Supervised Detection of Ionospheric Scintillation in Low-Latitude Radio Occultation Measurements
Abstract
1. Introduction
2. Ionospheric Characterisation
2.1. Amplitude and Phase Indices
2.2. Spectral Analysis
3. Data Set
3.1. Ionospheric Conditions
3.2. Data Processing and Labelling
4. Support Vector Machine
4.1. Feature Selection
- Maximum during the occultation segment (1 feature);
- Maximum and mean during the occultation segment (2 features);
- Intensity PSD (257 features);
- Maximum and mean , and intensity PSD (259 features).
- Maximum during the occultation segment (1 features);
- Maximum and mean during the occultation segment (2 features);
- Phase PSD (257 features);
- Maximum and mean , and phase PSD (259 features).
4.2. Performance Evaluation
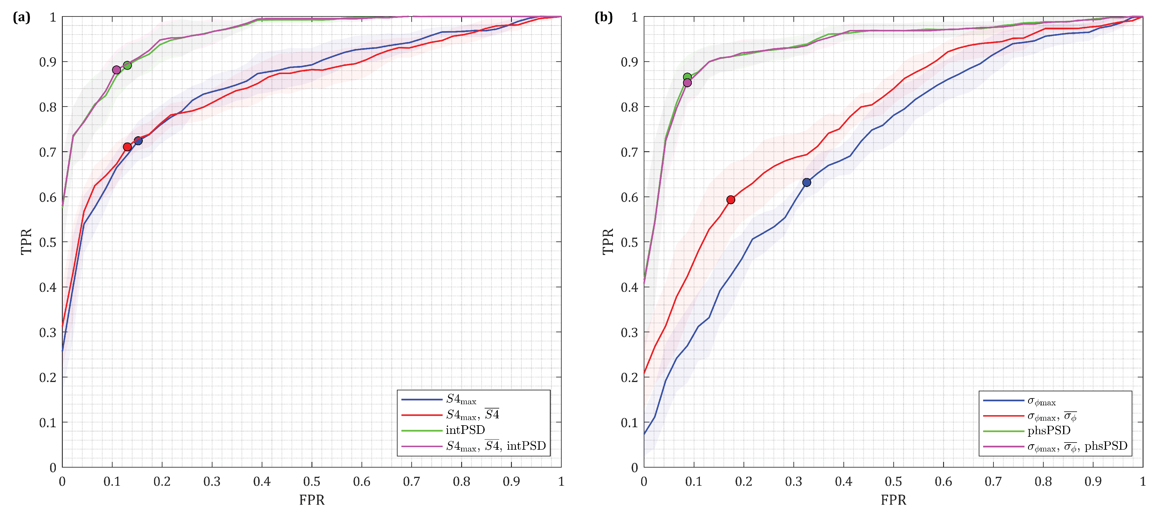
5. Results
Feature Selection
6. Conclusions
Author Contributions
Funding
Data Availability Statement
Acknowledgments
Conflicts of Interest
References
- Wernik, A.W.; Liu, C.H. Ionospheric irregularities causing scintillation of GHz frequency radio signals. J. Atmos. Terr. Phys. 1974, 36, 871–879. [Google Scholar] [CrossRef]
- Yeh, K.C.; Liu, C.H. Radio wave scintillations in the ionosphere. Proc. IEEE 1982, 70, 324–360. [Google Scholar] [CrossRef]
- Aarons, J. Global morphology of ionospheric scintillations. Proc. IEEE 1982, 70, 360–378. [Google Scholar] [CrossRef]
- Basu, S.; MacKenzie, E.; Basu, S. Ionospheric constraints on VHF/UHF communications links during solar maximum and minimum periods. Radio Sci. 1988, 23, 363–378. [Google Scholar] [CrossRef]
- Bevis, M.; Businger, S.; Herring, T.A.; Rocken, C.; Anthes, R.A.; Ware, R.H. GPS meteorology: Remote sensing of atmospheric water vapor using the global positioning system. J. Geophys. Res. 1992, 97, 15787. [Google Scholar] [CrossRef]
- Hajj, G.A.; Romans, L.J. Ionospheric electron density profiles obtained with the Global Positioning System: Results from the GPS/MET experiment. Radio Sci. 1998, 33, 175–190. [Google Scholar] [CrossRef]
- Kursinski, E.R.; Hajj, G.A.; Schofield, J.T.; Linfield, R.P.; Hardy, K.R. Observing Earth’s atmosphere with radio occultation measurements using the Global Positioning System. J. Geophys. Res. Atmos. 1997, 102, 23429–23465. [Google Scholar] [CrossRef]
- Vorob’ev, V.V.; Krasil’nikova, T.G. Estimation of the accuracy of the atmospheric refractive index recovery from doppler shift measurements at frequencies used in the NAVSTAR system. USSR Phys. Atmos. Ocean Engl. Transl. 1994, 29, 602–609. [Google Scholar]
- Syndergaard, S. On the ionosphere calibration in GPS radio occultation measurements. Radio Sci. 2000, 35, 865–883. [Google Scholar] [CrossRef]
- Danzer, J.; Schwaerz, M.; Kirchengast, G.; Healy, S.B. Sensitivity analysis and impact of the kappa-correction of residual ionospheric biases on radio occultation climatologies. Earth Space Sci. 2020, 7. [Google Scholar] [CrossRef]
