A Robust Atmospheric Correction Procedure for Determination of Spectral Reflectance of Terrestrial Surfaces from Satellite Spectral Measurements
Abstract
1. Introduction
2. Atmospheric Correction Procedure
2.1. Atmospheric Model
- (1)
- Part “1” is a layer of the troposphere up to a certain height H (about 2–3 km). The aerosol in this layer can vary in time and space. Therefore, it is allowed that the AOT of this layer may vary for different parts of the image.
- (2)
- Part “2” (layer above height H) includes the stratosphere, as well as the upper and middle troposphere. It is characterized by vertical stratification of aerosol and gas concentrations, pressure and temperature. It consists of a large number of sublayers with optical characteristics averaged over these sublayers.
2.2. Cloud and Snow Pixels Detection
2.3. Determination of Water Vapor Content in the Atmosphere
2.4. Aerosol Optical Thickness Retrieval
- (1)
- The minimum sensitivity of error to error occurs for dark surfaces in the short wavelength region of the spectrum. Therefore, it is optimal to determine the AOT above dark surfaces in the short wavelength region of the spectrum.
- (2)
- The sensitivity of error of retrieved reflectance of dark surfaces to AOT error is at maximum in the short-wave region of the spectrum. When the surface reflectance increases with the wavelength, the retrieving error decreases even if the AOT of the atmosphere is determined with the same error.
- (3)
- For bright surfaces, the sensitivity of surface reflectance errors retrieving to the errors is significantly less in almost the entire spectral range.
- to retrieve the AOT from the SR recorded by a satellite sensor at one wavelength in this region, in particular, at a wavelength of 412 nm.
- the surface reflectance (in the absence of additional information) can be taken to be fixed and, for example, equal to the average value for a sample of dark surfaces in Figure 2.
3. Retrieval of the Spectral Reflectance of the Underlying Surface
4. Testing the RACE Algorithm
4.1. Testing Method
- to verify the correctness of a priori assumptions used in the RACE algorithm,
- to evaluate the stability and speed of the algorithm,
- to estimate the accuracy of retrieving atmosphere parameters and reflectance of the underlying surface with a fairly wide variation of satellite imagery conditions.
- -
- error of the single-wavelength method to retrieve AOT due to the difference between the real (unknown in practice) surface reflectance and its fixed value at wavelength of 412 nm used in the RACE algorithm;
- -
- error of radiometric calibration of sensors in the MS channels;
- -
- error of radiometric calibration of sensors in the MZ channels;
- -
- mismatch between the a priori model of atmospheric aerosol used and the “real” atmospheric aerosol.
- -
- three values of aerosol optical thickness of troposphere equal to 0.1, 0.3 and 0.5 at the wavelength of 550 nm;
- -
- 12 types of underlying surface, seven of which relate to dark surfaces such as vegetation (green vegetation (GV), oat, grass, rye, beet, lawn, soil), and five surfaces are bright (desert, sand, loam, dry and wet concrete);
- -
- two values of the solar zenith angle: 20° and 60°;
- -
- viewing zenith angle 0°;
- -
- atmospheric water vapor column .
