Wits: An Efficient Wi-Fi Based Indoor Positioning and Tracking System
Abstract
:1. Introduction
- (1)
- (2)
- According to the normal distribution of noise satisfying the mean value of 0 under normal circumstances, a velocity maximum likelihood estimation algorithm is proposed. This algorithm is completely different from Widar 2.0. No search is required. The estimation results are efficient and accurate;
- (3)
- TOF maximum likelihood estimation algorithm is proposed. Then, the TOF is used to determine the initial position;
- (4)
- Efficient and accurate position estimation and trajectory tracking are realized.
2. Materials and Methods
2.1. CSI Modeling
2.2. Phase Calibration and Static Path Elimination
2.3. Radial Velocity Estimation Based on the Maximum Likelihood Algorithm
2.4. Initial Position Estimation Based on Maximum Likelihood Algorithm
3. Results
3.1. Experiments Settings
3.2. Accuracy of Doppler Velocity Estimation
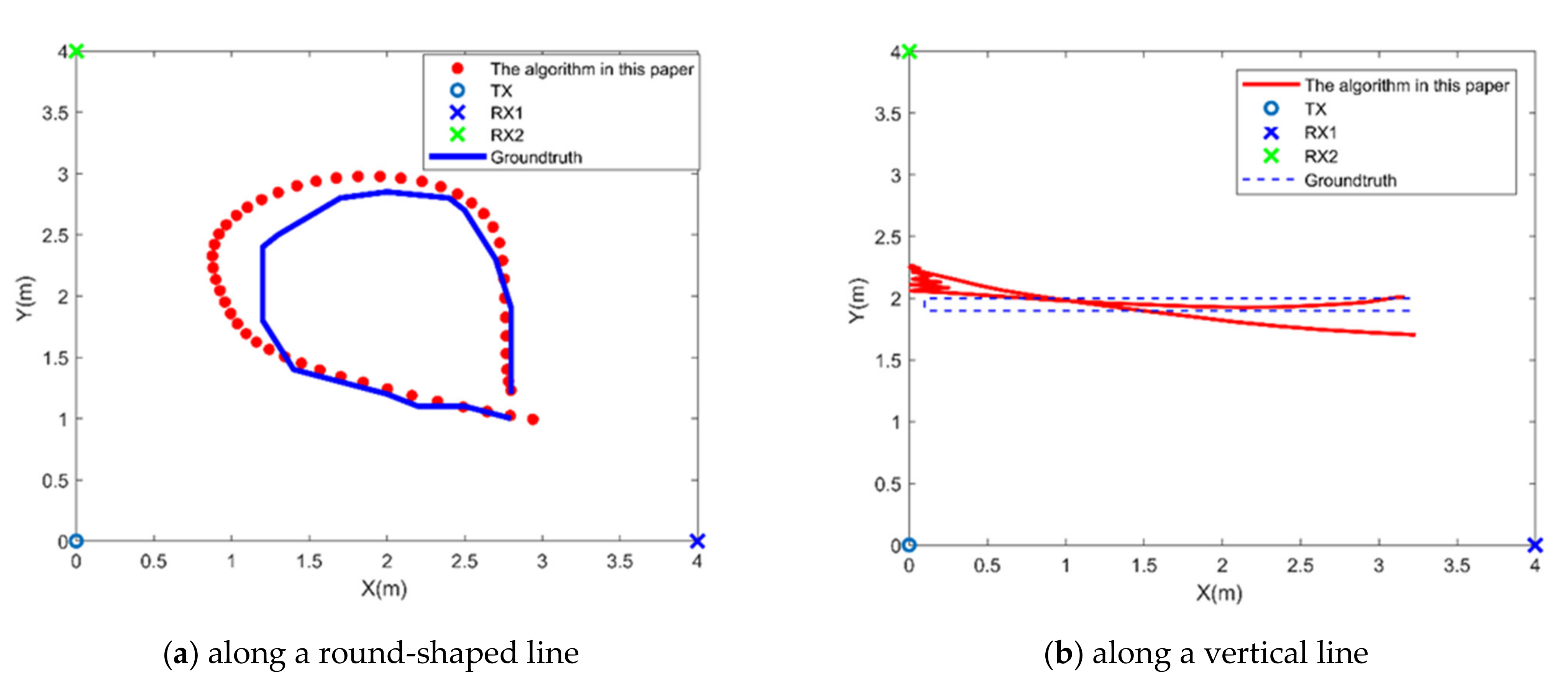
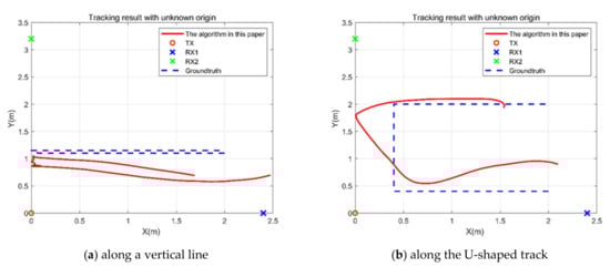
3.3. Estimation of Trajectory Accuracy
- (1)
- Tracking with the known starting position.
