The Remotely and Directly Obtained Results of Glaciological Studies on King George Island: A Review
Abstract
1. Introduction
2. Study Site
3. Mass Balance Parameters
3.1. Ablation
3.2. Accumulation
3.3. Mass Balance/ELA Variation
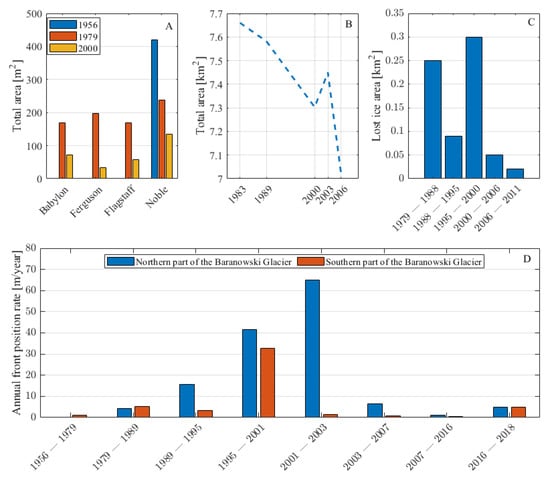
4. Ice-Front Fluctuations
5. Glacial Velocities
6. Stratigraphy and Structure
- A radio-echo sounding (RES) survey carried out by the Russian Academy of Science in 1970 [26],
- An airborne radio-echo sounding survey carried out by the British Antarctic Survey (BAS) in 1975,
- Sino-Uruguayan field work conducted in 1991/1992, and
- Russian-Brazilian cooperative research performed from 1995–1996 [49].
7. Summary and Conclusions
Author Contributions
Funding
Data Availability Statement
Acknowledgments
Conflicts of Interest
Appendix A
| Location | Measuring Period or Date | Elevation (m a.s.l.) | Accumulation | Ablation | Mass Balance | References |
|---|---|---|---|---|---|---|
| [mm w.e. a−1] | ||||||
| KGI Ice Cap (Arctowski Icefield, Central and East Part) | 1957/1958–1970-71 | 240 | − | − | 500−700 | [26] |
| Arctowski Icefield | Coring from 1985–1992, 18 m depth | 380 | 1175 | − | − | [37] |
| Arctowski Icefield | Coring from 1985–1992, 18 m depth | 510 | 1630 | − | − | [37] |
| Arctowski Icefield | Coring from 1985–1992, 18 m depth | 610 | 2040 | − | − | [37] |
| Arctowski Icefield | Coring from 1985–1992, 18 m depth | 702 | 2480 | − | − | [37] |
| Arctowski Icefield | 2 December 1997–12 January 1998 | − | − | 260 | − | [34] |
| Arctowski Icefield | 2 December 1997–12 January 1998 | 85 | − | 383 | − | [32] |
| Arctowski Icefield | Decemebr 1999–March 2000 | 255 | − | 1150 | − | [34] |
| Arctowski Icefield | 2007/2008 | 390 | 3680 | − | − | [43] |
| Arctowski Icefield | 2007/2008 | 417 | 4120 | − | − | [43] |
| Arctowski Icefield | 2007/2008 | 488 | 3756 | − | − | [43] |
| Arctowski Icefield | 2007/2008 | 489 | 3735 | − | − | [43] |
| Arctowski Icefield | 2007/2008 | 552 | 3976 | − | − | [43] |
| Arctowski Icefield | 2007/2008 | 568 | 4839 | − | − | [43] |
| Arctowski Icefield | 2007/2008 | 612 | 4634 | − | − | [43] |
| Arctowski Icefield | 2007/2008 | 622 | 3994 | − | − | [43] |
| Arctowski Icefield | 2007/2008 | 631 | 4388 | − | − | [43] |
| Arctowski Icefield | 2007/2008 | 639 | 5047 | − | − | [43] |
| Arctowski Icefield | 2008/2009 | 390 | 3184 | − | − | [43] |
| Arctowski Icefield | 2008/2009 | 417 | 1639 | − | − | [43] |
| Arctowski Icefield | 2008/2009 | 488 | 1854 | − | − | [43] |
| Arctowski Icefield | 2008/2009 | 489 | 1574 | − | − | [43] |
| Arctowski Icefield | 2008/2009 | 552 | − | − | − | [43] |
| Arctowski Icefield | 2008/2009 | 568 | 2244 | − | − | [43] |
| Arctowski Icefield | 2008/2009 | 612 | 2611 | − | − | [43] |
| Arctowski Icefield | 2008/2009 | 622 | − | − | − | [43] |
| Arctowski Icefield | 2008/2009 | 631 | 2133 | − | − | [43] |
| Arctowski Icefield | 2008/2009 | 639 | 2590 | − | − | [43] |
| Central part | 2007/2008 | 428 | 3891 | − | − | [43] |
| Central part | 2007/2008 | 434 | 3942 | − | − | [43] |
| Central part | 2007/2008 | 454 | 3361 | − | − | [43] |
| Central part | 2007/2008 | 515 | 4178 | − | − | [43] |
| Central part | 2007/2008 | 520 | 4321 | − | − | [43] |
| Central part | 2007/2008 | 538 | 3639 | − | − | [43] |
| Central part | 2007/2008 | 561 | 4180 | − | − | [43] |
| Central part | 2007/2008 | 593 | 4950 | − | − | [43] |
| Central part | 2007/2008 | 594 | 4157 | − | − | [43] |
| Central part | 2007/2008 | 627 | 4574 | − | − | [43] |
| Central part | 2007/2008 | 652 | 4288 | − | − | [43] |
| Central part | 2007/2008 | 658 | 4911 | − | − | [43] |
| Central part | 2007/2008 | 691 | 4279 | − | − | [43] |
| Bellingshausen Dome | Coring in 1991, 80.2 m depth | 240 | 700 | − | − | [39] |
| Bellingshausen Dome | 1971–1991 | − | − | − | −4.5 | [37,52] |
| Bellingshausen Dome | 1971–1972 | − | − | − | −68.1 | [52] |
| Bellingshausen Dome | 1972–1973 | − | − | − | −59.3 | [52] |
| Bellingshausen Dome | 1973–1974 | − | − | − | −229.1 | [52] |
| Bellingshausen Dome | 1974–1975 | − | − | − | −35.2 | [52] |
| Bellingshausen Dome | 1975–1976 | − | − | − | −36.8 | [52] |
| Bellingshausen Dome | 1976–1977 | − | − | − | −8.5 | [52] |
| Bellingshausen Dome | 1977–1978 | − | − | − | 30.1 | [52] |
| Bellingshausen Dome | 1978–1979 | − | − | − | −175 | [52] |
| Bellingshausen Dome | 1979–1980 | − | − | − | 62.9 | [52] |
| Bellingshausen Dome | 1980–1981 | − | − | − | −4.1 | [52] |
| Bellingshausen Dome | 1981–1982 | − | − | − | −68.1 | [52] |
| Bellingshausen Dome | 1982–1983 | − | − | − | −160.7 | [52] |
| Bellingshausen Dome | 1983–1984 | − | − | − | −157.7 | [52] |
| Bellingshausen Dome | 1984–1985 | − | − | − | 126.2 | [52] |
| Bellingshausen Dome | 1985–1986 | − | − | − | 189.8 | [52] |
