Comparison of the Effects of Regional and Global Dust Storms on the Composition of the Ionized Species of the Martian Upper Atmosphere Using MAVEN
Abstract
:1. Introduction

2. Materials and Methods
3. Results and Discussion
3.1. Trends of Ion Species
3.2. Ion Species Fraction
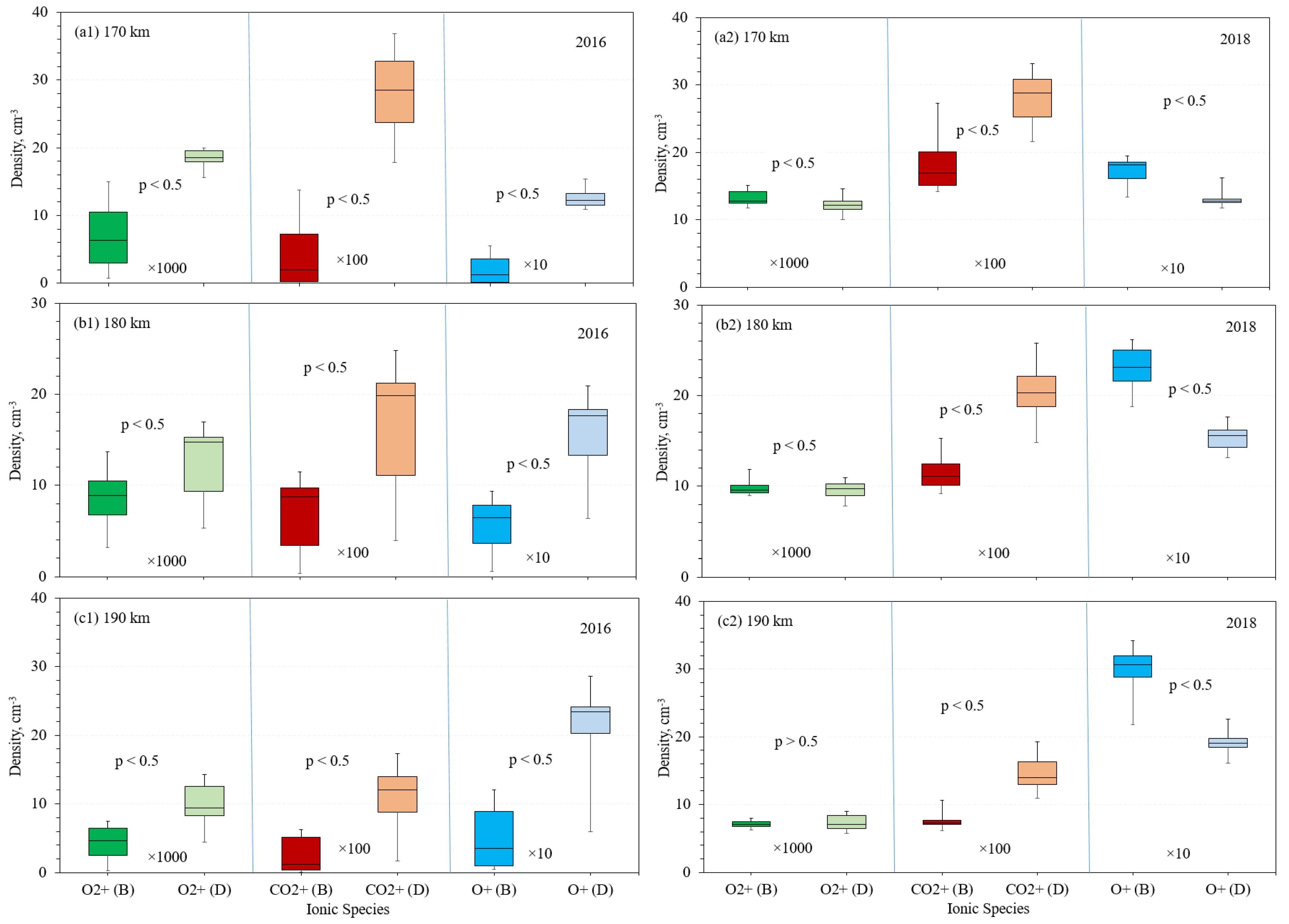
3.3. Data Statistical Significance
4. Conclusions
Author Contributions
Funding
Data Availability Statement
Acknowledgments
Conflicts of Interest
References
- Bougher, S.W.; Fesen, C.G.; Ridley, E.C.; Zurek, R.W. Mars Mesosphere and Thermosphere Coupling: Semidiurnal Tides. J. Geophys. Res. Planets 1993, 98, 3281–3295. [Google Scholar] [CrossRef]
- Clark, I.D.; Noxon, J.F. Photodissociation of CO2 on Mars. J. Geophys. Res. 1970, 75, 7307–7310. [Google Scholar] [CrossRef]
- Withers, P.; Pratt, R. An Observational Study of the Response of the Upper Atmosphere of Mars to Lower Atmospheric Dust Storms. Icarus 2013, 225, 378–389. [Google Scholar] [CrossRef] [Green Version]
- Martin, L.J.; Zurek, R.W. An Analysis of the History of Dust Activity on Mars. J. Geophys. Res. Planets 1993, 98, 3221–3246. [Google Scholar] [CrossRef]
- Wang, H.; Richardson, M.I. The Origin, Evolution, and Trajectory of Large Dust Storms on Mars during Mars Years 24–30 (1999–2011). Icarus 2015, 251, 112–127. [Google Scholar] [CrossRef]
- Heavens, N.G.; Kass, D.M.; Shirley, J.H. Dusty Deep Convection in the Mars Year 34 Planet-Encircling Dust Event. J. Geophys. Res. Planets 2019, 124, 2863–2892. [Google Scholar] [CrossRef]
- Kass, D.M.; Schofield, J.T.; Kleinböhl, A.; McCleese, D.J.; Heavens, N.G.; Shirley, J.H.; Steele, L.J. Mars Climate Sounder Observation of Mars’ 2018 Global Dust Storm. Geophys. Res. Lett. 2020, 47, e2019GL083931. [Google Scholar] [CrossRef]
- Basu, S.; Richardson, M.; Wilson, R. Simulation of the Martian Dust Cycle with the GFDL Mars GCME. J. Geophys. Res 2004, 109. [Google Scholar] [CrossRef] [Green Version]
- Cantor, B.A. MOC Observations of the 2001 Mars Planet-Encircling Dust Storm. Icarus 2007, 186, 60–96. [Google Scholar] [CrossRef]
- Stewart, A.J.; Hanson, W.B. Mars’ Upper Atmosphere: Mean and Variations. Adv. Space Res. 1982, 2, 87–101. [Google Scholar] [CrossRef]