- Schreiner, W.S.; Sokolovskiy, S.V.; Rocken, C.; Hunt, D.C. Analysis and validation of GPS/MET radio occultation data in the ionosphere. Radio Sci. 1999, 34, 949–966. [Google Scholar] [CrossRef]
- Jakowski, N.; Wehrenpfennig, A.; Heise, S.; Reigber, C.; Lühr, H.; Grunwaldt, L.; Meehan, T.K. GPS radio occultation measurements of the ionosphere from CHAMP: Early results. Geophys. Res. Lett. 2002, 29, 95. [Google Scholar] [CrossRef]
- Stolle, C.; Schlüter, S.; Jacobi, C.; Jakowski, N. 3-Dimensional ionospheric electron density reconstruction based on gps measurements. Adv. Space Res. 2003, 31, 1965–1970. [Google Scholar] [CrossRef]
- Angling, M.J.; Cannon, P.S. Assimilation of radio occultation measurements into background ionospheric models. Radio Sci. 2004, 39. [Google Scholar] [CrossRef]
- Lei, J.; Syndergaard, S.; Burns, A.G.; Solomon, S.C.; Wang, W.; Zeng, Z.; Roble, R.G.; Wu, Q.; Kuo, Y.H.; Holt, J.M.; et al. Comparison of COSMIC ionospheric measurements with ground-based observations and model predictions: Preliminary results. J. Geophys. Res. Space Phys. 2007, 112. [Google Scholar] [CrossRef]
- Yue, X.; Schreiner, W.S.; Lei, J.; Sokolovskiy, S.V.; Rocken, C.; Hunt, D.C.; Kuo, Y.H. Error analysis of Abel retrieved electron density profiles from radio occultation measurements. Ann. Geophys. 2010, 28, 217–222. [Google Scholar] [CrossRef]
- Limberger, M.; Hernández-Pajares, M.; Aragón-Ángel, A.; Altadill, D.; Dettmering, D. Long-term comparison of the ionospheric F2 layer electron density peak derived from ionosonde data and Formosat-3/COSMIC occultations. J. Space Weather Space Clim. 2015, 5, A21. [Google Scholar] [CrossRef]
- Bilitza, D.; Altadill, D.; Truhlik, V.; Shubin, V.; Galkin, I.; Reinisch, B.; Huang, X. International Reference Ionosphere 2016: From ionospheric climate to real-time weather predictions. Space Weather 2017, 15, 418–429. [Google Scholar] [CrossRef]
- Jakowski, N.; Wilken, V.; Mayer, C. Space weather monitoring by GPS measurements on board CHAMP. Space Weather 2007, 5. [Google Scholar] [CrossRef]
- Mannucci, A.J.; Ao, C.O.; Pi, X.; Iijima, B.A. The impact of large scale ionospheric structure on radio occultation retrievals. Atmos. Meas. Technol. 2011, 4, 2837–2850. [Google Scholar] [CrossRef]
- Hocke, K.; Liu, H.; Pedatella, N.; Ma, G. Global sounding of F region irregularities by COSMIC during a geomagnetic storm. Ann. Geophys. 2019, 37, 235–242. [Google Scholar] [CrossRef]
- Wang, G.; Shi, J.; Bai, W.; Galkin, I.; Wang, Z.; Sun, Y. Global ionospheric scintillations revealed by GPS radio occultation data with FY3C satellite before midnight during the March 2015 storm. Adv. Space Res. 2019, 63, 3119–3130. [Google Scholar] [CrossRef]