| Bellingshausen Dome | 1986–1987 | − | − | − | 56.2 | [52] |
| Bellingshausen Dome | 1987–1988 | − | − | − | −189.2 | [52] |
| Bellingshausen Dome | 1988–1989 | − | − | − | 33.1 | [52] |
| Bellingshausen Dome | 1989–1990 | − | − | − | 93.3 | [52] |
| Bellingshausen Dome | 1990–1991 | − | − | − | 467.9 | [52] |
| Bellingshausen Dome | 1991–1992 | − | − | − | 163 | [37] |
| Bellingshausen Dome | November 1991–November 1992 | 45 | − | − | 1430 | [37] |
| Bellingshausen Dome | November 1991–November 1992 | 90 | − | − | 1100 | [37] |
| Bellingshausen Dome | November 1991–November 1992 | 140 | − | − | 550 | [37] |
| Bellingshausen Dome | November 1991–November 1992 | 185 | − | − | 520 | [37] |
| Bellingshausen Dome | November 1991–November 1992 | 252 | − | − | 410 | [37] |
| Bellingshausen Dome | Coring from 1985–1992, 18 m depth | 110 | 650 * | − | − | [37] |
| Bellingshausen Dome | Coring from 1985–1992, 18 m depth | 150 | 540 * | − | − | [37] |
| Bellingshausen Dome | Coring from 1985–1992, 18 m depth | 185 | 970 * | − | − | [37] |
| Bellingshausen Dome | Coring from 1985–1992, 18 m depth | 252 | 530 * | − | − | [37] |
| Bellingshausen Dome | December 1995–March 1996 | 35 | − | 750 | − | [34] |
| Bellingshausen Dome | December 1997–March 1998 | 85 | − | 1100 | − | [34] |
| Bellingshausen Dome | 2007–2012 | − | 752.8 | −900 | −147.3 | [53] |
| Bellingshausen Dome | 2007/2008 | − | 654.4 | −736 | −81.6 | [53] |
| Bellingshausen Dome | 2008/2009 | − | 565.2 | −1259 | −693.8 | [53] |
| Bellingshausen Dome | 2009/2010 | − | 800.6 | −426 | 374.6 | [53] |
| Bellingshausen Dome | 2010/2011 | − | 1034,4 | −941 | 93.4 | [53] |
| Bellingshausen Dome | 2011/2012 | − | 709.5 | −1139 | −429 | [53] |
| Stenhouse Glacier | 1957/1958 | − | − | − | −50 | [48] |
| Stenhouse Glacier | 1958/1959 | − | − | − | −50 | [29] |
| Stenhouse Glacier | Summer season 1959/1960 | − | − | 1310 | − | [29] |
| Flagstaff Glacier | Summer season 1957/1958 | 130−230 | − | 750 | − | [28] |
| Flagstaff Glacier | 3 February–21 April 1959 | − | − | 544 | − | [29] |
| Fourcade Glacier | 2010/2011 | − | − | − | −134 | [46] |
| Fourcade Glacier | 2012/2013 | − | − | − | −201 | [46] |
| Fourcade Glacier | 2013/2014 | − | − | − | −97 | [46] |
| Fourcade Glacier | 2014/2015 | − | − | − | −196 | [46] |
| Lange Glacier | 73-year average, coring in 1995/96, | 690 | 590 | − | − | [40] |
| Ecology Glacier | December 1990–January 1991 | 100 | − | 735 ** | − | [31] |
| Ecology and Sphinx glacier system | 2012–2013 | − | − | − | 178 | [35] |
| Balance Year | Location | ELA/FLA [m a.s.l.] | References |
|---|---|---|---|
| 1957 | Flagstaff Glacier | 198 | [29] |
| 1959 | Flagstaff Glacier | 130 | [29] |
| 1960 | Admiralty Bay | 300 | [29] |
| 1969/70 | Bellingshausen Dome | 140 | [26] |
| 1970/71 | Bellingshausen Dome | 170 | [26] |
| 1972/73 | Stenhouse Glacier | <100 | [48] |
| 1973/74 | Stenhouse Glacier | <100 | [48] |
| 1985/86 | Bellingshausen Dome | 150 | [50,51] |
| 1988 | Admiralty Bay | 350 | [22] |
| 1985–1989 | South Shetland Islands | <100 | [120] |
| 1991/92 | Bellingshausen Dome | 140 | [37] |
| 1991/92 | Ecology Glacier | about 100 | [31] |
| 1991/92 | Bellingshausen Dome | 160 | [58] |
| 1992/93 | Bellingshausen Dome | 200 | [58] |
| 1993/94 | Bellingshausen Dome | 200 | [58] |
| 1993 | Admiralty Bay | 300–350 * | [56] |
| 1994–1995 | Admiralty Bay | 450 | [22] |
| 1995/96 | Bellingshausen Dome | 200 | [58] |
| 1996/97 | Bellingshausen Dome | 250−270 | [58] |
| 1996/97 | KGI | 250 | [58] |
| 1997/98 | Bellingshausen Dome | 180−200 | [58] |
| 1998/99 | Bellingshausen Dome | 200−220 | [58] |
| 2006/07 | Admiralty Bay | 290 | [55] |
| 2007/08 | Bellingshausen Dome | 225 | [53] |
| 2008/09 | Bellingshausen Dome | 225 | [53] |
| 2009/10 | Bellingshausen Dome | about 40 | [53] |
| 2010/11 | Bellingshausen Dome | 180 | [53] |
| 2011/12 | Bellingshausen Dome | 220 | [53] |
| 2012/13 | Ecology and Sphinx glacier system | 156 | [35] |
| 2010–2015 | Fourcade Glacier | 260 +/− 20 | [17] |
| 2010–2015 | KGI | 330 +/− 100 | [54] |
| 1991–1999 | South Shetland Islands | 165–250 | [121] |
References
- Cuffey, K.M.; Paterson, W.S.B. The Physics of Glaciers; Academic Press: Cambridge, MA, USA, 2010; p. 54. [Google Scholar]
- Meier, M.F. Glaciers and climate. In Polar Record; Wright, H.E., Frey, D.G., Eds.; Princeton University Press: Princeton, NJ, USA, 1965; Volume 22, pp. 795–805. [Google Scholar]
- Oerlemans, J. Glaciers and Climate Change; CRC Press: Boca Raton, FL, USA, 2001; p. 54. [Google Scholar]
- Dyurgerov, M.B.; Meier, M.F. Glaciers and the Changing Earth system: A 2004 Snapshot; Institute of Arctic and Alpine Research: Boulder, CO, USA, 2005; p. 58. [Google Scholar]
