Intra-Urban Scaling Properties Examined by Automatically Extracted City Hotspots from Street Data and Nighttime Light Imagery
Abstract
1. Introduction
2. Data and Methods
2.1. Data and Data Processing
2.2. Urban Hotspot Detection
2.2.1. Spatial Clustering of Street Nodes and NTL Pixels
2.2.2. Scaling Analytics for Identifying the Cutoff for Spatial Clustering
2.3. Power Function Fitting for Intra-Urban Scaling Law Examination
3. Results
3.1. Derived Urban Hotspots in the Top 20 Chinese Cities
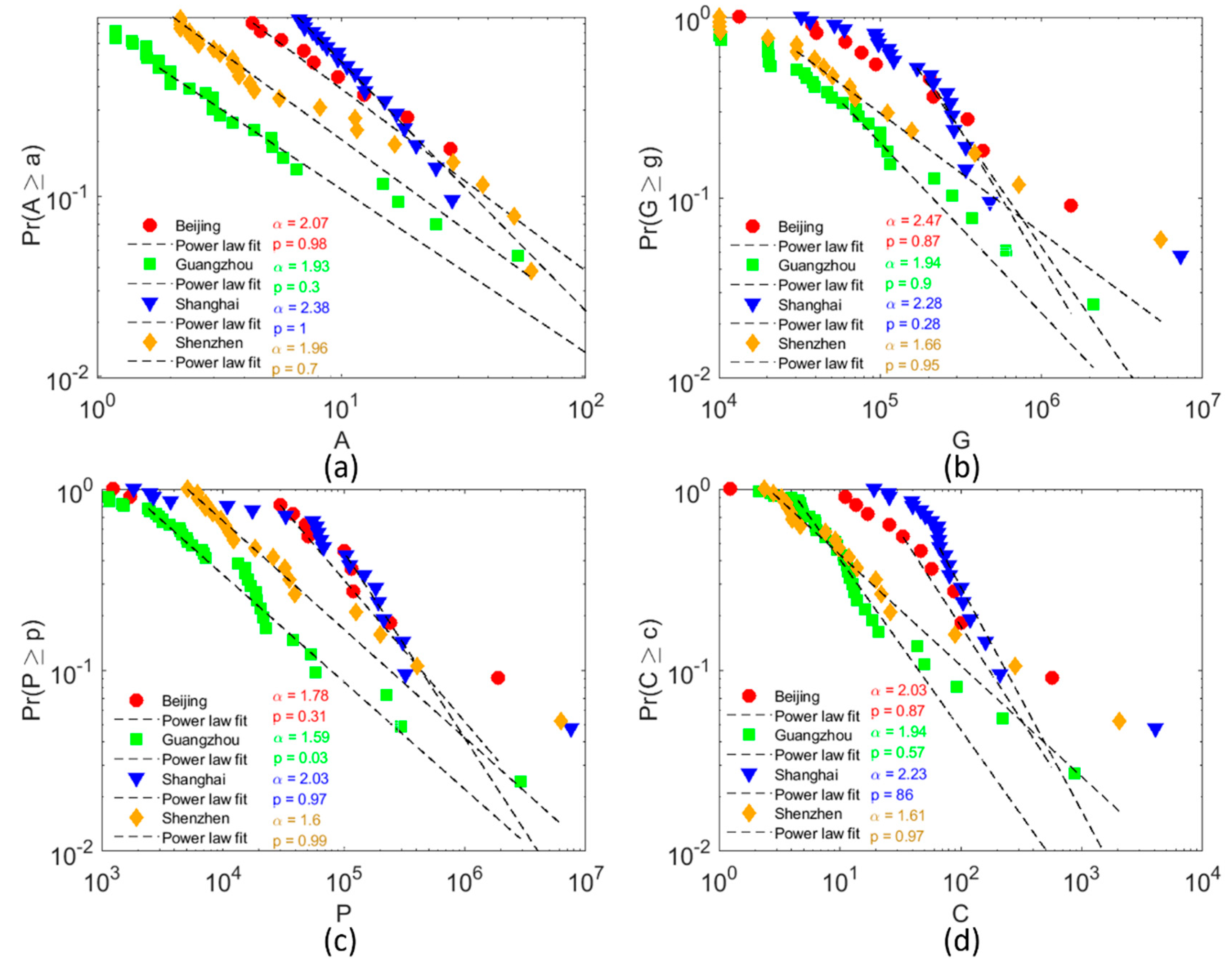