4.2. The Influence of the Error of the Atmospheric AOT Retrieval with The Single-Wavelength Method
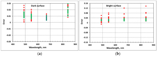
4.3. Influence of Errors of Sensors Radiometric Calibration in the MS and MZ Spectral Channels
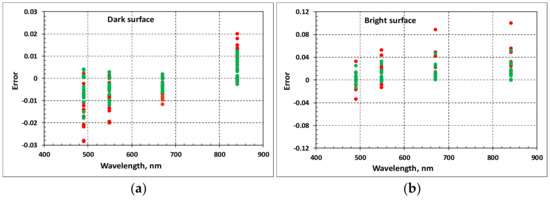
4.4. The Effect of Discrepancy between the Used a Priori and “Real” Models of Atmospheric Aerosol
4.5. Resulting Errors in Retrieval of the Underlying Surface Reflectance in the MZ Channels. The Contribution of Various Factors
4.6. Testing the RACE Algorithm Using Experimentally Measured Ground Reflectance Data
5. Conclusions
Author Contributions
Funding
Institutional Review Board Statement
Informed Consent Statement
Data Availability Statement
Acknowledgments
Conflicts of Interest
References
- Lipponen, A.; Mielonen, T.; Pitkänen, M.R.A.; Levy, R.C.; Sawyer, V.R.; Romakkaniemi, S.; Kolehmainen, V.; Arola, A. Bayesian aerosol retrieval algorithm for MODIS AOD retrieval over land. Atmos. Meas. Tech. 2018, 11, 1529–1547. [Google Scholar] [CrossRef]
- Hsu, N.C.; Tsay, S.-C.; King, M.D.; Herman, J.R. Aerosol Properties Over Bright-Reflecting Source Regions. IEEE Trans. Geosci. Remote Sens. 2004, 42, 557–569. [Google Scholar] [CrossRef]
- Hsu, N.C.; Jeong, M.-J.; Bettenhausen, C.; Sayer, A.; A Hansell, R.; Seftor, C.S.; Huang, J.; Tsay, S.-C. Enhanced Deep Blue aerosol retrieval algorithm: The second generation. J. Geophys. Res. Atmos. 2013, 118, 9296–9315. [Google Scholar] [CrossRef]
- Atmospherc Compensation in Satellite Imagery. U.S. Patent 9,396,528 B2, 19 July 2016.
- Kinne, S.; O’Donnel, D.; Stier, P.; Kloster, S.; Zhang, K.; Schmidt, H.; Rast, S.; A Giorgetta, M.; Eck, T.F.; Stevens, B. MAC-v1: A new global aerosol climatology for climate studies. J. Adv. Model. Earth Syst. 2013, 5, 704–740. [Google Scholar] [CrossRef]
- Katsev, I.L.; Prikhach, A.S.; Zege, E.P.; Ivanov, A.P.; Kokhanovsky, A.A. Iterative procedure for retrieval of spectral aerosol optical thickness and surface reflectance from satellite data using fast radiative transfer code and its application to MERIS onboard ENVISAT measurements. In Satellite Aerosol Remote Sensing over Land; Kokhanovsky, A.A., de Leeuw, G., Eds.; Springer: Heidelberg, Germany, 2009; pp. 101–134. [Google Scholar]
- Von Hoyningen-Huene, W.; Freitag, M.; Burrows, J.B. Retrieval of aerosol optical thickness over land surfaces from top-of-atmosphere radiance. J. Geophys. Res. Space Phys. 2003, 108, 4260–4272. [Google Scholar] [CrossRef]
- Katsev, I.L.; Prikhach, A.S.; Zege, E.P.; Grudo, J.O.; A Kokhanovsky, A. Speeding up the aerosol optical thickness retrieval using analytical solutions of radiative transfer theory. Atmos. Meas. Tech. 2010, 3, 1403–1422. [Google Scholar] [CrossRef]
- Tynes, H.; Kattawar, G.W.; Zege, E.P.; Katsev, I.L.; Prikhach, A.S.; Chaikovskaya, L.I. Monte Carlo and multicomponent ap-proximation methods for vector radiative transfer by use of effective Mueller matrix calculations. Appl. Opt. 2001, 40, 400–412. [Google Scholar] [CrossRef] [PubMed]
- Kokhanovsky, A.A. Reflection of light from nonabsorbing semi-infinite cloudy media. A simple approximation. J. Quant. Spectrosc. Radiat. Transf. 2004, 85, 25–33. [Google Scholar] [CrossRef]
- LANDSAT 8 (L8). Data Users Handbook; Version 2.0; EROS: Sioux Falls, SD, USA, 29 March 2016. [Google Scholar]
- Buchwitz, M.; Rozanov, V.V.; Burrows, J.P. A near-infrared optimized DOAS method for the fast global retrieval of atmospheric CH4, CO, CO2, H2O, and N2O total column amounts from SCIAMACHY Envisat-1 nadir radiances. J. Geophys. Res. Space Phys. 2000, 105, 15231–15245. [Google Scholar] [CrossRef]
- Buchwitz, M.; Burrows, J.P. Retrieval of CH 4, CO, and CO 2 total column amounts from SCIAMACHY near-infrared nadir spectra: Retrieval algorithm and first results. In Proceedings of the Remote Sensing of Clouds and the Atmosphere VIII, Barcelona, Spain, 9–12 September 2003; Volume 5235, pp. 375–389. [Google Scholar] [CrossRef]
- Noel, S.; Buchwitz, M.; Burrows, J.P. First retrieval of global water vapour column amounts from SCIAMACHY meas-urements. Atmos. Chem. Phys. 2004, 4, 111–125. [Google Scholar] [CrossRef]
- Gupta, P.; Remer, L.A.; Levy, R.C.; Mattoo, S. Validation of MODIS 3 km land aerosol optical depth from NASA’s EOS Terra and Aqua missions. Atmos. Meas. Tech. 2018, 11, 3145–3159. [Google Scholar] [CrossRef]
- AFGL-TR-86-0110. Atmospheric Constituent Profiles (0–120 km); Environmental Research Papers No. 954 ADA175173; US Air Force Geophysics Laboratory: Hanscom, MA, USA, 1986.
