Dual-Frequency Radar Retrievals of Snowfall Using Random Forest
Abstract
:1. Introduction
2. Data and Instruments
2.1. Experimental Design
2.2. Instruments
3. Retrieval Methods
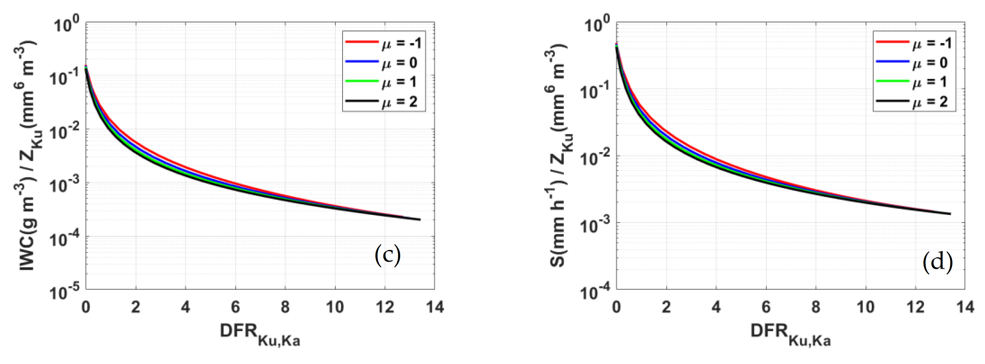
3.1. Conventional Method
3.2. Random Forest (RF) Method
4. Evaluation of Retrievals
5. Conclusions
Author Contributions
Funding
Data Availability Statement
Acknowledgments
Conflicts of Interest
References
- Field, P.R.; Heymsfield, A.J. Importance of snow to global precipitation. Geophys. Res. Lett. 2015, 42, 9512–9520. [Google Scholar] [CrossRef] [Green Version]
- Hinzman, L.D.; Bettez, N.D.; Bolton, W.R.; Chapin, F.S.; Dyurgerov, M.B.; Fastie, C.L.; Griffith, B.; Hollister, R.D.; Hope, A.; Huntington, H.P.; et al. Evidence and implications of recent climate change in northern Alaska and other arctic regions. Clim. Change 2005, 72, 251–298. [Google Scholar] [CrossRef]
- Luckman, A.; Murray, T.; de Lange, R.; Hanna, E. Rapid and synchronous ice-dynamic changes in East Greenland. Geophys. Res. Lett. 2006, 33, L03503. [Google Scholar] [CrossRef]
- Choi, G.; Robinson, D.A.; Kang, S. Changing Northern Hemisphere Snow Seasons. J. Clim. 2010, 23, 5305–5310. [Google Scholar] [CrossRef]
- Muelmenstaedt, J.; Sourdeval, O.; Delanoe, J.; Quaas, J. Frequency of occurrence of rain from liquid-, mixed-, and ice-phase clouds derived from A-Train satellite retrievals. Geophys. Res. Lett. 2015, 42, 6502–6509. [Google Scholar] [CrossRef] [Green Version]
- Waliser, D.E.; Li, J.-L.F.; Woods, C.P.; Austin, R.T.; Bacmeister, J.; Chern, J.; Del Genio, A.; Jiang, J.H.; Kuang, Z.; Meng, H.; et al. Cloud ice: A climate model challenge with signs and expectations of progress. J. Geophys. Res. 2009, 114, D00A21. [Google Scholar] [CrossRef]
- Cortinas, J.V.; Bernstein, B.C.; Robbins, C.C.; Strapp, J.W. An analysis of freezing rain, freezing drizzle, and ice pellets across the United States and Canada: 1976-90. Weather. Forecast. 2004, 19, 377–390. [Google Scholar] [CrossRef]
- Cantrell, W.; Heymsfield, A. Production of ice in tropospheric clouds-A review. Bull. Am. Meteorol. Soc. 2005, 86, 795–807. [Google Scholar] [CrossRef] [Green Version]
- Lebo, Z.J.; Johnson, N.C.; Harrington, J.Y. Radiative influences on ice crystal and droplet growth within mixed-phase stratus clouds. J. Geophys. Res.-Atmos. 2008, 113, D09203. [Google Scholar] [CrossRef] [Green Version]
- Morrison, H.; Grabowski, W.W. A novel approach for representing ice microphysics in models: Description and tests using a kinematic framework. J. Atmos. Sci. 2008, 65, 1528–1548. [Google Scholar] [CrossRef] [Green Version]