- (2)
- Tracking with unknown the starting position.
4. Conclusions and Discussion
Author Contributions
Funding
Institutional Review Board Statement
Informed Consent Statement
Data Availability Statement
Conflicts of Interest
References
- Kim, J.; Jun, H. Vision-based location positioning using augmented reality for indoor navigation. IEEE Trans. Consum. Electron. 2008, 54, 954–962. [Google Scholar] [CrossRef]
- Sadeghi, H.; Valaee, S.; Shirani, S. A Weighted KNN Epipolar Geometry-Based Approach for Vision-Based Indoor Localization Using Smartphone Cameras. In Proceedings of the 2014 IEEE 8th Sensor Array and Multichannel Signal Processing Workshop (SAM), A Coruna, Spain, 22–25 June 2014; pp. 37–40. [Google Scholar] [CrossRef]
- Kazemipur, B.; Syed, Z.; Georgy, J.; El-Sheimy, N. Vision-Based Context and Height Estimation for 3D Indoor Location. In Proceedings of the 2014 IEEE/ION Position, Location and Navigation Symposium—PLANS 2014, Monterey, CA, USA, 5–8 May 2014; pp. 1336–1342. [Google Scholar] [CrossRef]
- Wang, G.; Gu, C.; Inoue, T.; Li, C. A Hybrid FMCW-interferometry radar for indoor precise positioning and versatile life activity monitoring. IEEE Trans. Microw. Theory Tech. 2014, 62, 2812–2822. [Google Scholar] [CrossRef]
- Gierlich, R.; Huettner, J.; Ziroff, A.; Weigel, R.; Huemer, M. A ReconFigureurable MIMO system for high-precision FMCW local positioning. IEEE Trans. Microw. Theory Tech. 2011, 59, 3228–3238. [Google Scholar] [CrossRef]
- Shen, X.; Zheng, H.; Feng, X. A Novel FMCW Radar-Based Scheme for Indoor Localization and Trajectory Tracking. In Proceedings of the 2020 IEEE 6th International Conference on Computer and Communications (ICCC), Chengdu, China, 11–14 December 2020; pp. 298–303. [Google Scholar] [CrossRef]
- Ahmed, S.; Jardak, S.; Alouini, M. Low Complexity Algorithms to Independently and Jointly Estimate the Location and Range of Targets Using FMCW. In Proceedings of the 2016 IEEE Global Conference on Signal and Information Processing (GlobalSIP), Washington, DC, USA, 7–9 December 2016; pp. 1072–1076. [Google Scholar] [CrossRef]
- Duan, S.; Yu, T.; He, J. WiDriver: Driver activity recognition system based on Wi-Fi CSI. Int. J. Wirel. Inf. Netw. 2018, 25, 146–156. [Google Scholar] [CrossRef]
- Feng, C.; Arshad, S.; Liu, Y. MAIS: Multiple Activity Identification System Using Channel State Information of Wi-Fi Signals. In International Conference on Wireless Algorithms, Systems, and Applications (WASA), Wireless Algorithms, Systems, and Applications; Springer: Berlin, Germany, 2017; pp. 419–432. [Google Scholar]
- Guo, L.; Wang, L.; Liu, J.; Zhou, W.; Lu, B. HuAc: Human Activity Recognition Using Crowd Sourced Wi-Fi Signals and Skeleton Data. Wirel. Commun. Mob. Comput. 2018, 2018, 6163475. [Google Scholar] [CrossRef]
- Jiang, W.; Miao, C.; Ma, F.; Yao, S.; Wang, Y.; Yuan, Y.; Xue, H.; Song, C.; Ma, X.; Koutsonikolas, D. Towards Environment Independent Device Free Human Activity Recognition. In Proceedings of the 24th Annual International Conference on Mobile Computing and Networking (MobiCom’18), New Delhi, India, 29 October–2 November 2018; pp. 289–304. [Google Scholar]
- Zhang, J.; Wei, B.; Hu, W.; Kanhere, S.S. WiFi-ID: Human Identification Using Wi-Fi signal. In Proceedings of the 2016 International Conference on Distributed Computing in Sensor Systems (DCOSS), Washington, DC, USA, 26–28 May 2016; pp. 75–82. [Google Scholar]