- Lenoble, J. A Preliminary Cloudless Standard Atmosphere for Radiation Computation; World Climate Programme, World Meteorological Organization: Geneva, Switzerland, 1986; Volume 112, pp. 1–40. [Google Scholar]
- Perkins, T.C.; Adlergolden, S.M.; Matthew, M.W.; Berk, A.; Bernstein, L.S.; Lee, J.; Fox, M.J. Speed and accuracy improvements in FLAASH atmospheric correction of hyperspectral imagery. Opt. Eng. 2012, 51, 111707. [Google Scholar] [CrossRef]
- Smith, M.J. A Comparison of DG AComp, FLAASH and QUAC Atmospheric Compensation Algorithms Using WorldView-2 Imagery/University of Colorado. 2015. Available online: https://digitalglobe-marketing.s3.amazonaws.com/files/blog/ (accessed on 24 June 2016).
- Bouvet, M.; Thome, K.; Berthelot, B.; Bialek, A.; Czapla-Myers, J.; Fox, N.P.; Goryl, P.; Henry, P.; Ma, L.; Marcq, S.; et al. RadCalNet: A Radiometric Calibration Network for Earth Observing Imagers Operating in the Visible to Shortwave Infrared Spectral Range. Remote Sens. 2019, 11, 2401. [Google Scholar] [CrossRef]










| Band | Range of Wavelengths at the Level of 0.5, nm | Effective Wavelength, nm | in the Troposphere Layer at | |||
|---|---|---|---|---|---|---|
| 0.1 | 0.3 | 0.5 | ||||
| Band 1 | 470–510 | 490.5 | 0.1593 | 0.114 | 0.341 | 0.568 |
| Band 2 | 510–580 | 548.5 | 0.0927 | 0.100 | 0.301 | 0.502 |
| Band 3 | 650–690 | 670.5 | 0.0427 | 0.080 | 0.240 | 0.401 |
| Band 4 | 780–910 | 841.5 | 0.0233 | 0.062 | 0.187 | 0.311 |
| Surface Type | Wavelength, nm | |||||||
|---|---|---|---|---|---|---|---|---|
| 412.5 | 442.5 | 490 | 510 | 560 | 620 | 665 | 778.5 | |
| Dark | 0.01–0.043 | 0.013–0.05 | 0.02–0.063 | 0.025–0.07 | 0.04–0.09 | 0.04–0.11 | 0.03–0.12 | 0.30–0.60 |
| Bright | 0.09–0.25 | 0.10–0.27 | 0.12–0.29 | 0.13–0.30 | 0.16–0.38 | 0.19–0.48 | 0.20–0.52 | 0.23–0.61 |
| Surface Type | Band | |||
|---|---|---|---|---|
| Band 1 | Band 2 | Band 3 | Band 4 | |
| Effective Wavelength, nm | ||||
| 490.5 | 548 | 670 | 841 | |
| Dark | 0.02–0.06 | 0.04–0.09 | 0.03–0.09 | 0.18–0.56 |
| Bright | 0.12–0.29 | 0.16–0.38 | 0.20–0.53 | 0.22–0.60 |
| Model of Underlying Surface | RMSE | BAR RMSE | |||||||
|---|---|---|---|---|---|---|---|---|---|
| GV | Oat | Grass | Rye | Beet | Lawn | Soil | |||
| 0.1 | 0.050 | 0.069 | 0.087 | 0.096 | 0.105 | 0.179 | 0.179 | 0.048 | 0.07 |
| 0.050 | 0.050 | 0.069 | 0.087 | 0.105 | 0.233 | 0.243 | 0.080 | ||
| 0.3 | 0.215 | 0.270 | 0.288 | 0.298 | 0.307 | 0.371 | 0.371 | 0.051 | 0.11 |
| 0.151 | 0.252 | 0.270 | 0.288 | 0.307 | 0.426 | 0.426 | 0.090 | ||