- Delanoe, J.; Hogan, R.J.; Forbes, R.M.; Bodas-Salcedo, A.; Stein, T.H.M. Evaluation of ice cloud representation in the ECMWF and UK Met Office models using CloudSat and CALIPSO data. Q. J. R. Meteorol. Soc. 2011, 137, 2064–2078. [Google Scholar] [CrossRef]
- Morrison, H.; de Boer, G.; Feingold, G.; Harrington, J.; Shupe, M.D.; Sulia, K. Resilience of persistent Arctic mixed-phase clouds. Nat. Geosci. 2012, 5, 11–17. [Google Scholar] [CrossRef]
- Harrington, J.Y.; Sulia, K.; Morrison, H. A Method for Adaptive Habit Prediction in Bulk Microphysical Models. Part I: Theoretical Development. J. Atmos. Sci. 2013, 70, 349–364. [Google Scholar] [CrossRef]
- Klein, S.A.; Zhang, Y.; Zelinka, M.D.; Pincus, R.; Boyle, J.; Gleckler, P.J. Are climate model simulations of clouds improving? An evaluation using the ISCCP simulator. J. Geophys. Res. Atmos. 2013, 118, 1329–1342. [Google Scholar] [CrossRef]
- Morrison, H.; Milbrandt, J.A. Parameterization of Cloud Microphysics Based on the Prediction of Bulk Ice Particle Properties. Part I: Scheme Description and Idealized Tests. J. Atmos. Sci. 2015, 72, 287–311. [Google Scholar] [CrossRef]
- Stein, T.H.M.; Parker, D.J.; Hogan, R.J.; Birch, C.E.; Holloway, C.E.; Lister, G.M.S.; Marsham, J.H.; Woolnough, S.J. The representation of the West African monsoon vertical cloud structure in the Met Office Unified Model: An evaluation with CloudSat. Q. J. R. Meteorol. Soc. 2015, 141, 3312–3324. [Google Scholar] [CrossRef] [Green Version]
- Matrosov, S.Y. Modeling backscatter properties of snowfall at millimeter wavelengths. J. Atmos. Sci. 2007, 64, 1727–1736. [Google Scholar] [CrossRef]
- Liu, G. A Database of Microwave Single-Scattering Properties for Nonspherical Ice Particles. Bull. Am. Meteorol. Soc. 2008, 89, 1563–1570. [Google Scholar] [CrossRef] [Green Version]
- Kulie, M.S.; Bennartz, R.; Greenwald, T.J.; Chen, Y.; Weng, F. Uncertainties in Microwave Properties of Frozen Precipitation Implications for Remote Sensing and Data Assimilation. J. Atmos. Sci. 2010, 67, 3471–3487. [Google Scholar] [CrossRef] [Green Version]
- Petty, G.W.; Huang, W. Microwave Backscatter and Extinction by Soft Ice Spheres and Complex Snow Aggregates. J. Atmos. Sci. 2010, 67, 769–787. [Google Scholar] [CrossRef]
- Tyynela, J.; Leinonen, J.; Moisseev, D.; Nousiainen, T. Radar Backscattering from Snowflakes: Comparison of Fractal, Aggregate, and Soft Spheroid Models. J. Atmos. Ocean. Technol. 2011, 28, 1365–1372. [Google Scholar] [CrossRef] [Green Version]
- Leinonen, J.; Szyrmer, W. Radar signatures of snowflake riming: A modeling study. Earth Space Sci. 2015, 2, 346–358. [Google Scholar] [CrossRef]
- Lu, Y.; Jiang, Z.; Aydin, K.; Verlinde, J.; Clothiaux, E.E.; Botta, G. A polarimetric scattering database for non-spherical ice particles at microwave wavelengths. Atmos. Meas. Tech. 2016, 9, 5119–5134. [Google Scholar] [CrossRef] [Green Version]