- Ma, G.; Hocke, K.; Li, J.; Wan, Q.; Lu, W.; Fu, W. GNSS Ionosphere Sounding of Equatorial Plasma Bubbles. Atmosphere 2019, 10, 676. [Google Scholar] [CrossRef]
- Kepkar, A.; Arras, C.; Wickert, J.; Schuh, H.; Alizadeh, M.; Tsai, L.C. Occurrence climatology of equatorial plasma bubbles derived using FormoSat-3/COSMIC GPS radio occultation data. Ann. Geophys. 2020, 38, 611–623. [Google Scholar] [CrossRef]
- Anderson, P.C.; Straus, P.R. Magnetic field orientation control of GPS occultation observations of equatorial scintillation. Geophys. Res. Lett. 2005, 32. [Google Scholar] [CrossRef]
- Seif, A.; Liu, J.Y.; Mannucci, A.J.; Carter, B.A.; Norman, R.; Caton, R.G.; Tsunoda, R.T. A Study of Daytime L-Band Scintillation in Association With Sporadic E Along the Magnetic Dip Equator. Radio Sci. 2017, 52, 1570–1577. [Google Scholar] [CrossRef]
- Elkins, T.J.; Papagiannis, M.D. Measurement and interpretation of power spectrums of ionospheric scintillation at a sub-auroral location. J. Geophys. Res. 1969, 74, 4105–4115. [Google Scholar] [CrossRef]
- Rufenach, C.L. Power-law wavenumber spectrum deduced from ionospheric scintillation observations. J. Geophys. Res. 1972, 77, 4761–4772. [Google Scholar] [CrossRef]
- Singleton, D. Power spectra of ionospheric scintillations. J. Atmos. Terr. Phys. 1974, 36, 113–133. [Google Scholar] [CrossRef]
- Rino, C.L. A power law phase screen model for ionospheric scintillation: 1. Weak scatter. Radio Sci. 1979, 14, 1135–1145. [Google Scholar] [CrossRef]
- Rino, C.L. A power law phase screen model for ionospheric scintillation: 2. Strong scatter. Radio Sci. 1979, 14, 1147–1155. [Google Scholar] [CrossRef]
- Carrano, C.S.; Rino, C.L. A theory of scintillation for two-component power law irregularity spectra: Overview and numerical results. Radio Sci. 2016, 51, 789–813. [Google Scholar] [CrossRef]
- Umeki, R.; Liu, C.H.; Yeh, K. Multifrequency spectra of ionospheric amplitude scintillations. J. Geophys. Res. 1977, 82, 2752–2760. [Google Scholar] [CrossRef]
- Rufenach, C.L. Power spectra of large scintillation signals. J. Atmos. Terr. Phys. 1975, 37, 569–572. [Google Scholar] [CrossRef]
- Basu, S.; Basu, S.; McClure, J.P.; Hanson, W.B.; Whitney, H.E. High resolution topside in situ data of electron densities and VHF/GHz scintillations in the equatorial region. J. Geophys. Res. 1983, 88, 403–415. [Google Scholar] [CrossRef]
- Franke, S.J.; Liu, C.H. Observations and modeling of multi-frequency VHF and GHz scintillations in the equatorial region. J. Geophys. Res. 1983, 88, 7075. [Google Scholar] [CrossRef]
- Jiao, Y.; Hall, J.J.; Morton, Y.T. Performance Evaluation of an Automatic GPS Ionospheric Phase Scintillation Detector Using a Machine-Learning Algorithm. Navigation 2017, 64, 391–402. [Google Scholar] [CrossRef]
- Linty, N.; Minetto, A.; Dovis, F.; Spogli, L. Effects of Phase Scintillation on the GNSS Positioning Error During the September 2017 Storm at Svalbard. Space Weather 2018, 16, 1317–1329. [Google Scholar] [CrossRef]