| 0.5 | 0.426 | 0.472 | 0.481 | 0.499 | 0.499 | 0.500 | 0.500 | 0.031 | 0.15 |
| 0.371 | 0.453 | 0.472 | 0.490 | 0.500 | 0.500 | 0.500 | 0.053 | ||
| Solar Zenith Angle | Wavelength, nm | |||||||
|---|---|---|---|---|---|---|---|---|
| 412 | 442 | 489 | 509 | 559 | 619 | 664 | 776 | |
| 60° | 0.0089 | 0.0079 | 0.0065 | 0.0059 | 0.0042 | 0.0036 | 0.0033 | 0.0125 |
| 0.0249 | 0.0186 | 0.0134 | 0.0133 | 0.0191 | 0.0234 | 0.0237 | 0.0235 | |
| 20° | 0.0086 | 0.0074 | 0.0058 | 0.0052 | 0.0038 | 0.0032 | 0.0028 | 0.0101 |
| 0.0126 | 0.0097 | 0.0098 | 0.0089 | 0.0113 | 0.0123 | 0.0118 | 0.0117 | |
| Solar Zenith Angle | Band | |||
|---|---|---|---|---|
| Band 1 | Band 2 | Band 3 | Band 4 | |
| 60° | 0.0064 | 0.0045 | 0.0028 | 0.0034 |
| 0.0137 | 0.0197 | 0.0295 | 0.0353 | |
| 20° | 0.0059 | 0.0040 | 0.0025 | 0.0033 |
| 0.0092 | 0.0128 | 0.0163 | 0.0190 | |
| Solar Zenith Angle | Band | |||
|---|---|---|---|---|
| Band 1 | Band 2 | Band 3 | Band 4 | |
| 60° | 0.0132 | 0.0090 | 0.0054 | 0.0091 |
| 0.0146 | 0.0198 | 0.0295 | 0.0354 | |
| 20° | 0.0087 | 0.0056 | 0.0033 | 0.0062 |
| 0.0092 | 0.0128 | 0.0163 | 0.0190 | |
| Solar Zenith Angle | Band | |||
|---|---|---|---|---|
| Band 1 | Band 2 | Band 3 | Band 4 | |
| 60° | 0.0147 | 0.0114 | 0.0078 | 0.0192 |
| 0.0274 | 0.0363 | 0.0471 | 0.0543 | |
| 20° | 0.0106 | 0.0086 | 0.0063 | 0.0186 |
| 0.0230 | 0.0278 | 0.0329 | 0.0373 | |
| Parameter | “Continental” | “Belarus” | “Maritime” | “Oceanic” |
|---|---|---|---|---|
| - | 0.330 | 1.137 | 2.490 | |
| SSA | 0.890 | 0.870 | 0.986 | 1.000 |
| 0.183 | 0.146 | 0.096 | 0.069 | |
| 1.116 | 1.376 | 0.238 | −0.098 |
| Aerosol Model | Solar Zenith Angle | AOT (550 nm) | ||
|---|---|---|---|---|
| 0.1 | 0.3 | 0.5 | ||
| “Belarus” | 60° | 0.044 | 0.091 | 0.147 |
| 20° | 0.066 | 0.144 | 0.217 | |
| “Oceanic” | 60° | 0.044 | 0.163 | 0.258 |
| 20° | 0.079 | 0.126 | 0.174 | |
| Aerosol Model | Solar Zenith Angle | Band | |||
|---|---|---|---|---|---|
| Band 1 | Band 2 | Band 3 | Band 4 | ||
| “Belarus” | 60° | 0.0072 | 0.0054 | 0.0042 | 0.0119 |
| 0.0222 | 0.0212 | 0.0280 | 0.0353 | ||
| 20° | 0.0066 | 0.0048 | 0.0037 | 0.0110 | |
| 0.0149 | 0.0138 | 0.0152 | 0.0186 | ||
| “Oceanic” | 60° | 0.0074 | 0.0082 | 0.0104 | 0.0135 |
| 0.0277 | 0.0407 | 0.0535 | 0.0614 | ||
| 20° | 0.0103 | 0.0148 | 0.0181 | 0.0343 | |
| 0.0323 | 0.0405 | 0.0464 | 0.0525 | ||
| Source of Error | Solar Zenith Angle | Band | |||
|---|---|---|---|---|---|
| Band 1 | Band 2 | Band 3 | Band 4 | ||
| Resulting RMSE | 60° | 0.0186 | 0.0144 | 0.0111 | 0.0249 |