- Der Veen, C.J. Fundamentals of Glacier Dynamics; CRC Press: Boca Raton, FL, USA, 2013; p. 58. [Google Scholar]
- Benn, D.; Evans, D.J.A. Glaciers and Glaciation; Routledge: Abingdon-on-Thames, UK, 2014; p. 58. [Google Scholar]
- Oliva, M.; Navarro, F.; Hrbáček, F.; Hernandéz, A.; Nývlt, D.; Pereira, P.; Ruiz-Fernandéz, J.; Trigo, R. Recent regional climate cooling on the Antarctic Peninsula and associated impacts on the cryosphere. Sci. Total Environ. 2017, 580, 210–223. [Google Scholar] [CrossRef]
- Jania, J. Glacjologia: Nauka o lodowcach. Wydaw. Naukowe PWN 1997, 58, 359. [Google Scholar]
- Kaser, G.; Fountain, A.; Jansson, P.; Erich, H.; Mathias, K. A Manual for Monitoring the Mass Balance of Mountain Glaciers; Unesco: Paris, France, 2003; p. 58. [Google Scholar]
- Bamber, J.L.; Payne, A.J. Mass Balance of the Cryosphere: Observations and Modelling of Contemporary and Future Changes; Cambridge University Press: Cambridge, UK, 2004; p. 662. [Google Scholar]
- Bamber, J.L.; Rivera, A. A review of remote sensing methods for glacier mass balance determination. Glob. Planet. Chang. 2007, 59, 138–148. [Google Scholar] [CrossRef]
- Watson, C.S.; Quincey, D. Glacier Movement. Geomorphol. Tech. 2015, 59, 138–148. [Google Scholar]
- Bogorodsky, V.V.; Bentley, C.R.; Gudmandsen, P.E. Radioglaciology; Springer: Berlin/Heidelberg, Germany, 1985. [Google Scholar]
- Grabiec, M. Stan i Współczesne Zmiany Systemów Lodowcowych Południowego Spitsbergenu w Świetle Badan Metodami Radarowymi; Wydawnictwo Uniwersytetu Śląskiego: Katowice, Poland, 2017; p. 58. [Google Scholar]
- Miers, J. John Miers account of the discovery of the South Shetland Islands. Polar Rec. 1950, 5, 565–575. [Google Scholar]
- Jones, A.G.E. Captain William Smith and the discovery of new South Shetland. Geogr. J. 1975, 5, 445–461. [Google Scholar] [CrossRef]
- Falk, U.; López, D.A.; Silva-Busso, A. Multi-year analysis of distributed glacier mass balance modelling and equilibrium line altitude on King George Island, Antarctic Peninsula. Cryosphere 2018, 12, 1211–1232. [Google Scholar] [CrossRef]
- Montone, R.C.; Alvarez, C.E.; Bícego, M.C.; Braga, E.S.; Brito, T.A.S.; Campos, L.S.; Fontes, R.F.C.; Castro, B.M.; Corbisier, T.N.; Evangelista, H.; et al. Environmental assessment of admiralty bay, King George Island, Antarctica. In Environment: Science and Policy for Sustainable Development; Springer: Berlin/Heidelberg, Germany, 2013; Volume 51, pp. 157–175. [Google Scholar]
- Oerlemans, J.; Fortuin, J.P.F. Sensitivity of glaciers and small ice caps to greenhouse warming. Science 1992, 258, 115–117. [Google Scholar] [CrossRef]
- Kejna, M.; Araźny, A.; Sobota, I. Climatic change on King George Island in the years 1948–2011. Pol. Polar Res. 2013, 34, 213–235. [Google Scholar] [CrossRef]
- Plenzler, J.; Budzik, T.; Puczko, D.; Bialik, R. Climatic conditions at Arctowski Station (King George Island, West Antarctica) in 2013–2017 against the background of observed regional changes. Pol. Polar Res. 2019, 40, 1–27. [Google Scholar]
- Simões, J.C.; Bremer, U.F.; Aquino, F.E.; Ferron, F.A. Morphology and variations of glacial drainage basins in the King George Island ice field, Antarctica. Ann. Glaciol. 1999, 29, 220–224. [Google Scholar] [CrossRef]
- Osmanoğlu, B.; Braun, M.; Hock, R.; Navarro, F.J. Surface velocity and ice discharge of the ice cap on King George Island, Antarctica. Ann. Glaciol. 2013, 54, 111–119. [Google Scholar] [CrossRef]
- Orheim, O. A 200-Year Record of Glacier Mass Balance at Deception Island, Southwest Atlantic Ocean, and Its Bearing on Models of Global Climatic Change; Princeton University Press: Princeton, NJ, USA, 1972; p. 4. [Google Scholar]
- Orheim, O.; Schytt, V.; Bull, C. Glaciologica studies of past climatic variations in South Shetlands Islands. Antarct. J. USA 1972, 7, 99. [Google Scholar]
- Orheim, O.; Govorukha, L.S. Present-Day Glaciation in the South Shetland Islands. Ann. Glaciol. 1982, 3, 233–238. [Google Scholar] [CrossRef]
- Braun, M. Ablation on the Ice Cap of King George Island (Antarctica); Springer: Berlin/Heidelberg, Germany, 2001; p. 26. [Google Scholar]
- Noble, H.M. Glaciological observations at Admiralty Bay, King George Island, in 1957–1958. Br. Antarct. Surv. Bull. 1965, 5, 1–11. [Google Scholar]
- Stansbury, M.J. Glaciological observations at Admiralty Bay (Lat. 62°05′ S, Lon. 58°24′W), King George Island, South Shetland Islands, 1959–60. Falkl. Isl. Depend. Surv. Prelim. Glaciol. Rep. 1961, 4, 45. [Google Scholar]
- Bintanja, R. Glaciological and meteorological investigations on Ecology Glacier, King George Island, Antarctica (Summer 1990–1991). Circumpolar J. 1992, 7, 59–71. [Google Scholar]