- Hantsch, M.H.; Bauer, S.J. Solar Control of the Mars Ionosphere. Planet. Space Sci. 1990, 38, 539–542. [Google Scholar] [CrossRef]
- Madeleine, J.-B.; Forget, F.; Millour, E.; Montabone, L.; Wolff, M.J. Revisiting the Radiative Impact of Dust on Mars Using the LMD Global Climate Model. J. Geophys. Res. Planets 2011, 116. [Google Scholar] [CrossRef] [Green Version]
- Chaufray, J.-Y.; Chaffin, M.; Deighan, J.; Jain, S.; Schneider, N.; Mayyasi, M.; Jakosky, B. Effect of the 2018 Martian Global Dust Storm on the CO2 Density in the Lower Nightside Thermosphere Observed From MAVEN/IUVS Lyman-Alpha Absorption. Geophys. Res. Lett. 2020, 47, e2019GL082889. [Google Scholar] [CrossRef]
- Bell, J.M.; Bougher, S.W.; Murphy, J.R. Vertical Dust Mixing and the Interannual Variations in the Mars Thermosphere. J. Geophys. Res. Planets 2007, 112. [Google Scholar] [CrossRef]
- Spiga, A.; Forget, F. A New Model to Simulate the Martian Mesoscale and Microscale Atmospheric Circulation: Validation and First Results. J. Geophys. Res. Planets 2009, 114. [Google Scholar] [CrossRef] [Green Version]
- Gilli, G.; Forget, F.; Spiga, A.; Navarro, T.; Millour, E.; Montabone, L.; Kleinböhl, A.; Kass, D.M.; McCleese, D.J.; Schofield, J.T. Impact of Gravity Waves on the Middle Atmosphere of Mars: A Non-Orographic Gravity Wave Parameterization Based on Global Climate Modeling and MCS Observations. J. Geophys. Res. Planets 2020, 125, e2018JE005873. [Google Scholar] [CrossRef] [Green Version]
- Wu, Z.; Li, T.; Heavens, N.G.; Newman, C.E.; Richardson, M.I.; Yang, C.; Li, J.; Cui, J. Earth-like Thermal and Dynamical Coupling Processes in the Martian Climate System. Earth-Sci. Rev. 2022, 229, 104023. [Google Scholar] [CrossRef]
- Martinis, C.R.; Wilson, J.K.; Mendillo, M.J. Modeling Day-to-Day Ionospheric Variability on Mars. J. Geophys. Res. Space Phys. 2003, 108, 1383. [Google Scholar] [CrossRef] [Green Version]
- Elrod, M.K.; Bougher, S.W.; Roeten, K.; Sharrar, R.; Murphy, J. Structural and Compositional Changes in the Upper Atmosphere Related to the PEDE-2018 Dust Event on Mars as Observed by MAVEN NGIMS. Geophys. Res. Lett. 2020, 47, e2019GL084378. [Google Scholar] [CrossRef]