- Eriksson, P.; Ekelund, R.; Mendrok, J.; Brath, M.; Lemke, O.; Buehler, S.A. A general database of hydrometeor single scattering properties at microwave and sub-millimetre wavelengths. Earth Syst. Sci. Data 2018, 10, 1301–1326. [Google Scholar] [CrossRef] [Green Version]
- Kuo, K.S.; Olson, W.S.; Johnson, B.T.; Grecu, M.; Tian, L.; Clune, T.L.; van Aartsen, B.H.; Heymsfield, A.J.; Liao, L.; Meneghini, R. The microwave Radiative Properties of Falling Snow Derived from Nonspherical Ice Particle Models. Part I: An Extensive Database of Simulated Pristine Crystals and Aggregate Particles, and Their Scattering Properties. J. Appl. Meteorol. Climatol. 2016, 55, 691–708. [Google Scholar] [CrossRef]
- Bukovčić, P.; Ryzhkov, A.; Zrnić, D.; Zhang, G. Polarimetric Radar Relations for Quantification of Snow Based on Disdrometer Data. J. Appl. Meteorol. Climatol. 2018, 57, 103–120. [Google Scholar] [CrossRef]
- Hassan, D.; Taylor, P.A.; Isaac, G.A. Snowfall rate estimation using C-band polarimetric radars. Meteorol. Appl. 2017, 24, 142–156. [Google Scholar] [CrossRef] [Green Version]
- Huang, G.-J.; Bringi, V.N.; Moisseev, D.; Petersen, W.A.; Bliven, L.; Hudak, D. Use of 2D-video disdrometer to derive mean density–size and Ze–SR relations: Four snow cases from the light precipitation validation experiment. Atmos. Res. 2015, 153, 34–48. [Google Scholar] [CrossRef]
- Huang, G.J.; Bringi, V.N.; Cifelli, R.; Hudak, D.; Petersen, W.A. A Methodology to Derive Radar Reflectivity-Liquid Equivalent Snow Rate Relations Using C-Band Radar and a 2D Video Disdrometer. J. Atmos. Ocean. Technol. 2010, 27, 637–651. [Google Scholar] [CrossRef]
- Souverijns, N.; Gossart, A.; Lhermitte, S.; Gorodetskaya, I.V.; Kneifel, S.; Maahn, M.; Bliven, F.L.; van Lipzig, N.P.M. Estimating radar reflectivity-Snowfall rate relationships and their uncertainties over Antarctica by combining disdrometer and radar observations. Atmos. Res. 2017, 196, 211–223. [Google Scholar] [CrossRef]
- von Lerber, A.; Moisseev, D.; Bliven, L.F.; Petersen, W.; Harri, A.-M.; Chandrasekar, V. Microphysical Properties of Snow and Their Link to Z(e)-S Relations during BAECC 2014. J. Appl. Meteorol. Climatol. 2017, 56, 1561–1582. [Google Scholar] [CrossRef]
- Hou, A.Y.; Kakar, R.K.; Neeck, S.; Azarbarzin, A.A.; Kummerow, C.D.; Kojima, M.; Oki, R.; Nakamura, K.; Iguchi, T. The global precipitation measurement mission. Bull. Am. Meteorol. Soc. 2014, 95, 701–722. [Google Scholar] [CrossRef]