- Bintanja, R. The local surface energy balance of the Ecology Glacier, King George Island, Antarctica: Measurements and modelling. Antarct. Sci. 1995, 7, 315–325. [Google Scholar] [CrossRef]
- Braun, M.; Saurer, H.; Vogt, S.; Simões, J.C.; Goßmann, H. The influence of large-scale atmospheric circulation on the surface energy balance of the King George Island ice cap. Int. J. Climatol. J. R. Meteorol. Soc. 2001, 21, 21–36. [Google Scholar] [CrossRef]
- Braun, M.; Hock, R. Spatially distributed surface energy balance and ablation modelling on the ice cap of King George Island (Antarctica). Glob. Planet. Chang. 2004, 42, 45–58. [Google Scholar] [CrossRef]
- Braun, M.; Saurer, H.; Goßmann, H. Climate, energy fluxes and ablation rates on the ice cap of King George Island. Pesqui. Antárt. Bras. 2004, 4, 87–103. [Google Scholar]
- Sobota, I.; Kejna, M.; Araźny, A. Short-term mass changes and retreat of the Ecology and Sphinx glacier system, King George Island, Antarctic Peninsula. Antarct. Sci. 2015, 27, 500–510. [Google Scholar] [CrossRef]
- Huss, M.; Dhulst, L.; Bauder, A. New long-term mass-balance series for the Swiss Alps. J. Glaciol. 2015, 61, 551–562. [Google Scholar] [CrossRef]
- Wen, J.; Kang, J.; Han, J.; Xie, Z.; Liu, L.; Wang, D. Glaciological studies on the King George Island ice cap, South Shetland Islands, Antarctica. Ann. Glaciol. 1998, 27, 105–109. [Google Scholar]
- Zamoruyev, V. V Results of glaciological observations at Bellingshausen station in 1968. Tr. Sov. Antarkt. Ekspeditsii 1972, 55, 135–144. [Google Scholar]
- Jiankan, H.; Zichu, X.; Fengnian, D.; Wanchang, Z. Volcanic eruptions recorded in an ice core from Collins Ice Cap, King George Island, Antarctica. Ann. Glaciol. 1999, 29, 121–125. [Google Scholar] [CrossRef]
- Simões, J.C.; Ferron, F.A.; Bernardo, R.T.; Aristarain, A.J.; Stiévenard, M.; Pourchet, M.; Delmas, R.J. Ice core study from the king george island, south shetlands, antarctica. Pesqui. Antárt. Bras. 2004, 4, 9–23. [Google Scholar]
- Ferron, F.A. Variações Nas Razões de Isótopos Estáveis na Neve e no Gelo da Ilha Rei George, Antártica. Master’s Thesis, IG/UFRGS, Porto Alegre, Brazil, 1999; p. 125. [Google Scholar]
- Bernardo, R.T. Conteúdo Aniônico da Neve e do Gelo da Ilha Rei George, Antartica. Master’s Thesis, em Geociências, Instituto de Gências, Universidade, Porto Alegre, Brazil, 1999; p. 100. [Google Scholar]
- Rückamp, M.; Braun, M.; Suckro, S.; Blindow, N. Observed glacial changes on the King George Island ice cap, Antarctica, in the last decade. Glob. Planet. Chang. 2011, 79, 99–109. [Google Scholar] [CrossRef]
- Marshall, G.J.; Rees, W.G.; Dowdeswell, J.A. The discrimination of glacier facies using multi-temporal ERS-1 SAR data. Sens. Environ. Appl. Remote Sens. 1995, 9, 263–269. [Google Scholar]
- Smith, L.C.; Forster, R.R.; Isacks, B.L.; Hall, D.K. Seasonal climatic forcing of alpine glaciers revealed with orbital synthetic aperture radar. J. Glaciol. 1997, 43, 480–488. [Google Scholar] [CrossRef][Green Version]
- Falk, U.; Sala, H. Winter melt conditions of the inland ice cap on King George Island, Antarctic Peninsula. Erdkunde 2015, 38, 341–363. [Google Scholar] [CrossRef]
- De Robin, G.Q.; Adie, R.J. The ice cover. Antarct. Res. 1964, 8, 100–117. [Google Scholar]
- Curl, J.E. A Glacial History of the South Shetland Islands, Antarctica; Wright, H.E., Frey, D.G., Eds.; Princeton University Press: Princeton, NJ, USA, 1980; p. 5. [Google Scholar]
- Macheret, Y.Y.; Moskalevsky, M.Y.; Simões, J.C.; Ladouch, L. Study of King George Island ice cap, South Shetland Islands, Antarctica using radio-echo sounding and spot, ERS-1 SAR satellite images. In Proceedings of the European Space Agency, (Special Publication) ESA SP., PAN, Vina del Mar, Chile, 25–29 November 1997; Volume 8, pp. 249–253. [Google Scholar]
- Ren, J. Development conditions and mass balance in the glaciers nearby the Great Wall Station, Antarctica. Collect. Antarct. Sci. Explor. 1988, 9, 247–255. [Google Scholar]
- Ren, J.; Dahe, Q.; Petit, J.R.; Jouzel, J.; Wenti, W.; Chen, L.; Xiaojun, W.; Songlin, Q.; Xiaoxiang, W. Glaciological studies on Nelson Island, South Shetland Islands, Antarctica. J. Glaciol. 1995, 41, 408–412. [Google Scholar]
- Wen, J.; Kang, J.; Xie, Z.; Han, J.; Lluberas, A. Climate, mass balance and glacial changes on small dome of Collins Ice Cap, King George Island, Antarctica. Antarct. Res. 1994, 5, 52–61. [Google Scholar]
- Mavlyudov, R. Ice mass balance of the Bellingshausen ice cap in 2007–2012 (King George Island, South Shetland Islands, Antarctica). Ice Snow 2014, 54, 27–34. [Google Scholar] [CrossRef][Green Version]
- Falk, U.; Lopez, D.; Silva-Busso, A. Sensitivity of Glacier Mass Balance and Equilibrium Line Altitude to Climatic Change on King George Island, Antarctic Peninsula; British Antarctic Survey Bulletin; Wright, H.E., Frey, D.G., Eds.; Princeton University Press: Princeton, NJ, USA, 2017; Volume 19, p. 9409. [Google Scholar]