- Kass, D.M.; Kleinböhl, A.; McCleese, D.J.; Schofield, J.T.; Smith, M.D. Interannual Similarity in the Martian Atmosphere during the Dust Storm Season. Geophys. Res. Lett. 2016, 43, 6111–6118. [Google Scholar] [CrossRef]
- Farahat, A. MAVEN GDS2018. 2021, 2. Mendeley Data. Available online: https://data.mendeley.com/datasets/f89vg2dhtg/2 (accessed on 22 May 2022).
- Kahre, M.A.; Murphy, J.R.; Haberle, R.M. Modeling the Martian Dust Cycle and Surface Dust Reservoirs with the NASA Ames General Circulation Model. J. Geophys. Res. Planets 2006, 111. [Google Scholar] [CrossRef]
- Medvedev, A.S.; Yiğit, E.; Kuroda, T.; Hartogh, P. General Circulation Modeling of the Martian Upper Atmosphere during Global Dust Storms. J. Geophys. Res. Planets 2013, 118, 2234–2246. [Google Scholar] [CrossRef]
- González-Galindo, F.; López-Valverde, M.A.; Forget, F.; García-Comas, M.; Millour, E.; Montabone, L. Variability of the Martian Thermosphere during Eight Martian Years as Simulated by a Ground-to-Exosphere Global Circulation Model. J. Geophys. Res. Planets 2015, 120, 2020–2035. [Google Scholar] [CrossRef] [Green Version]
- Wu, Z.; Li, T.; Zhang, X.; Li, J.; Cui, J. Dust Tides and Rapid Meridional Motions in the Martian Atmosphere during Major Dust Storms. Nat. Commun. 2020, 11, 614. [Google Scholar] [CrossRef] [Green Version]
- Guzewich, S.D.; Lemmon, M.; Smith, C.L.; Martínez, G.; de Vicente-Retortillo, Á.; Newman, C.E.; Baker, M.; Campbell, C.; Cooper, B.; Gómez-Elvira, J.; et al. Mars Science Laboratory Observations of the 2018/Mars Year 34 Global Dust Storm. Geophys. Res. Lett. 2019, 46, 71–79. [Google Scholar] [CrossRef] [Green Version]
- Sánchez-Lavega, A.; del Río-Gaztelurrutia, T.; Hernández-Bernal, J.; Delcroix, M. The Onset and Growth of the 2018 Martian Global Dust Storm. Geophys. Res. Lett. 2019, 46, 6101–6108. [Google Scholar] [CrossRef] [Green Version]
- Smith, M.D. THEMIS Observations of the 2018 Mars Global Dust Storm. J. Geophys. Res. Planets 2019, 124, 2929–2944. [Google Scholar] [CrossRef]
- Jain, S.K.; Bougher, S.W.; Deighan, J.; Schneider, N.M.; González Galindo, F.; Stewart, A.I.F.; Sharrar, R.; Kass, D.; Murphy, J.; Pawlowski, D. Martian Thermospheric Warming Associated With the Planet Encircling Dust Event of 2018. Geophys. Res. Lett. 2020, 47, e2019GL085302. [Google Scholar] [CrossRef]