- Skofronick-Jackson, G.; Hudak, D.; Petersen, W.; Nesbitt, S.W.; Chandrasekar, V.; Durden, S.; Gleicher, K.J.; Huang, G.-J.; Joe, P.; Kollias, P.; et al. Global Precipitation Measurement Cold Season Precipitation Experiment (GCPEX): For Measurement’s Sake, Let It Snow. Bull. Am. Meteorol. Soc. 2015, 96, 1719–1741. [Google Scholar] [CrossRef]
- Rose, C.R.; Chandrasekar, V. Extension of GPM dual-frequency iterative retrieval method with DSD-profile constraint. Ieee Trans. Geosci. Remote Sens. 2006, 44, 328–335. [Google Scholar] [CrossRef]
- Matrosov, S.Y. A dual-wavelength radar method to measure snowfall rate. J. Appl. Meteorol. 1998, 37, 1510–1521. [Google Scholar] [CrossRef]
- Szyrmer, W.; Zawadzki, I. Snow Studies. Part III: Theoretical Derivations for the Ensemble Retrieval of Snow Microphysics from Dual-Wavelength Vertically Pointing Radars. J. Atmos. Sci. 2014, 71, 1158–1170. [Google Scholar] [CrossRef]
- Szyrmer, W.; Zawadzki, I. Snow Studies. Part IV: Ensemble Retrieval of Snow Microphysics from Dual-Wavelength Vertically Pointing Radars. J. Atmos. Sci. 2014, 71, 1171–1186. [Google Scholar] [CrossRef]
- Liao, L.; Meneghini, R.; Tian, L.; Heymsfield, G.M. Retrieval of Snow and Rain From Combined X- and W-Band Airborne Radar Measurements. IEEE Trans. Geosci. Remote Sens. 2008, 46, 1514–1524. [Google Scholar] [CrossRef]
- Liao, L.; Meneghini, R.; Tokay, A.; Bliven, L.F. Retrieval of Snow Properties for Ku- and Ka-band Dual-Frequency Radar. J. Appl. Meteorol. Climatol. 2016, 55, 1845–1858. [Google Scholar] [CrossRef]
- Wang, Z.; Heymsfield, G.M.; Li, L.H.; Heymsfield, A.J. Retrieving optically thick ice cloud microphysical properties by using airborne dual-wavelength radar measurements. J. Geophys. Res.-Atmos. 2005, 110, D19201. [Google Scholar] [CrossRef] [Green Version]
- Huang, G.-J.; Bringi, V.N.; Newman, A.J.; Lee, G.; Moisseev, D.; Notaroš, B.M. Dual-wavelength radar technique development for snow rate estimation: A case study from GCPEx. Atmos. Meas. Tech. 2019, 12, 1409–1427. [Google Scholar] [CrossRef] [Green Version]
- Liao, L.; Meneghini, R.; Tokay, A.; Kim, H. Assessment of Ku- and Ka-band Dual-frequency Radar for Snow Retrieval. J. Meteorol. Soc. Jpn. 2020, 98, 1129–1146. [Google Scholar] [CrossRef]
- Herman, G.R.; Schumacher, R.S. Money Doesn’t Grow on Trees, but Forecasts Do: Forecasting Extreme Precipitation with Random Forests. Mon. Weather. Rev. 2018, 146, 1571–1600. [Google Scholar] [CrossRef]
- Chen, H.; Chandrasekar, V.; Cifelli, R.; Xie, P. A Machine Learning System for Precipitation Estimation Using Satellite and Ground Radar Network Observations. IEEE Trans. Geosci. Remote Sens. 2020, 58, 982–994. [Google Scholar] [CrossRef]
- Chen, H.N.; Chandrasekar, V.; Tan, H.M.; Cifelli, R. Rainfall Estimation From Ground Radar and TRMM Precipitation Radar Using Hybrid Deep Neural Networks. Geophys. Res. Lett. 2019, 46, 10669–10678. [Google Scholar] [CrossRef]