- Pudełko, R.; Angiel, P.; Potocki, M.; Jędrejek, A.; Kozak, M. Fluctuation of glacial retreat rates in the eastern part of Warszawa Icefield, King George Island, Antarctica, 1979–2018. Remote Sens. 2018, 10, 892. [Google Scholar] [CrossRef]
- Simões, J.C.; Bremer, U.F. Investigations of King George Island ice cover using ERS-1/SAR and SPOT imagery. Rev. Selper 1995, 11, 56–60. [Google Scholar]
- Braun, M.; Rau, F. Using a multi-year data archive of ERS SAR imagery for the monitoring of firn line positions and ablation patterns on the King George Island ice cap (Antarctica). EARSeL eProc. 2000, 1, 281–291. [Google Scholar]
- Braun, M.; Rau, F.; Saurer, H.; Gobmann, H. Development of radar glacier zones on the King George Island ice cap, Antarctica, during austral summer 1996/97 as observed in ERS-2 SAR data. Ann. Glaciol. 2000, 31, 357–363. [Google Scholar] [CrossRef]
- Jania, J.; Grabiec, M.; Kolondra, L.; Puczko, D.; Głowacki, P.; Migała, K.; Budzik, T. Wyniki najnowszych studiów nad współczesną ewolucją lodowców Svalbardu (ze szczególnym uwzględnieniem południowego Spitsbergenu). w: Guterch, A.(red.). In Proceedings of the Struktura, Ewolucja i Dynamika Litosfery, Kriosfery i Biosfery w Europejskim Sektorze Arktyki oraz w Antarktyce (2004–2007), Warszawa, Poland, 29–30 October 2007; Volume 34, pp. 29–30. [Google Scholar]
- Silva, A.B.; Arigony-Neto, J.; Braun, M.H.; Espinoza, J.M.A.; Costi, J.; Jaña, R. Spatial and temporal analysis of changes in the glaciers of the Antarctic Peninsula. Glob. Planet. Chang. 2020, 184, 103079. [Google Scholar] [CrossRef]
- Cook, A.J.; Fox, A.J.; Vaughan, D.G.; Ferrigno, J.G. Retreating glacier fronts on the Antarctic Peninsula over the past half-century. Science 2005, 308, 541–544. [Google Scholar] [CrossRef]
- Mosley-Thompson, E.; Paskievitch, J.F.; Gow, A.J.; Thompson, L.G. Late 20th century increase in South Pole snow accumulation. J. Geophys. Res. Atmos. 1999, 104, 3877–3886. [Google Scholar] [CrossRef]
- Shepherd, A.; Wingham, D.; Payne, T.; Skvarca, P. Larsen ice shelf has progressively thinned. Science 2003, 302, 856–859. [Google Scholar] [CrossRef]
- Stone, J.O.; Balco, G.A.; Sugden, D.E.; Caffee, M.W.; Sass, L.C.; Cowdery, S.G.; Siddoway, C. Holocene deglaciation of Marie Byrd land, west Antarctica. Science 2003, 299, 99–102. [Google Scholar] [CrossRef] [PubMed]
- Calvet, J.; Corbera, J.; Furdada, G. Variación del frente glaciar en Bahia Sur y Punta Siddons entre 1956 y 1991, Isla Livingston, Islas Shetland del Sur. Simposios: III Congreso Geológico de España y VIII Congreso Latinoamericano de Geología; University of Salamanca: Salamanca, Spain, 1992; Volume 3, pp. 283–292. [Google Scholar]
- Park, B.-K.; Chang, S.-K.; Yoon, H.I.; Chung, H. Recent retreat of ice cliffs, King George Island, South Shetland Islands, Antarctic Peninsula. Ann. Glaciol. 1998, 27, 633–635. [Google Scholar] [CrossRef]
- Simões, J.C.; Dani, N.; Bremer, U.F.; Aquino, F.E.; Arigony Neto, J. Small cirque glaciers retreat on Keller Peninsula, Admiralty Bay, King George Island, Antarctica. Braz. Antarct. Res. 2004, 4, 49–56. [Google Scholar]
- Pętlicki, M.; Sziło, J.; MacDonell, S.; Vivero, S.; Bialik, R. Recent deceleration of the ice elevation change of Ecology Glacier (King George Island, Antarctica). Remote Sens. 2017, 9, 520. [Google Scholar] [CrossRef]
- Sziło, J.; Bialik, R. Recession and ice surface elevation changes of Baranowski Glacier and its impact on proglacial relief (King George Island, West Antarctica). Geosciences 2018, 8, 355. [Google Scholar] [CrossRef]
- Simões, C.L.; da Rosa, K.K.; Czapela, F.F.; Vieira, R.; Simões, J.C. Collins Glacier retreat process and regional climatic variations, King George Island, Antarctica. Geogr. Rev. 2015, 105, 462–471. [Google Scholar] [CrossRef]
- Da Rosa, K.K.; Vieira, R.; Fernandez, G.; Mendes, C.W., Jr.; Arigony-Neto, J.; Velho, L.F.; Simões, J.C. Recent changes in the Wanda Glacier, King George Island, Antarctica. Pesqui. Geocienc. 2015, 8, 575. [Google Scholar] [CrossRef]
- Braun, M.; Simões, J.C.; Vogt, S.; Bremer, U.F.; Blindow, N.; Pfender, M.; Saurer, H.; Aquino, F.E.; Ferron, F.A. An improved topographic database for King George Island: Compilation, application and outlook. Antarct. Sci. 2001, 13, 41–52. [Google Scholar] [CrossRef]
- Macheret, Y.Y.; Moskalevsky, M.Y. Study of Lange Glacier on King George Island, Antarctica. Ann. Glaciol. 1999, 29, 202–206. [Google Scholar] [CrossRef]
- Braun, M.; Gossmann, H. Glacial Changes in the Areas of Admiralty Bay and Potter Cove, King George Island, Maritime Antarctica. In Geoecology of Antarctic Ice-Free Coastal Landscapes; Springer: Berlin/Heidelberg, Germany, 2002; pp. 75–89. [Google Scholar]