- Bhattacharyya, A.; Rastogi, R.G. Phase scintillations due to equatorial F region irregularities with two-component power law spectrum. J. Geophys. Res. 1986, 91, 11359. [Google Scholar] [CrossRef]
- Bhattacharyya, A.; Yeh, K.; Franke, S. Deducing turbulence parameters from transionospheric scintillation measurements. Space Sci. Rev. 1992, 61, 1992. [Google Scholar] [CrossRef]
- Carrano, C.S.; Groves, K.M.; Caton, R.G.; Rino, C.L.; Straus, P.R. Multiple phase screen modeling of ionospheric scintillation along radio occultation raypaths. Radio Sci. 2011, 46. [Google Scholar] [CrossRef]
- Ludwig-Barbosa, V.; Sievert, T.; Rasch, J.; Carlström, A.; Pettersson, M.I.; Vu, V.T. Evaluation of Ionospheric Scintillation in GNSS Radio Occultation Measurements and Simulations. Radio Sci. 2020, 55. [Google Scholar] [CrossRef]
- Murphy, K.P. Machine Learning: A Probabilistic Perspective; The MIT Press: Cambridge, MA, USA, 2012. [Google Scholar]
- Vapnik, V. Estimation of Dependences Based on Empirical Data, 1st ed.; Springer: New York, NY, USA, 2006; pp. 1–505. [Google Scholar]
- Boser, B.E.; Guyon, I.M.; Vapnik, V.N. A training algorithm for optimal margin classifiers. In Proceedings of the 5th Annual Workshop on Computational Learning Theory—COLT ’92, Pittsburgh, PA, USA, 27–29 July 1992; pp. 144–152. [Google Scholar]
- Jiao, Y.; Hall, J.J.; Morton, Y.T. Automatic Equatorial GPS Amplitude Scintillation Detection Using a Machine Learning Algorithm. IEEE Trans. Aerosp. Electron. Syst. 2017, 53, 405–418. [Google Scholar] [CrossRef]
- McGranaghan, R.M.; Mannucci, A.J.; Wilson, B.; Mattmann, C.A.; Chadwick, R. New Capabilities for Prediction of High-Latitude Ionospheric Scintillation: A Novel Approach With Machine Learning. Space Weather 2018, 16, 1817–1846. [Google Scholar] [CrossRef]
- Linty, N.; Farasin, A.; Favenza, A.; Dovis, F. Detection of GNSS Ionospheric Scintillations Based on Machine Learning Decision Tree. IEEE Trans. Aerosp. Electron. Syst. 2019, 55, 303–317. [Google Scholar] [CrossRef]
- Cardellach, E.; Oliveras, S. Assessment of a Potential Reflection Flag Product; Technical Report 23; IEEC/ROM SAF: Barcelona, Spain, 2016. [Google Scholar]
- Hu, A.; Wu, S.; Wang, X.; Wang, Y.; Norman, R.; He, C.; Cai, H.; Zhang, K. Improvement of Reflection Detection Success Rate of GNSS RO Measurements Using Artificial Neural Network. IEEE Trans. Geosci. Remote 2018, 56, 760–769. [Google Scholar] [CrossRef]
- Fjeldbo, G.; Kliore, A.J.; Eshleman, V.R. The Neutral Atmosphere of Venus as Studied with the Mariner V Radio Occultation Experiments. Astron. J. 1971, 76, 123. [Google Scholar] [CrossRef]
- Wickert, J.; Pavelyev, A.G.; Liou, Y.A.; Schmidt, T.; Reigber, C.; Igarashi, K.; Pavelyev, A.A.; Matyugov, S.S. Amplitude variations in GPS signals as a possible indicator of ionospheric structures. Geophys. Res. Lett. 2004, 31, L24801. [Google Scholar] [CrossRef]