| 20° | 0.0137 | 0.0127 | 0.0120 | 0.0301 | |
| Method error (Basic version) | 60° | 0.0064 | 0.0045 | 0.0028 | 0.0034 |
| 20° | 0.0059 | 0.0040 | 0.0025 | 0.0033 | |
| MS calibration error (5%) | 60° | 0.0117 | 0.0080 | 0.0055 | 0.0090 |
| 20° | 0.0073 | 0.0047 | 0.0035 | 0.0062 | |
| MZ calibration error (5%) | 60° | 0.0124 | 0.0101 | 0.0070 | 0.0194 |
| 20° | 0.0085 | 0.0074 | 0.0056 | 0.0190 | |
| Error of atmospheric aerosol model | 60° | 0.0036 | 0.0045 | 0.0059 | 0.0123 |
| 20° | 0.0054 | 0.0082 | 0.0097 | 0.0223 | |
| RMSE in the absence of a calibration error | 60° | 0.0073 | 0.0064 | 0.0065 | 0.0127 |
| 20° | 0.0080 | 0.0092 | 0.0100 | 0.0225 | |
| Source of Error | Solar Zenith Angle | Band | |||
|---|---|---|---|---|---|
| Band 1 | Band 2 | Band 3 | Band 4 | ||
| Resulting RMSE | 60° | 0.0329 | 0.0361 | 0.0425 | 0.0461 |
| 20° | 0.0289 | 0.0311 | 0.0335 | 0.0352 | |
| Method error (Basic version) | 60° | 0.0137 | 0.0197 | 0.0295 | 0.0353 |
| 20° | 0.0092 | 0.0128 | 0.0163 | 0.0190 | |
| MS calibration error (5%) | 60° | 0.0016 | 0.0007 | 0.0003 | 0.0011 |
| 20° | 0.0000 | 0.0000 | 0.0000 | 0.0000 | |
| MZ calibration error (5%) | 60° | 0.0227 | 0.0212 | 0.0211 | 0.0221 |
| 20° | 0.0176 | 0.0176 | 0.0188 | 0.0204 | |
| Error of atmospheric aerosol model | 60° | 0.0195 | 0.0216 | 0.0221 | 0.0199 |
| 20° | 0.0210 | 0.0223 | 0.0224 | 0.0215 | |
| RMSE in the absence of a calibration error | 60° | 0.0238 | 0.0292 | 0.0369 | 0.0405 |
| 20° | 0.0229 | 0.0257 | 0.0277 | 0.0287 | |
| Surface | FLAASH | DG AComp | RACE | |
|---|---|---|---|---|
| RMSE | RMSE | RMSE in the Absence of a Calibration Error | RMSE with a Calibration Error of 5% | |
| Dark surfaces | 0.02–0.04 | 0.01–0.02 | 0.01 | 0.01–0.02 |
| Bright surfaces | 0.14–0.19 | 0.05 | 0.02–0.04 | 0.03–0.04 |
| La Crau, France | Railroad Valley, NV, USA | Gobabeb, Namibia | |
|---|---|---|---|
| Data | 16.05.2018 | 17.07.2018 | 16.05.2018 |
| Site | LCFR01 | RVUS00 | GONA01 |
| Latitude | 43.56 | 38.497 | −23.60 |
| Longitude | 4.86 | −115.69 | 15.119220 |
| Altitude, m | 20 | 1435 | 510 |
| Solar zenith angle, deg. | 24.87 | 17.56 | 42.74 |
| Atmosphere AOT (550 nm) | 0.119 | 0.138 | 0.036 |
| Angstrom parameter | 1.629 | 1.273 | 1.045 |
| The water vapor content in the atmosphere, g·cm−2 | 1.82 | 1.884 | 1.95 |
| Wave-Length, nm | La Crau, France | Railroad Valley, NV, USA | Gobabeb, Namibia | ||||||
|---|---|---|---|---|---|---|---|---|---|
| Measured | Retrieved | Error | Measured | Retrieved | Error | Measured | Retrieved | Error | |