- Rückamp, M.; Blindow, N.; Suckro, S.; Braun, M.; Humbert, A. Dynamics of the ice cap on King George Island, Antarctica: Field measurements and numerical simulations. Ann. Glaciol. 2010, 51, 80–90. [Google Scholar] [CrossRef]
- Van Der Veen, C.J. Tidewater calving. J. Glaciol. 1996, 42, 375–385. [Google Scholar] [CrossRef]
- Kim, Y.K.; Baek, W.D. Bathymetric and topographic measurements around King Sejong Station, King George Island, Antarctica (II). In The Studies on Natural Environments and Resource of Antarctica; Korea Ocean Research and Development Institute (KORDI): Seoul, Korea, 1995; pp. 825–846. [Google Scholar]
- Instituto Hidrográfico de la Armada de Chile. Caleta Potter; Instituto Hidrográfico de la Armada de Chile: Playa Ancha, Chile, 1980. [Google Scholar]
- Peel, D.A.; Mulvaney, R.; Davison, B.M. Stable-isotope/air-temperature relationships in ice cores from Dolleman Island and the Palmer Land plateau, Antarctic Peninsula. Ann. Glaciol. 1988, 10, 130–136. [Google Scholar] [CrossRef]
- Muser, D. Der Gletscherrückzug auf King George Island, South Shetland Islands Zwischen 1956 und 1992. Eine Digitale Auswertung von Karten, Luftbildern und Satellitendaten. Unpublished Thesis, Albert-Ludwigs-Universität, Freiburg, Germany, 1995. [Google Scholar]
- Warren, C.R. Iceberg calving and the glacioclimatic record. Prog. Phys. Geogr. 1992, 16, 253–282. [Google Scholar] [CrossRef]
- Furmańczyk, K.; Marsz, A. South Shetland Islands, King George Island, Admiralty Bay, Topographic Map 1:25,000 Scale; Printed OP; Institute of Geography, University of Gdansk: Gdansk, Poland, 1980; pp. 183–185. [Google Scholar]
- Ferron, F.A.; Simões, J.C.; Aquino, F.E.; Setzer, A.W. Air temperature time series for King George Island, Antarctica. Pesqui. Antárt. Bras. 2004, 4, 155–169. [Google Scholar]
- Arigony-Neto, J. Determinação e Interpretação de Características Glaciológicas e Geográficas com Sistema de Informações Geográficas na Área Antártica Especialmente Gerenciada baía do Almirantado, ilha Rei George, Antártica. Unpublished Master’s Thesis, Universidade Federal do, Porto Alegre, Brazil, 2001. [Google Scholar]
- Bremer, U.F.; Arigony Neto, J.; Simões, J.C. Teledetecção de mudanças nas bacias de drenagem do gelo da ilha Rei George, Shetlands do Sul, Antártica, entre 1956 e 2000. Pesqui. Antárt. Bras. 2004, 4, 37–48. [Google Scholar]
- Francelino, M.R.; Fernandes Filho, E.I.; Schaefer, C.E.; Rezende, S.B. Fotografias Aéreas Não-Convencionais: Uma Alternativa de Monitoramento Ambiental na Antártica Marítima; Federal University of Viçosa: Viçosa, Brazil, 2003. [Google Scholar]
- Blindow, N.; Suckro, S.K.; Rückamp, M.; Braun, M.; Schindler, M.; Breuer, B.; Saurer, H.; Simões, J.C.; Lange, M.A. Geometry and thermal regime of the King George Island ice cap, Antarctica, from GPR and GPS. Ann. Glaciol. 2010, 51, 103–109. [Google Scholar] [CrossRef]
- Turner, J.; Lu, H.; White, I.; King, J.C.; Phillips, T.; Hosking, J.S.; Bracegirdle, T.J.; Marshall, G.J.; Mulvaney, R.; Deb, P. Absence of 21st century warming on Antarctic Peninsula consistent with natural variability. Nature 2016, 535, 411–415. [Google Scholar] [CrossRef] [PubMed]
- Barsch, D.; Blümel, W.-D. Untersuchungen zum Periglazial auf der König-Georg-Insel, Südshetlandinseln/Antarktika: Deutsche physiogeographische Forschungen in der Antarktis; Bericht über die Kampagne 1983/84. Ber. Polarforsch. Rep. Polar Res. 1985, 24, 75. [Google Scholar]
- Rakusa-Suszczewski, S. The Maritime Antarctic Coastal Ecosystem of Admiralty Bay; Department of Antarctic Biology, Polish Academy of Sciences: Warsaw, Poland, 1993; Volume 216, pp. 293–294. [Google Scholar]
- Meredith, M.P.; King, J.C. Rapid climate change in the ocean west of the Antarctic Peninsula during the second half of the 20th century. Geophys. Res. Lett. 2005, 32. [Google Scholar] [CrossRef]
- Oerlemans, J.; Nick, F.M. A minimal model of a tidewater glacier. Ann. Glaciol. 2005, 42, 1–6. [Google Scholar] [CrossRef]
- Rakusa-Suszczewski, S. King George Island? South Shetland Islands, Maritime Antarctic. In Geoecology of Antarctic Ice-Free Coastal Landscapes; Springer: Berlin/Heidelberg, Germany, 2002; pp. 23–39. [Google Scholar]
- Fieber, K.D.; Mills, J.P.; Miller, P.E.; Clarke, L.; Ireland, L.; Fox, A.J. Rigorous 3D change determination in Antarctic Peninsula glaciers from stereo WorldView-2 and archival aerial imagery. Remote Sens. Environ. 2018, 205, 18–31. [Google Scholar] [CrossRef]
- Nakamura, K.; Doi, K.; Shibuya, K. Estimation of seasonal changes in the flow of Shirase Glacier using JERS-1/SAR image correlation. Polar Sci. 2007, 1, 73–83. [Google Scholar] [CrossRef]