- Zeng, Y.; Pathak, P.H.; Mohapatra, P. WiWho: WiFi-Based Person Identification in Smart Spaces. In Proceedings of the 2016 15th ACM/IEEE International Conference on Information Processing in Sensor Networks (IPSN), Vienna, Austria, 11–14 April 2016; pp. 1–12. [Google Scholar]
- Ali, K.; Liu, A.X.; Wang, W.; Shahzad, M. Keystroke Recognition Using Wi-Fi Signals. In Proceedings of the 21st Annual International Conference on Mobile Computing and Networking (MobiCom’15), Paris, France, 7–11 September 2015; pp. 90–102. [Google Scholar]
- Xu, C.; Firner, B.; Moore, R.S.; Zhang, Y.; Trappe, W.; Howard, R.; Zhang, F.; An, N. Scpl: Indoor Device-Free Multi-Subject Counting and Localization Using Radio Signal Strength. In Proceedings of the ACM/IEEE International Conference on Information Processing in Sensor Networks (IPSN), Philadelphia, PA, USA, 8–11 April 2013; pp. 79–90. [Google Scholar]
- Seifeldin, M.; Saeed, A.; Kosba, A.E.; El-Keyi, A.; Youssef, M. Nuzzer: A large-scale device-free passive localization system for wireless environments. IEEE Trans. Mob. Comput. 2013, 12, 1321–1334. [Google Scholar] [CrossRef] [Green Version]
- Xi, W.; Zhao, J.; Li, X.Y.; Zhao, K.; Tang, S.; Liu, X.; Jiang, Z. Electronic Frog Eye: Counting Crowd Using Wi-Fi. In Proceedings of the IEEE INFOCOM 2014—IEEE Conference on Computer Communications, Toronto, ON, Canada, 27 April–2 May 2014; pp. 361–369. [Google Scholar]
- Wang, X.Y.; Yan, C.; Mao, S.W. PhaseBeat: Exploiting CSI Phase Data for Vital Sign Monitoring with Commodity Wi-Fi Devices. In Proceedings of the 2017 IEEE 37th International Conference on Distributed Computing Systems, Atlanta, GA, USA, 5–8 June 2017; pp. 1230–1239. [Google Scholar]
- Liu, J.; Chen, Y.; Wang, Y.; Chen, X.; Cheng, J.; Yang, J. Monitoring vital signs and postures during sleep using Wi-Fi signals. IEEE Internet Things J. 2018, 5, 2071–2083. [Google Scholar] [CrossRef]
- Wang, H.; Zhang, D.; Ma, J.; Wang, Y.; Wang, Y.; Wu, D.; Gu, T.; Xie, B. Human Respiration Detection with Commodity Wi-Fi Devices: Do User Location and Body Orientation Matter? In Proceedings of the 2016 ACM International Joint Conference on Pervasive and Ubiquitous Computing (UbiComp 2016), Heidelberg, Germany, 12–16 September 2016; pp. 25–36. [Google Scholar]
- Zhang, D.; Hu, Y.; Chen, Y.; Zeng, B. Breath track: Tracking indoor human breath status via commodity Wi-Fi. IEEE Internet Things J. 2019, 2, 3899–3911. [Google Scholar] [CrossRef]
- Lee, S.; Park, Y.D.; Suh, Y.J.; Jeon, S. Design and Implementation of Monitoring System for Breathing and Heart Rate Pattern Using Wi-Fi Signals. In Proceedings of the 15th IEEE Annual Consumer Communications & Networking Conference (CCNC), Las Vegas, NV, USA, 12–15 January 2018; pp. 2331–9860. [Google Scholar]
- Kotaru, M.; Joshi, K.; Bharadia, D.; Katti, S. SpotFi: Decimeter Level Localization Using Wi-Fi. In Proceedings of the SIGCOMM ‘15: Proceedings of the 2015 ACM Conference on Special Interest Group on Data Communication, London, UK, 17–21 August 2015. [Google Scholar]
- Kotaru, M.; Katti, S. Position Tracking for Virtual Reality Using Commodity Wi-Fi. In Proceedings of the 2017 IEEE Conference on Computer Vision and Pattern Recognition (CVPR), Honolulu, HI, USA, 21–26 July 2017; pp. 2671–2681. [Google Scholar] [CrossRef] [Green Version]
- Xiao, N.; Yang, P.; Li, X.; Zhang, Y.; Yan, Y.; Zhou, H. MilliBack: Real-Time Plug-n-Play Millimeter Level Tracking Using Wireless Backscattering. In ACM on Interactive, Mobile, Wearable and Ubiquitous Technologies; Association for Computing Machinery: New York, NY, USA, 2019. [Google Scholar]