- Withers, P.; Bougher, S.W.; Keating, G.M. The Effects of Topographically-Controlled Thermal Tides in the Martian Upper Atmosphere as Seen by the MGS Accelerometer. Icarus 2003, 164, 14–32. [Google Scholar] [CrossRef]
- Jakosky, B.M.; Grebowsky, J.M.; Luhmann, J.G.; Brain, D.A. Initial Results from the MAVEN Mission to Mars. Geophys. Res. Lett. 2015, 42, 8791–8802. [Google Scholar] [CrossRef]
- Montabone, L.; Spiga, A.; Kass, D.M.; Kleinböhl, A.; Forget, F.; Millour, E. Martian Year 34 Column Dust Climatology from Mars Climate Sounder Observations: Reconstructed Maps and Model Simulations. J. Geophys. Res. Planets 2020, 125, e2019JE006111. [Google Scholar] [CrossRef] [Green Version]
- Montabone, L.; Millour, E.; Forget, F.; Spiga, A.; Kass, D.; Kleinböhl, A. Martian Year 34 Climatology of the Atmospheric Column Dust Optical Depth; ESPRI/IPSL: Paris, France, 2019. [Google Scholar]
- Farahat, A.; Mayyasi, M.; Withers, P.; Dayeh, M.A.; Abuelgasim, A. Effects of the June 2018 Global Dust Storm on the Atmospheric Composition of the Martian Upper Atmosphere as Observed by MAVEN. J. Geophys. Res. Planets 2021, 126, e2021JE006868. [Google Scholar] [CrossRef]
- Clancy, R.; Wolff, M.; Whitney, B.; Cantor, B. Vertical Distributions of Dust Optical Depth During the 2001 Planet Encircling Storm from a Spherical Radiative Transfer Analysis of MOC Limb Images. In Proceedings of the Sixth International Conference on Mars, Pasadena, CA, USA, 20–25 July 2003. [Google Scholar]
- Clancy, R.T.; Wolff, M.J.; Whitney, B.A.; Cantor, B.A.; Smith, M.D.; McConnochie, T.H. Extension of Atmospheric Dust Loading to High Altitudes during the 2001 Mars Dust Storm: MGS TES Limb Observations. Icarus 2010, 207, 98–109. [Google Scholar] [CrossRef]
- Mahaffy, P.R.; Benna, M.; King, T.; Harpold, D.N.; Arvey, R.; Barciniak, M.; Bendt, M.; Carrigan, D.; Errigo, T.; Holmes, V.; et al. The Neutral Gas and Ion Mass Spectrometer on the Mars Atmosphere and Volatile Evolution Mission. Space Sci. Rev. 2015, 195, 49–73. [Google Scholar] [CrossRef] [Green Version]
- Cramer, A.G.; Withers, P.; Elrod, M.K.; Benna, M.; Mahaffy, P.R. Effects of the 10 September 2017 Solar Flare on the Density and Composition of the Thermosphere of Mars. J. Geophys. Res. Space Phys. 2020, 125, e2020JA028518. [Google Scholar] [CrossRef]