- Strozzi, T.; Kouraev, A.; Wiesmann, A.; Wegmüller, U.; Sharov, A.; Werner, C. Estimation of Arctic glacier motion with satellite L-band SAR data. Remote Sens. Environ. 2008, 112, 636–645. [Google Scholar] [CrossRef]
- Dowdeswell, J.A.; Unwin, B.; Nuttall, A.-M.; Wingham, D.J. Velocity structure, flow instability and mass flux on a large Arctic ice cap from satellite radar interferometry. Earth Planet. Sci. Lett. 1999, 167, 131–140. [Google Scholar] [CrossRef]
- Berthier, E.; Vadon, H.; Baratoux, D.; Arnaud, Y.; Vincent, C.; Feigl, K.L.; Remy, F.; Legresy, B. Surface motion of mountain glaciers derived from satellite optical imagery. Remote Sens. Environ. 2005, 95, 14–28. [Google Scholar] [CrossRef]
- Moll, A.; Braun, M. Determination of glacier velocities on king george island (Antarctica) by DinSAr. In Proceedings of the Philosophical Transactions of the Royal Society A: Mathematical, Physical and Engineering Sciences, Denver, CO, USA, 31 July–4 August 2006; Volume 364, pp. 1236–1239. [Google Scholar]
- Pętlicki, M. Subglacial Topography of an Icefall Inferred From Repeated Terrestrial Laser Scanning. IEEE Geosci. Remote Sens. Lett. 2018, 15, 1461–1465. [Google Scholar] [CrossRef]
- Bindschadler, R.; Vornberger, P.; Blankenship, D.; Scambos, T.; Jacobel, R. Surface velocity and mass balance of Ice Streams D and E, West Antarctica. J. Glaciol. 1996, 42, 461–475. [Google Scholar] [CrossRef]
- Kotlyakov, V.M.; Macheret, Y.Y. Fifty years of geophysical researches of glaciers in Institute of Geography, the Russian Academy of Sciences, 1966–2016. J. Ice Snow 2016, 56, 561–574. [Google Scholar] [CrossRef][Green Version]
- Popov, S. Fifty-five years of Russian radio-echo sounding investigations in Antarctica. Ann. Glaciol. 2020, 61, 14–24. [Google Scholar] [CrossRef]
- Siebert, L.; Simkin, T.; Kimberly, P. Volcanoes of the World; University of California Press: Berkeley, CA, USA, 2011; p. 568. [Google Scholar]
- Travassos, J.M.; Simões, J.C. High-resolution radar mapping of internal layers of a subpolar ice cap, King George Island, Antarctica. Pesqui. Antart. Bras. 2004, 4, 57–65. [Google Scholar]
- Lee, J.; Kim, K.Y.; Hong, J.K.; Jin, Y.K. An englacial image and water pathways of the Fourcade glacier on King George Island, Antarctic Peninsula, inferred from ground-penetrating radar. Sci. China Earth Sci. 2010, 53, 892–900. [Google Scholar] [CrossRef]
- Stolt, R.H. Migration by Fourier transform. Geophysics 1978, 43, 23–48. [Google Scholar] [CrossRef]
- Rückamp, M.; Blindow, N. King George Island ice cap geometry updated with airborne GPR measurements. Earth Syst. Sci. Data 2012, 4, 23–30. [Google Scholar] [CrossRef]
- Blindow, N. The University of Münster Airborne Ice Radar (UMAIR): Instrumentation and first results of temperate and polythermal glaciers. In Proceedings of the EGU General Assembly Conference Abstracts, Vienna, Austria, 19–24 April 2009; p. 13619. [Google Scholar]
- Eisenburger, D.; Blindow, N.; Suckro, S.; Lentz, H.; Krellmann, Y.; Triltzsch, G. Helicopter borne GPR systems for geological applications: Pulse radar and stepped frequency radar in gating mode. In Proceedings of the 5th International Workshop on Advanced Ground Penetrating Radar IWAGPR, Granada, Spain, 27–29 May 2009; pp. 83–87. [Google Scholar]
- Blindow, N.; Salat, C.; Gundelach, V.; Buschmann, U.; Kahnt, W. Performance and calibration of the helicoper GPR system BGR-P30. In Proceedings of the 2011 6th International Workshop on Advanced Ground Penetrating Radar (IWAGPR), Aachen, Germany, 22–24 June 2011; pp. 1–5. [Google Scholar]
- Da Rosa, K.K.; Fernandez, G.B.; da Rocha, T.B.; Simões, F.L.; Vieira, R.; Simões, J.C. Stratigraphy of Wanda Glacier, King George Island, Antarctica, using Ground Penetrating Radar. Rev. Bras. Geofísica 2014, 32, 21–30. [Google Scholar] [CrossRef]
- Navarro, F.J.; Macheret, Y.Y.; Benjumea, B. Application of radar and seismic methods for the investigation of temperate glaciers. J. Appl. Geophys. 2005, 57, 193–211. [Google Scholar] [CrossRef]
- Plewes, L.A.; Hubbard, B. A review of the use of radio-echo sounding in glaciology. Prog. Phys. Geogr. 2001, 25, 203–236. [Google Scholar] [CrossRef]
- Radić, V.; Hock, R. Regional and global volumes of glaciers derived from statistical upscaling of glacier inventory data. J. Geophys. Res. Earth Surf. 2010, 115. [Google Scholar] [CrossRef]
- Eamer, J.; Ahlenius, H.; Prestrud, P. Global Outlook for Ice & Snow; Division of Early Warning and Assessment (DEWA), United Nations Environment Programme: Nairobi, Kenya, 2007; p. 59. [Google Scholar]
- Orlove, B. Glacier retreat: Reviewing the limits of human adaptation to climate change. Environ. Sci. Policy Sustain. Dev. 2009, 51, 22–34. [Google Scholar] [CrossRef]