- Shu, Y.; Huang, Y.; Zhang, J.; Coué, P.; Cheng, P.; Chen, J.; Shin, K.G. Gradient-based fingerprinting for indoor localization and tracking. IEEE Trans. Ind. Electron. 2016, 63, 2424–2433. [Google Scholar] [CrossRef]
- Wang, X.; Gao, L.; Mao, S.; Pandey, S. CSI-based fingerprinting for indoor localization: A deep learning approach. IEEE Trans. Veh. Technol. 2017, 66, 763–776. [Google Scholar] [CrossRef] [Green Version]
- Sun, W.; Xue, M.; Yu, H.; Tang, H.; Lin, A. Augmentation of fingerprints for indoor wi-fi localization based on gaussian process regression. IEEE Trans. Veh. Technol. 2018, 67, 10896–10905. [Google Scholar] [CrossRef]
- Shi, S.; Sigg, S.; Chen, L.; Ji, Y. Accurate location tracking from CSI-based passive device-free probabilistic fingerprinting. IEEE Trans. Veh. Technol. 2018, 67, 5217–5230. [Google Scholar] [CrossRef] [Green Version]
- Sánchez-Rodríguez, D.; Quintana-Suárez, M.A.; Alonso-González, I.; Ley-Bosch, C.; Sánchez-Medina, J.J. Fusion of channel state information and received signal strength for indoor localization using a single access point. Remote Sens. 2020, 12, 1995. [Google Scholar] [CrossRef]
- Haider, A.; Wei, Y.; Liu, S.; Hwang, S.H. Pre- and post-processing algorithms with deep learning classifier for Wi-Fi fingerprint-based indoor positioning. Electronics 2019, 8, 195. [Google Scholar] [CrossRef] [Green Version]
- Wang, X.; Wang, X.; Mao, S. Deep convolutional neural networks for indoor localization with CSI images. IEEE Trans. Netw. Sci. Eng. 2020, 7, 316–327. [Google Scholar] [CrossRef]
- Jing, Y.; Hao, J.; Li, P. Learning spatiotemporal features of CSI for indoor localization with dual-stream 3D convolutional neural networks. IEEE Access 2019, 7, 147571–147585. [Google Scholar] [CrossRef]
- Li, P.; Li, P.; Cui, H.; Khan, A.; Raza, U.; Piechocki, R.; Doufexi, A.; Farnham, T. Deep Transfer Learning for WiFi Localization. In IEEE Radar Conference (RadarConf21); IEEE: Piscataway, NJ, USA, 2021. [Google Scholar]
- Wang, X.; Gao, L.; Mao, S. PhaseFI: Phase Fingerprinting for Indoor Localization with a Deep Learning Approach. In Proceedings of the IEEE Global Commun. Conf. (GLOBECOM), San Diego, CA, USA, 6–10 December 2015; pp. 1–6. [Google Scholar]
- Zhou, M.; Long, Y.; Zhang, W.; Pu, Q.; Wang, Y.; Nie, W.; He, W. Adaptive Genetic Algorithm-aided Neural Network with Channel State Information Tensor Decomposition for Indoor Localization. IEEE Trans. Evol. Comput. 2021, 99. [Google Scholar] [CrossRef]
- Zhu, X.; Qiu, T.; Qu, W.; Zhou, X.; Atiquzzaman, M.; Wu, D. BLS-location: A wireless fingerprint localization algorithm based on broad learning. IEEE Trans. Mob. Comput. 2021, 99. [Google Scholar] [CrossRef]
- Zhang, Y.; Wang, W.; Xu, C.; Qin, J.; Yu, S.; Zhang, Y. SICD: Novel single-access-point indoor localization based on CSI-MIMO with dimensionality reduction. Sensors 2021, 21, 1325. [Google Scholar] [CrossRef] [PubMed]
- He, Y.; Chen, Y.; Hu, Y.; Zeng, B. WiFi vision: Sensing, recognition, and detection with commodity MIMO-OFDM WiFi. IEEE Internet Things J. 2020, 7, 8296–8317. [Google Scholar] [CrossRef]
- Li, X.; Zhang, D.; Lv, Q.; Xiong, J.; Li, S.; Zhang, Y.; Mei, H. IndoTrack: Device-Free Indoor Human Tracking with Commodity Wi-Fi. In Proceedings of the ACM on Interactive, Mobile, Wearable and Ubiquitous Technologies; Association for Computing Machinery: New York, NY, USA, 2017. [Google Scholar]