- Chen, H.; Sun, L.; Cifelli, R.; Xie, P. Deep Learning for Bias Correction of Satellite Retrievals of Orographic Precipitation. Ieee Trans. Geosci. Remote Sens. 2022, 60, 1–11. [Google Scholar] [CrossRef]
- Li, X.; Yang, Y.; Mi, J.; Bi, X.; Zhao, Y.; Huang, Z.; Liu, C.; Zong, L.; Li, W. Leveraging machine learning for quantitative precipitation estimation from Fengyun-4 geostationary observations and ground meteorological measurements. Atmos. Meas. Tech. 2021, 14, 7007–7023. [Google Scholar] [CrossRef]
- Moraux, A.; Dewitte, S.; Cornelis, B.; Munteanu, A. A Deep Learning Multimodal Method for Precipitation Estimation. Remote Sens. 2021, 13, 3278. [Google Scholar] [CrossRef]
- Peng, X.; Li, Q.; Jing, J. CNGAT: A Graph Neural Network Model for Radar Quantitative Precipitation Estimation. IEEE Trans. Geosci. Remote Sens. 2022, 60, 1–14. [Google Scholar] [CrossRef]
- Zhang, Y.; Bi, S.; Liu, L.; Chen, H.; Zhang, Y.; Shen, P.; Yang, F.; Wang, Y.; Zhang, Y.; Yao, S. Deep Learning for Polarimetric Radar Quantitative Precipitation Estimation during Landfalling Typhoons in South China. Remote Sens. 2021, 13, 3157. [Google Scholar] [CrossRef]
- Zhang, Y.; Wu, K.; Zhang, J.; Zhang, F.; Xiao, H.; Wang, F.; Zhou, J.; Song, Y.; Peng, L. Estimating Rainfall with Multi-Resource Data over East Asia Based on Machine Learning. Remote Sens. 2021, 13, 3332. [Google Scholar] [CrossRef]
- Conrick, R.; Zagrodnik, J.P.; Mass, C.F. Dual-Polarization Radar Retrievals of Coastal Pacific Northwest Raindrop Size Distribution Parameters Using Random Forest Regression. J. Atmos. Ocean. Technol. 2020, 37, 229–242. [Google Scholar] [CrossRef]
- Sekelsky, S.M.; Ecklund, W.L.; Firda, J.M.; Gage, K.S.; McIntosh, R.E. Particle Size Estimation in Ice-Phase Clouds Using Multifrequency Radar Reflectivity Measurements at 95, 33, and 2.8 GHz. J. Appl. Meteorol. 1999, 38, 5–28. [Google Scholar] [CrossRef]
- Yu, T.; Chandrasekar, V.; Xiao, H.; Joshil, S.S. Characteristics of Snow Particle Size Distribution in the PyeongChang Region of South Korea. Atmosphere 2020, 11, 1093. [Google Scholar] [CrossRef]
- Yu, T.; Chandrasekar, V.; Xiao, H.; Joshil, S.S. Snowfall Estimation Using Dual-wavelength Radar during the Pyeongchang 2018 Olympics and Paralympic Winter Games. J. Meteorol. Soc. Jpn. 2021, 99, 67–77. [Google Scholar] [CrossRef]
- Kim, K.; Bang, W.; Chang, E.-C.; Tapiador, F.J.; Tsai, C.-L.; Jung, E.; Lee, G. Impact of wind pattern and complex topography on snow microphysics during International Collaborative Experiment for PyeongChang 2018 Olympic and Paralympic winter games (ICE-POP 2018). Atmos. Chem. Phys. 2021, 21, 11955–11978. [Google Scholar] [CrossRef]