- Briggs, B.; Parkin, I. On the variation of radio star and satellite scintillations with zenith angle. J. Atmos. Terr. Phys. 1963, 25, 339–366. [Google Scholar] [CrossRef]
- Syndergaard, S. COSMIC S4 Data; UCAR/CDAAC: Boulder, CO, USA, 2006. [Google Scholar]
- Fremouw, E.J.; Leadabrand, R.L.; Livingston, R.C.; Cousins, M.D.; Rino, C.L.; Fair, B.C.; Long, R.A. Early results from the DNA Wideband satellite experiment-Complex-signal scintillation. Radio Sci. 1978, 13, 167–187. [Google Scholar] [CrossRef]
- Forte, B.; Radicella, S.M. Problems in data treatment for ionospheric scintillation measurements. Radio Sci. 2002, 37, 8. [Google Scholar] [CrossRef]
- Taylor, S.; Morton, Y.; Jiao, Y.; Triplett, J.; Pelgrum, W. An improved ionosphere scintillation event detection and automatic trigger for a GNSS data collection system. Inst. Navig. Int. Tech. Meet. 2012, 2, 1563–1569. [Google Scholar]
- Sokolovskiy, S.; Schreiner, W.; Rocken, C.; Hunt, D. Detection of high-altitude ionospheric irregularities with GPS/MET. Geophys. Res. Lett. 2002, 29. [Google Scholar] [CrossRef]
- Zeng, Z.; Sokolovskiy, S. Effect of sporadic E clouds on GPS radio occultation signals. Geophys. Res. Lett. 2010, 37. [Google Scholar] [CrossRef]
- Killick, R.; Fearnhead, P.; Eckley, I.A. Optimal Detection of Changepoints With a Linear Computational Cost. J. Am. Stat. Assoc. 2012, 107, 1590–1598. [Google Scholar] [CrossRef]
- Pirscher, B.; Foelsche, U.; Lackner, B.C.; Kirchengast, G. Local time influence in single-satellite radio occultation climatologies from Sun-synchronous and non-Sun-synchronous satellites. J. Geophys. Res. 2007, 112. [Google Scholar] [CrossRef]
- Béniguel, Y.; Cherniak, I.; Garcia-Rigo, A.; Hamel, P.; Hernández-Pajares, M.; Kameni, R.; Kashcheyev, A.; Krankowski, A.; Monnerat, M.; Nava, B.; et al. MONITOR Ionospheric Network: Two case studies on scintillation and electron content variability. Ann. Geophys. 2017, 35, 377–391. [Google Scholar] [CrossRef]
- Schreiner, W.; Sokolovskiy, S.; Hunt, D.; Rocken, C. Analysis of GPS radio occultation data from the FORMOSAT-3/COSMIC and Metop/GRAS missions at CDAAC. Atmos. Meas. Tech. 2011, 4, 2255–2272. [Google Scholar] [CrossRef]
- Muller, K.R.; Mika, S.; Ratsch, G.; Tsuda, K.; Scholkopf, B. An introduction to kernel-based learning algorithms. IEEE Trans. Neural Netw. 2001, 12, 181–201. [Google Scholar] [CrossRef] [PubMed]
- Swets, J. Measuring the accuracy of diagnostic systems. Science 1988, 240, 1285–1293. [Google Scholar] [CrossRef] [PubMed]


















| Criteria | Description | Label |
|---|---|---|
| Low-scintillation cases | (Removed) | |
| Sporadic E-layer [59] | Occultations with U-shaped fade and corresponding to less than 50% of the plateau | (Removed) |