- Li, X.; Li, S.; Zhang, D.; Xiong, J.; Wang, Y.; Mei, H. Dynamic-Music: Accurate Device-Free Indoor Localization. In Proceedings of the 2016 ACM International Joint Conference on Pervasive and Ubiquitous Computing, Heidelberg, Germany, 12–16 September 2016; Association for Computing Machinery: New York, NY, USA, 2016. [Google Scholar]
- Joshi, K.; Bharadia, D.; Kotaru, M.; Katti, S. Wideo: Fine-Grained Device-Free Motion Tracing Using RF Backscatter. In Proceedings of the 12th {USENIX} Symposium on Networked Systems Design and Implementation ({NSDI} 15), Oakland, CA, USA, 4–6 May 2015. [Google Scholar]
- Qian, K.; Wu, C.; Yang, Z.; Liu, Y.; Jamieson, K. Widar: Decimeter-Level Passive Tracking via Velocity Monitoring with Commodity Wi-Fi. In Proceedings of the 18th ACM International Symposium on Mobile Ad Hoc Networking and Computing, Chennai, India, 10–14 July 2017; Association for Computing Machinery: New York, NY, USA, 2017. [Google Scholar]
- Qian, K.; Wu, C.; Zhang, Y.; Zhang, G.; Yang, Z.; Liu, Y. Widar2.0: Passive Human Tracking with a Single Wi-Fi Link. In Proceedings of the 16th Annual International Conference on Mobile Systems, Applications, and Services, Munich, Germany, 10–15 June 2018; Association for Computing Machinery: New York, NY, USA, 2018. [Google Scholar]
- Wang, J.; Jiang, H.; Xiong, J.; Jamieson, K.; Chen, X.; Fang, D.; Xie, B. LiFS: Low Human-effort, Device-free Localization with Fine-grained Subcarrier Information. In Proceedings of the 22nd Annual International Conference on Mobile Computing and Networking, New York, NY, USA, 3–7 October 2016; Association for Computing Machinery: New York, NY, USA. [Google Scholar]
- Zhang, L.; Wang, H. Device-free tracking via joint velocity and AOA estimation with commodity WiFi. IEEE Sens. J. 2019, 19, 10662–10673. [Google Scholar] [CrossRef]


















| Parameter-Based | Fingerprinting-Based | ||
|---|---|---|---|
| System | Accuracy | System | Accuracy |
| ArrayTrack | 23 cm | CiFi [31] | 100 cm |
| SpotFi [23] | 40 cm | DS-3DCNN [32] | 98.4 cm |
| LiFS | 70 cm | PhaseFi [33] | 108 cm |
| Widar 2.0 | 75 cm | BLS-location [34] | 250 cm |
| Number of Packets | 500 Packets | 1000 Packets | 3000 Packets | 7000 Packets |
|---|---|---|---|---|
| Wits | 101 ms | 120 ms | 207 ms | 355 ms |
| IndoTrack | 504 ms | 1002 ms | 2671 ms | 6061 ms |
| Widar 2.0 | 308 ms | 1790 ms | 4296 ms | 7366 ms |
Publisher’s Note: MDPI stays neutral with regard to jurisdictional claims in published maps and institutional affiliations. |
© 2021 by the authors. Licensee MDPI, Basel, Switzerland. This article is an open access article distributed under the terms and conditions of the Creative Commons Attribution (CC BY) license (https://creativecommons.org/licenses/by/4.0/).
Share and Cite
Tian, L.-P.; Chen, L.-Q.; Xu, Z.-M.; Chen, Z. Wits: An Efficient Wi-Fi Based Indoor Positioning and Tracking System. Remote Sens. 2022, 14, 19. https://doi.org/10.3390/rs14010019
Tian L-P, Chen L-Q, Xu Z-M, Chen Z. Wits: An Efficient Wi-Fi Based Indoor Positioning and Tracking System. Remote Sensing. 2022; 14(1):19. https://doi.org/10.3390/rs14010019
Chicago/Turabian StyleTian, Li-Ping, Liang-Qin Chen, Zhi-Meng Xu, and Zhizhang (David) Chen. 2022. "Wits: An Efficient Wi-Fi Based Indoor Positioning and Tracking System" Remote Sensing 14, no. 1: 19. https://doi.org/10.3390/rs14010019
APA StyleTian, L.-P., Chen, L.-Q., Xu, Z.-M., & Chen, Z. (2022). Wits: An Efficient Wi-Fi Based Indoor Positioning and Tracking System. Remote Sensing, 14(1), 19. https://doi.org/10.3390/rs14010019