- Withers, P. A Review of Observed Variability in the Dayside Ionosphere of Mars. Adv. Space Res. 2009, 44, 277–307. [Google Scholar] [CrossRef]








| Ratio × 10−5 | 9 September–2 October 2016 | 27 May–18 June 2018 | |||||||||||
|---|---|---|---|---|---|---|---|---|---|---|---|---|---|
| Altitude (km) | |||||||||||||
| 170 | 180 | 190 | 170 | 180 | 190 | ||||||||
| Min | Max | Min | Max | Min | Max | Min | Max | Min | Max | Min | Max | ||
| O2+/CO | B | 0.35 | 4.4 | 1.33 | 7.6 | 0.59 | 10.1 | 7.0 | 17.0 | 14.0 | 20.0 | 15.0 | 25.0 |
| D | 4.73 | 7.4 | 4.68 | 13.9 | 10.35 | 21.5 | 5.8 | 8.5 | 9.0 | 11.5 | 13.0 | 17.0 | |
| CO2+/CO | B | 0.001 | 0.4 | 0.03 | 0.95 | 0.02 | 0.94 | 0.80 | 1.7 | 1.10 | 2.0 | 1.5 | 2.5 |
| D | 0.68 | 1.3 | 0.49 | 1.99 | 0.39 | 2.89 | 1.50 | 1.8 | 1.50 | 2.7 | 2.5 | 3.4 | |
| O+/CO | B | ~0 | 0.02 | 0.005 | 0.08 | 0.007 | 0.18 | 2.0 | 3.3 | 1.7 | 2.7 | 2.3 | 3.5 |
| D | 0.03 | 0.05 | 0.08 | 0.16 | 0.14 | 0.48 | 0.60 | 0.85 | 0.90 | 1.3 | 1.3 | 1.6 | |
| O2+/CO2 | B | 0.14 | 1.5 | 0.83 | 3.3 | 0.4 | 7.3 | 2.9 | 5.3 | 6.4 | 9.4 | 9.9 | 14.1 |
| D | 1.42 | 2.1 | 2.23 | 5.3 | 5.8 | 12.3 | 1.9 | 4.3 | 3.7 | 6.2 | 6.4 | 9.9 | |
| CO2+/CO2 | B | ~0 | 0.14 | 0.015 | 0.42 | 0.015 | 0.55 | 0.4 | 0.72 | 0.7 | 1.1 | 1.2 | 1.7 |
| D | 0.2 | 0.38 | 0.2 | 0.77 | 0.25 | 1.31 | 0.5 | 0.76 | 0.8 | 1.2 | 1.3 | 1.8 | |
| O+/CO2 | B | ~0 | 0.006 | 0.002 | 0.04 | 0.004 | 0.14 | 0.03 | 0.07 | 0.1 | 0.2 | 0.3 | 0.7 |
| D | 0.01 | 0.015 | 0.038 | 0.07 | 0.09 | 0.23 | 0.02 | 0.04 | 0.05 | 0.12 | 0.15 | 0.3 | |
| Ratio × 10−5 | 9 September–2 October 2016 | 27 May–18 June 2018 | |||||||||||
|---|---|---|---|---|---|---|---|---|---|---|---|---|---|
| Altitude (km) | |||||||||||||
| 170 | 180 | 190 | 170 | 180 | 190 | ||||||||
| Mean | Std. | Mean | Std. | Mean | Std. | Mean | Std. | Mean | Std. | Mean | Std. | ||
| O2+/CO | B | 1.99 | 1.4 | 5.3 | 2.18 | 6.46 | 3.1 | 8.7 | 0.98 | 12.3 | 1.03 | 16.3 | 1.14 |
| D | 5.99 | 0.7 | 9.9 | 2.62 | 14.9 | 3.2 | 7.4 | 1.07 | 10.7 | 1.47 | 14.7 | 1.33 | |
| CO2+/CO | B | 0.1 | 0.14 | 0.39 | 0.33 | 0.34 | 0.33 | 1.2 | 0.3 | 1.5 | 0.3 | 1.8 | 0.37 |
| D | 0.9 | 0.20 | 1.27 | 0.47 | 1.61 | 0.69 | 1.6 | 0.24 | 2.2 | 0.4 | 2.8 | 0.35 | |