- In, S.-R.; Nam, H.-G.; Lee, J.-H.; Park, C.-G.; Shim, J.-K.; Kim, B.-J. Verification of Planetary Boundary Layer Height for Local Data Assimilation and Prediction System (LDAPS) Using the Winter Season Intensive Observation Data during ICE-POP 2018. Atmosphere 2018, 28, 369–382. [Google Scholar] [CrossRef]
- Jung, S.-P.; Lee, C.; Kim, J.-H.; Yang, H.J.; Yun, J.-H.; Ko, H.J.; Hong, S.-E.; Kim, S.-B. Thermodynamic Characteristics of Snowfall Clouds using Dropsonde Data During ICE-POP 2018. Atmosphere 2020, 30, 31–46. [Google Scholar] [CrossRef]
- Gehring, J.; Oertel, A.; Vignon, É.; Jullien, N.; Besic, N.; Berne, A. Microphysics and dynamics of snowfall associated with a warm conveyor belt over Korea. Atmos. Chem. Phys. 2020, 20, 7373–7392. [Google Scholar] [CrossRef]
- Battaglia, A.; Rustemeier, E.; Tokay, A.; Blahak, U.; Simmer, C. PARSIVEL Snow Observations: A Critical Assessment. J. Atmos. Ocean. Technol. 2010, 27, 333–344. [Google Scholar] [CrossRef]
- Kneifel, S.; von Lerber, A.; Tiira, J.; Moisseev, D.; Kollias, P.; Leinonen, J. Observed relations between snowfall microphysics and triple-frequency radar measurements. J. Geophys. Res. Atmos. 2015, 120, 6034–6055. [Google Scholar] [CrossRef] [Green Version]
- Chandrasekar, V. GPM Ground Validation Dual-Frequency Dual-Polarized Doppler Radar (D3R) ICE POP; NASA Global Hydrometeorology Resource Center DAAC: Huntsville, AL, USA, 2019. [Google Scholar] [CrossRef]










| NO. | Date and Time (UTC) | Accumulation (mm) | T (°C) | RH (%) | WS (m/s) | WD (°) |
|---|---|---|---|---|---|---|
| 1 | 3 December 2017 00:00–23:00 | 3.18 | −1.1 | 86.0 | 5.0 | 261.0 |
| 2 | 6 December 2017 10:00–19:00 | 1.99 | −3.3 | 81.0 | 11.0 | 294.0 |
| 3 | 10 December 2017 00:00–16:00 | 4.16 | −3.7 | 72.0 | 16.0 | 284.0 |
| 4 | 17 December 2017 17:00–24:00 | 1.38 | −11.0 | 50.0 | 11.0 | 247.0 |
| 5 | 18 December 2017 00:00–13:00 | 2.39 | −2.5 | 73.0 | 18.0 | 274.0 |
| 6 | 24 December 2017 00:00–16:00 | 6.29 | −2.2 | 95.0 | 15.0 | 281.0 |
| 7 | 30 December 2017 11:00–23:00 | 1.80 | −0.2 | 77.0 | 2.0 | 302.0 |
| 8 | 8 January 2018 00:00–20:00 | 4.74 | −3.2 | 73.0 | 10.0 | 279.0 |
| 9 | 9 January 2018 13:00–21:00 | 2.24 | −9.6 | 64.0 | 16.0 | 274.0 |
| 10 | 16 January 2018 10:00–24:00 | 1.52 | −0.2 | 82.0 | 2.0 | 43.0 |
| 11 | 22 January 2018 03:00–22:00 | 4.93 | −2.9 | 91.0 | 6.0 | 277.0 |
| 12 | 30 January 2018 07:00–24:00 | 3.78 | −8.6 | 77.0 | 10.0 | 276.0 |
| 13 | 22 February 2018 11:00–22:00 | 1.06 | −2.8 | 65.0 | 12.0 | 261.0 |
| 14 | 28 February 2018 00:00–24:00 | 50.17 | −0.4 | 97.0 | 12.0 | 80.0 |
| 15 | 4 March 2018 15:00–24:00 | 21.30 | −3.0 | 96.0 | 7.0 | 85.0 |