| AOT | |||||||||
| 0.55 | 0.119 | 0.208 | 0.089 | 0.360 | 0.539 | 0.179 | 0.138 | 0.539 | 0.401 |
| Surface reflectance | |||||||||
| 0.410 | 0.0375 | 0.0285 | −0.0090 | 0.2254 | 0.2384 | 0.0130 | 0.0999 | 0.0540 | −0.0459 |
| 0.440 | 0.0515 | 0.0446 | −0.0069 | 0.2576 | 0.2784 | 0.0208 | 0.1235 | 0.0946 | −0.0289 |
| 0.490 | 0.0668 | 0.0626 | −0.0042 | 0.3001 | 0.3271 | 0.0270 | 0.1564 | 0.1469 | −0.0095 |
| 0.510 | 0.0764 | 0.0734 | −0.0030 | 0.3158 | 0.3457 | 0.0299 | 0.1730 | 0.1709 | −0.0021 |
| 0.560 | 0.1123 | 0.1093 | −0.0030 | 0.3680 | 0.4004 | 0.0324 | 0.2346 | 0.2463 | 0.0117 |
| 0.620 | 0.1243 | 0.1220 | −0.0023 | 0.3913 | 0.4201 | 0.0288 | 0.3053 | 0.3279 | 0.0226 |
| 0.670 | 0.1221 | 0.1227 | 0.0006 | 0.3978 | 0.4230 | 0.0252 | 0.3311 | 0.3591 | 0.0280 |
| 0.780 | 0.2629 | 0.2526 | −0.0103 | 0.4308 | 0.4351 | 0.0043 | 0.3780 | 0.3910 | 0.0130 |
| 0.870 | 0.2832 | 0.2835 | 0.0003 | 0.4281 | 0.4439 | 0.0158 | 0.3679 | 0.3930 | 0.0251 |
Publisher’s Note: MDPI stays neutral with regard to jurisdictional claims in published maps and institutional affiliations. |
© 2021 by the authors. Licensee MDPI, Basel, Switzerland. This article is an open access article distributed under the terms and conditions of the Creative Commons Attribution (CC BY) license (https://creativecommons.org/licenses/by/4.0/).
Share and Cite
Katsev, I.L.; Prikhach, A.S.; Zege, E.P.; Kokhanovsky, A.A. A Robust Atmospheric Correction Procedure for Determination of Spectral Reflectance of Terrestrial Surfaces from Satellite Spectral Measurements. Remote Sens. 2021, 13, 1831. https://doi.org/10.3390/rs13091831
Katsev IL, Prikhach AS, Zege EP, Kokhanovsky AA. A Robust Atmospheric Correction Procedure for Determination of Spectral Reflectance of Terrestrial Surfaces from Satellite Spectral Measurements. Remote Sensing. 2021; 13(9):1831. https://doi.org/10.3390/rs13091831
Chicago/Turabian StyleKatsev, Iosif L., Alexander S. Prikhach, Eleonora P. Zege, and Alexander A. Kokhanovsky. 2021. "A Robust Atmospheric Correction Procedure for Determination of Spectral Reflectance of Terrestrial Surfaces from Satellite Spectral Measurements" Remote Sensing 13, no. 9: 1831. https://doi.org/10.3390/rs13091831
APA StyleKatsev, I. L., Prikhach, A. S., Zege, E. P., & Kokhanovsky, A. A. (2021). A Robust Atmospheric Correction Procedure for Determination of Spectral Reflectance of Terrestrial Surfaces from Satellite Spectral Measurements. Remote Sensing, 13(9), 1831. https://doi.org/10.3390/rs13091831