| S-type disturbances [52] | Occultation with quasi-regular disturbances and corresponding to less than 50% of the plateau | (Removed) |
| Others | PSD without clear trend of monotonic or double-slope inverse power law or inconclusive PSD | 0 |
| PSD with trend of monotonic or double-slope inverse power law | 1 |
| Training Vector | Accuracy | Precision | Recall | F-Score | TPR | FPR |
|---|---|---|---|---|---|---|
| 0.724 | 0.152 | |||||
| , | 0.711 | 0.130 | ||||
| intPSD | 0.892 | 0.130 | ||||
| , , intPSD | 0.881 | 0.109 | ||||
| 0.623 | 0.326 | |||||
| , | 0.593 | 0.174 | ||||
| phsPSD | 0.865 | 0.087 | ||||
| , , phs PSD | 0.853 | 0.087 |
| Training Vector | Accuracy | Precision | Recall | F-Score | TPR | FPR |
|---|---|---|---|---|---|---|
| 0.724 | 0.152 | |||||
| , | 0.719 | 0.130 | ||||
| intPSD | 0.879 | 0.109 | ||||
| , , intPSD | 0.833 | 0.065 | ||||
| 0.632 | 0.326 | |||||
| , | 0.634 | 0.196 | ||||
| phsPSD | 0.872 | 0.109 | ||||
| , , phs PSD | 0.853 | 0.087 |
| Training Vector | C | Accuracy | Precision | Recall | F-Score | TPR | FPR | |
|---|---|---|---|---|---|---|---|---|
| PSDs | 0.005 | - | 0.880 | 0.065 | ||||
| , PSDs | 0.006 | - | 0.880 | 0.065 | ||||
| , , PSDs | 0.006 | - | 0.888 | 0.065 | ||||
| PSDs | 72 693 | 4 314 | 0.882 | 0.065 | ||||
| , PSDs | 2 597 | 1 019 | 0.887 | 0.065 | ||||
| , , PSDs | 47 637 | 3 560 | 0.903 | 0.087 |
Publisher’s Note: MDPI stays neutral with regard to jurisdictional claims in published maps and institutional affiliations. |
© 2021 by the authors. Licensee MDPI, Basel, Switzerland. This article is an open access article distributed under the terms and conditions of the Creative Commons Attribution (CC BY) license (https://creativecommons.org/licenses/by/4.0/).
Share and Cite
Ludwig-Barbosa, V.; Sievert, T.; Carlström, A.; Pettersson, M.I.; Vu, V.T.; Rasch, J. Supervised Detection of Ionospheric Scintillation in Low-Latitude Radio Occultation Measurements. Remote Sens. 2021, 13, 1690. https://doi.org/10.3390/rs13091690
Ludwig-Barbosa V, Sievert T, Carlström A, Pettersson MI, Vu VT, Rasch J. Supervised Detection of Ionospheric Scintillation in Low-Latitude Radio Occultation Measurements. Remote Sensing. 2021; 13(9):1690. https://doi.org/10.3390/rs13091690
Chicago/Turabian StyleLudwig-Barbosa, Vinícius, Thomas Sievert, Anders Carlström, Mats I. Pettersson, Viet T. Vu, and Joel Rasch. 2021. "Supervised Detection of Ionospheric Scintillation in Low-Latitude Radio Occultation Measurements" Remote Sensing 13, no. 9: 1690. https://doi.org/10.3390/rs13091690
APA StyleLudwig-Barbosa, V., Sievert, T., Carlström, A., Pettersson, M. I., Vu, V. T., & Rasch, J. (2021). Supervised Detection of Ionospheric Scintillation in Low-Latitude Radio Occultation Measurements. Remote Sensing, 13(9), 1690. https://doi.org/10.3390/rs13091690