| 16 | 4 March 2018 00:00–09:00 | 4.72 | −5.5 | 91.0 | 1.0 | 87.0 |
| 17 | 7 March 2018 05:00–24:00 | 12.59 | −0.9 | 90.0 | 4.0 | 78.0 |
| 18 | 8 March 2018 00:00–24:00 | 4.46 | −2.0 | 94.0 | 2.0 | 34.0 |
| 19 | 16 March 2018 00:30–06:00 | 1.58 | −5.6 | 90.0 | 2.0 | 286.0 |
| 20 | 20 March 2018 18:00–24:00 | 4.45 | −5.8 | 88.0 | 14.0 | 88.0 |
| 21 | 21 March 2018 00:00–14:00 | 8.59 | −3.7 | 95.0 | 8.0 | 54.0 |
| Parameters | |
|---|---|
| Frequency | Ku: 13.91 GHz ± 25 MHz Ka: 35.56 GHz ± 25 MHz |
| Minimum operational range | 450 m |
| Maximum range | 40 km |
| Operational range resolution | 150 m |
| Minimum detectable signal | −10 dBZ at 15 km for a single pulse at 150 m range resolution |
| Angular coverage | Az: 0–360°, El: −0.5–90° |
| Dm | Nw | µ | S | IWC | |
|---|---|---|---|---|---|
| NO. of trees (n_estimators) | 2910 | 910 | 1110 | 1010 | 710 |
| max data per tree (max_features) | (N)1/2 | (N)1/2 | (N)1/2 | (N)1/2 | (N)1/2 |
| max_depth | 4 | 5 | 3 | 8 | 5 |
| min data required to create new branch (min_samples_split) | 21 | 21 | 21 | 4 | 21 |
| min data per leaf (min_samples_leaf) | 10 | 10 | 10 | 2 | 8 |
| Dm | Nw | µ | S | IWC | |
|---|---|---|---|---|---|
| Mean Absolute Error | 0.32 | 0.32 | 1.33 | 0.27 | 0.07 |
| Accuracy | 85.77% | 91.62% | 72.96% | 72.93% | 55.75% |
| importance of DFR | 0.98 | 0.79 | 0.86 | 0.95 | 0.97 |
| importance of Z | 0.02 | 0.21 | 0.14 | 0.05 | 0.03 |
| training CORR | 0.89 | 0.71 | 0.8 | 0.99 | 0.93 |
| testing CORR | 0.88 | 0.66 | 0.75 | 0.97 | 0.92 |
Publisher’s Note: MDPI stays neutral with regard to jurisdictional claims in published maps and institutional affiliations. |
© 2022 by the authors. Licensee MDPI, Basel, Switzerland. This article is an open access article distributed under the terms and conditions of the Creative Commons Attribution (CC BY) license (https://creativecommons.org/licenses/by/4.0/).
Share and Cite
Yu, T.; Chandrasekar, V.; Xiao, H.; Yang, L.; Luo, L.; Li, X. Dual-Frequency Radar Retrievals of Snowfall Using Random Forest. Remote Sens. 2022, 14, 2685. https://doi.org/10.3390/rs14112685
Yu T, Chandrasekar V, Xiao H, Yang L, Luo L, Li X. Dual-Frequency Radar Retrievals of Snowfall Using Random Forest. Remote Sensing. 2022; 14(11):2685. https://doi.org/10.3390/rs14112685
Chicago/Turabian StyleYu, Tiantian, V. Chandrasekar, Hui Xiao, Ling Yang, Li Luo, and Xiang Li. 2022. "Dual-Frequency Radar Retrievals of Snowfall Using Random Forest" Remote Sensing 14, no. 11: 2685. https://doi.org/10.3390/rs14112685
APA StyleYu, T., Chandrasekar, V., Xiao, H., Yang, L., Luo, L., & Li, X. (2022). Dual-Frequency Radar Retrievals of Snowfall Using Random Forest. Remote Sensing, 14(11), 2685. https://doi.org/10.3390/rs14112685