- Purdie, H. Glacier retreat and tourism: Insights from New Zealand. Mt. Res. Dev. 2013, 33, 463–472. [Google Scholar] [CrossRef]
- Lee, J.; Jin, Y.K.; Hong, J.K.; Yoo, H.J.; Shon, H. Simulation of a tidewater glacier evolution in Marian Cove, King George Island, Antarctica. Geosci. J. 2008, 12, 33–39. [Google Scholar] [CrossRef]
- Clapperton, C.M. Quaternary glaciations in the Souhern Ocean and Antarctic peninsula area. Quat. Sci. Rev. 1990, 9, 229–252. [Google Scholar] [CrossRef]
- Serrano, E.; López-Martínez, J. Rock glaciers in the South Shetland Islands, Western Antarctica. Geomorphology 2000, 35, 145–162. [Google Scholar] [CrossRef]


















| No. | Type of Data | Acquisition Date | References |
|---|---|---|---|
| 1 | Aerial photographs | 21 December 1986 | [66] |
| 2 | Aerial photographs | 4 January 1989 | [66] |
| 3 | Aerial photographs | 1979 | [67,68,69] |
| 4 | Aerial photographs | February 2003 | [70] |
| 5 | APC misc sheet 1 | 1986 | [43] |
| 6 | COSMO-SKYMED | February 2011 | [71] |
| 7 | ERS-1 SAR PRI | 24 July 1992 | [72] |
| 8 | FIDS aerial photographs | 20 December 1956 | [22,66,67,69,72,73,74] |
| 9 | Fildes Peninsula topographic map | 1983 | [70] |
| 10 | KORDI topographic survey | 1994 | [66] |
| 11 | Landsat | 4 February 2003 | [69] |
| 12 | Landsat | 14 January 2007 | [69] |
| 13 | Landsat | 5 February 2018 | [69] |
| 14 | Landsat 2 | 8 February 1989 | [70] |
| 15 | Landsat-3 MSS | 20 December 1979 | [72] |
| 16 | Map of Admiralty Bay | 1990; ice front positions: 1978/1979 | [68,69,74] |
| 17 | Map of ASPA 128 | Topographical surveys 2000/01 | [68,69] |
| 18 | Photogrammetric survey | 1988/1989 | [73] |
| 19 | Pleiades 1A | 25 December 2012 | [68] |
| 20 | QuickBird | 12 September 2005 | [43] |
| 21 | QuickBird | 26 October 2006 | [43] |
| 22 | QuickBird | 30 August 2006 | [43] |
| 23 | QuickBird | 21 February 2006 | [70,71] |
| 24 | SPOT | 19 February 1988 | [43,74] |
| 25 | SPOT | 23 February 2000 | [43] |
| 26 | SPOT74 | 31 March 1991 | [73] |
| 27 | SPOT HRV XS | 29 February 1988 | [72] |
| 28 | SPOT panchromatic | 17 November 1992 | [74] |
| 29 | SPOT XS | 26 November 1994 | [74] |
| 30 | SPOT XS | 29 March 1995 | [69,74] |
| 31 | SPOT XS | 23 February 2000 | [70,74] |
| 32 | SPOT-1 HRV | 19 February 1988 | [22,71] |
| 33 | SPOT-2 HRV | 31 March 1992 | [22] |
| 34 | SPOT-3 HRV | 29 March 1995 | [22,43,71] |
| 35 | SPOT-4 | 23 March 2000 | [67,71] |
| 36 | TerraSAR-X | 5 December 2007 | [43] |
| 37 | TerraSAR-X | 3 August 2008 | [43] |
| 38 | TerraSAR-X | 7 August 2008 | [43] |
| 39 | TerraSAR-X | 13 August 2008 | [43] |
| 40 | Terrestrial Laser Scanning | 2016 | [68,69] |
| 41 | Topographic surveys | 1992/93 | [67] |
| 42 | Topographic surveys | 1993/94 | [67] |
| Maximum [m a−1] | Minimum [m a−1] | ||
|---|---|---|---|
| AI | South-eastern region | 112.1 | 0.7 |
| North-western region | 63.7 | ||
| Central part of the KGI Icefield | 88.2 | 3.3 | |
| Depth [m] | Year | Historical Record |
|---|---|---|
| 21.29 | 1955 | 1956 |
| 40.39 | 1907 | 1905 or 1909 or 1912 |
| 44.26 | 1893 | - |
| 45.40 | 1888 | - |
| 47.01 | 1882 | - |
| 48.12 | 1878 | - |
| 48.76 | 1876 | 1871 |
| 56.44 | 1841 | 1842 |
| 60.92 | 1817 | 1812 |
| Date | Profile | Length [m] | Method | Central Frequency of the Utilized Antenna [MHz] | Type of Antenna |
|---|---|---|---|---|---|
| November 2006 | G1 | 470 | Ground-based GPR | 100 and 500 | shielded |
| H1 | 470 | Helicopter-borne radar | 100 | shielded | |
| December 2007 | G2 | 490 | Ground-based GPR | 50 | unshielded |
Publisher’s Note: MDPI stays neutral with regard to jurisdictional claims in published maps and institutional affiliations. |
© 2022 by the authors. Licensee MDPI, Basel, Switzerland. This article is an open access article distributed under the terms and conditions of the Creative Commons Attribution (CC BY) license (https://creativecommons.org/licenses/by/4.0/).
Share and Cite
Dziembowski, M.; Bialik, R.J. The Remotely and Directly Obtained Results of Glaciological Studies on King George Island: A Review. Remote Sens. 2022, 14, 2736. https://doi.org/10.3390/rs14122736
Dziembowski M, Bialik RJ. The Remotely and Directly Obtained Results of Glaciological Studies on King George Island: A Review. Remote Sensing. 2022; 14(12):2736. https://doi.org/10.3390/rs14122736
Chicago/Turabian StyleDziembowski, Michał, and Robert Józef Bialik. 2022. "The Remotely and Directly Obtained Results of Glaciological Studies on King George Island: A Review" Remote Sensing 14, no. 12: 2736. https://doi.org/10.3390/rs14122736
APA StyleDziembowski, M., & Bialik, R. J. (2022). The Remotely and Directly Obtained Results of Glaciological Studies on King George Island: A Review. Remote Sensing, 14(12), 2736. https://doi.org/10.3390/rs14122736