| O+/CO | B | 0.01 | 0.006 | 0.03 | 0.02 | 0.09 | 0.06 | 0.11 | 0.02 | 0.3 | 0.03 | 0.6 | 0.09 |
| D | 0.04 | 0.004 | 0.12 | 0.02 | 0.32 | 0.09 | 0.08 | 0.02 | 0.18 | 0.03 | 0.4 | 0.09 | |
| O2+/CO2 | B | 0.7 | 0.45 | 2.4 | 0.78 | 4.07 | 1.9 | 4.17 | 0.6 | 7.5 | 0.8 | 12.5 | 1.2 |
| D | 1.8 | 0.46 | 4.10 | 0.67 | 8.08 | 2.1 | 2.78 | 0.7 | 4.8 | 0.8 | 7.9 | 1.1 | |
| CO2+/CO2 | B | 0.03 | 0.05 | 0.17 | 0.13 | 0.21 | 0.2 | 0.56 | 0.08 | 0.9 | 0.09 | 1.4 | 0.14 |
| D | 0.28 | 0.05 | 0.52 | 0.13 | 0.83 | 0.2 | 0.6 | 0.09 | 0.99 | 0.14 | 1.5 | 0.15 | |
| O+/CO2 | B | 0.001 | 0.002 | 0.02 | 0.01 | 0.06 | 0.04 | 0.06 | 0.01 | 0.17 | 0.03 | 0.49 | 0.11 |
| D | 0.013 | 0.002 | 0.05 | 0.01 | 0.17 | 0.03 | 0.03 | 0.01 | 0.08 | 0.02 | 0.2 | 0.06 | |
Publisher’s Note: MDPI stays neutral with regard to jurisdictional claims in published maps and institutional affiliations. |
© 2022 by the authors. Licensee MDPI, Basel, Switzerland. This article is an open access article distributed under the terms and conditions of the Creative Commons Attribution (CC BY) license (https://creativecommons.org/licenses/by/4.0/).
Share and Cite
Farahat, A.; Withers, P.; Mayyasi, M.; Dayeh, M.A. Comparison of the Effects of Regional and Global Dust Storms on the Composition of the Ionized Species of the Martian Upper Atmosphere Using MAVEN. Remote Sens. 2022, 14, 2594. https://doi.org/10.3390/rs14112594
Farahat A, Withers P, Mayyasi M, Dayeh MA. Comparison of the Effects of Regional and Global Dust Storms on the Composition of the Ionized Species of the Martian Upper Atmosphere Using MAVEN. Remote Sensing. 2022; 14(11):2594. https://doi.org/10.3390/rs14112594
Chicago/Turabian StyleFarahat, Ashraf, Paul Withers, Majd Mayyasi, and Maher A. Dayeh. 2022. "Comparison of the Effects of Regional and Global Dust Storms on the Composition of the Ionized Species of the Martian Upper Atmosphere Using MAVEN" Remote Sensing 14, no. 11: 2594. https://doi.org/10.3390/rs14112594
APA StyleFarahat, A., Withers, P., Mayyasi, M., & Dayeh, M. A. (2022). Comparison of the Effects of Regional and Global Dust Storms on the Composition of the Ionized Species of the Martian Upper Atmosphere Using MAVEN. Remote Sensing, 14(11), 2594. https://doi.org/10.3390/rs14112594

