climatology of the NCAR Land Surface Model coupled to the NCAR Community Climate Model. J. Clim. 1998, 11, 1307–1326. [Google Scholar] [CrossRef]
- Wen, X.; Liu, C.; Luo, S. Comparative Analysis of water-energy cycle processes Based on HRADC data over Different Un-derlying Surfaces in Qinghai-Tibet Plateau. Front. Earth Sci. 2020, 8, 434. [Google Scholar] [CrossRef]
- Gutman, G.; Ignatov, A. The derivation of the green vegetation fraction from NOAA/AVHRR data for use in numerical weather prediction models. Int. J. Remote Sens. 1998, 19, 1533–1543. [Google Scholar] [CrossRef]
- Vahmani, P.; Ban-Weiss, G.A. Impact of remotely sensed albedo and vegetation fraction on simulation of urban climate in WRF-urban canopy model: A case study of the urban heat island in Los Angeles. J. Geophys. Res. Atmos. 2016, 121, 1511–1531. [Google Scholar] [CrossRef]
- Yan, D.; Liu, T.; Dong, W.; Liao, X.; Luo, S.; Wu, K.; Zhu, X.; Zheng, Z.; Wen, X. Integrating remote sensing data with WRF model for improved 2-m temperature and humidity simulations in China. Dyn. Atmos. Oceans 2020, 89, 101127. [Google Scholar] [CrossRef]
- Xu, X.; Chen, H.; Levy, J.K. Spatiotemporal vegetation cover variations in the Qinghai-Tibet Plateau under global climate change. Sci. Bull. 2008, 53, 915–922. [Google Scholar] [CrossRef]
- Guo, X.; Wang, K.; Li, L.; Zhang, H.; Ma, L.; Yao, Z.; Zhang, W.; Hu, Z.; Zheng, X. Surface Energy Exchanges and Evapo-transpiration of an Alpine Meadow on the Zoige Plateau. Chin. J. Agrometeorol. 2021, 42, 642–656. [Google Scholar]
- Wang, S.; Zhang, Y.; Lü, S.; Shang, L.; Zhang, S. Seasonal variation characteristics of radiation and energy budgets in alpine meadow ecosystem in Maqu grassland. Plateau Meteorol. 2012, 31, 605–614. [Google Scholar]
- Coronato, F.; Bertiller, M. Precipitation and landscape related effects on soil moisture in semi-arid rangelands of Patagonia. J. Arid Environ. 1996, 34, 1–9. [Google Scholar] [CrossRef]
- Ge, F.; Sielmann, F.; Zhu, X.; Fraedrich, K.; Zhi, X.; Peng, T.; Wang, L. The link between Tibetan Plateau monsoon and Indian summer precipitation: A linear diagnostic perspective. Clim. Dyn. 2017, 49, 4201–4215. [Google Scholar] [CrossRef]
- Xie, Z.; Wang, B. Summer Atmospheric Heat Sources over the Western–Central Tibetan Plateau: An Integrated Analysis of Multiple Reanalysis and Satellite Datasets. J. Clim. 2019, 32, 1181–1202. [Google Scholar] [CrossRef]













| Site | Latitude, Longitude | Elevation (m) | Land Cover | Initial Observation Time of the Instrument (Radiations/EC) |
|---|---|---|---|---|
| BJ | 31.37° N, 91.90° E | 4509 | Grasslands | 2006 |
| MAWORS | 38.41° N, 75.04° E | 3668 | Barren or Sparsely Vegetated and Open Shrublands | 2010 |
| NADORS | 33.39° N, 79.70° E | 4270 | Barren or Sparsely Vegetated | 2009/2005 |
| NAMORS | 30.77° N, 90.99° E | 4730 | Grasslands | 2005 |
| QOMS | 28.21° N, 86.56° E | 4298 | Barren or Sparsely Vegetated | 2005/2007 |
| SETORS | 29.77° N, 94.73° E | 3327 | Deciduous Broadleaf Forest and Mixed Forests | 2007 |
| Site | BJ | MAWORS | NADORS | NAMORS | QOMS | SETORS | |
|---|---|---|---|---|---|---|---|
| Variable | |||||||
| Rsd | 0.94 | 0.95 | 0.96 | 0.70 | 0.79 | 0.57 | |
| Rsu | 0.39 | 0.52 | 0.44 | 0.31 | 0.60 | 0.26 | |
| Rld | 0.94 | 0.98 | 0.98 | 0.97 | 0.98 | 0.41 | |
| Rlu | 0.95 | 0.96 | 0.94 | 0.87 | 0.79 | 0.11 * | |
| H | 0.49 | 0.77 | 0.56 | 0.37 | 0.62 | −0.50 | |
| LE | 0.90 | 0.76 | 0.81 | 0.41 | 0.77 | 0.84 | |
| Rn | 0.85 | 0.91 | 0.90 | 0.78 | 0.30 | 0.17 * | |
Publisher’s Note: MDPI stays neutral with regard to jurisdictional claims in published maps and institutional affiliations. |
© 2022 by the authors. Licensee MDPI, Basel, Switzerland. This article is an open access article distributed under the terms and conditions of the Creative Commons Attribution (CC BY) license (https://creativecommons.org/licenses/by/4.0/).
Share and Cite
Ma, J.; Wen, X.; Li, M.; Luo, S.; Zhu, X.; Yang, X.; Chen, M. Analysis of Surface Energy Changes over Different Underlying Surfaces Based on MODIS Land-Use Data and Green Vegetation Fraction over the Tibetan Plateau. Remote Sens. 2022, 14, 2751. https://doi.org/10.3390/rs14122751
Ma J, Wen X, Li M, Luo S, Zhu X, Yang X, Chen M. Analysis of Surface Energy Changes over Different Underlying Surfaces Based on MODIS Land-Use Data and Green Vegetation Fraction over the Tibetan Plateau. Remote Sensing. 2022; 14(12):2751. https://doi.org/10.3390/rs14122751
Chicago/Turabian StyleMa, Jie, Xiaohang Wen, Maoshan Li, Siqiong Luo, Xian Zhu, Xianyu Yang, and Mei Chen. 2022. "Analysis of Surface Energy Changes over Different Underlying Surfaces Based on MODIS Land-Use Data and Green Vegetation Fraction over the Tibetan Plateau" Remote Sensing 14, no. 12: 2751. https://doi.org/10.3390/rs14122751
APA StyleMa, J., Wen, X., Li, M., Luo, S., Zhu, X., Yang, X., & Chen, M. (2022). Analysis of Surface Energy Changes over Different Underlying Surfaces Based on MODIS Land-Use Data and Green Vegetation Fraction over the Tibetan Plateau. Remote Sensing, 14(12), 2751. https://doi.org/10.3390/rs14122751