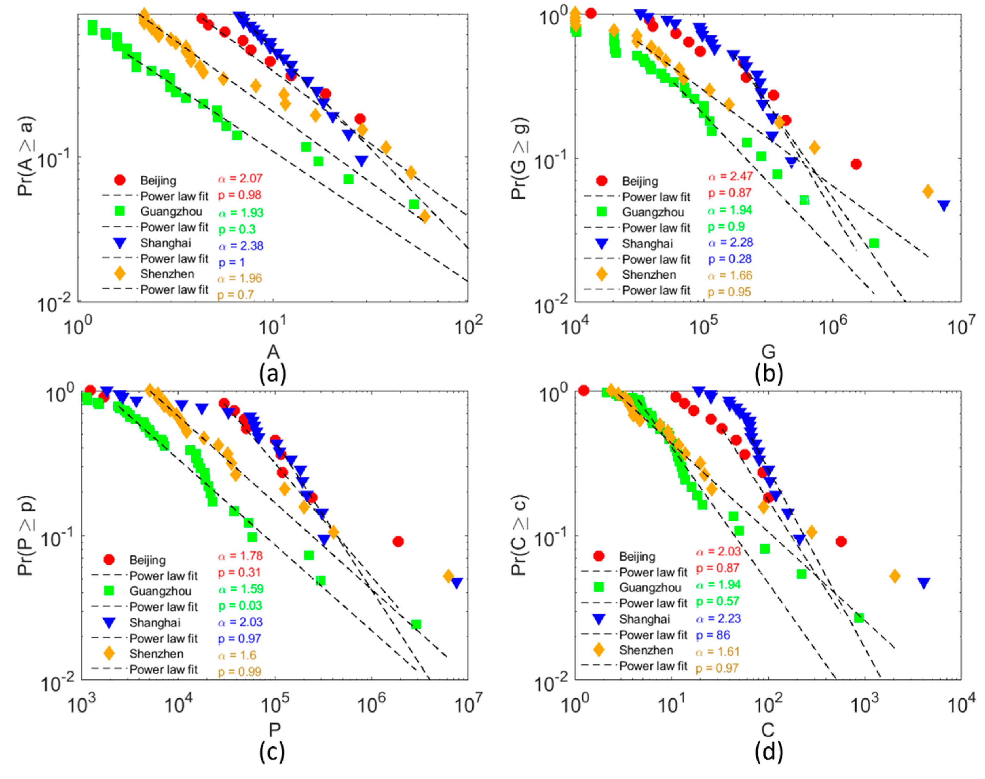
3.2. Intra-Urban Scaling Properties Based on Derived Urban Hotspots
4. Discussion
5. Conclusions
Author Contributions
Funding
Data Availability Statement
Acknowledgments
Conflicts of Interest
Appendix A
| 1st Mean | 2nd Mean | 3rd Mean | 4th Mean | 5th Mean | |||||||||||
|---|---|---|---|---|---|---|---|---|---|---|---|---|---|---|---|
| Chengdu | 5.45 | 2.68 | 0.65 | 22.81 | 1.36 | 0.00 | 40.12 | 1.46 | 0.00 | 55.94 | 4.94 | 0.46 | 73.61 | 2.53 | 0.00 |
| Dalian | 1.65 | 1.69 | 0.27 | 12.74 | 1.67 | 0.97 | 32.90 | 1.70 | 0.11 | 57.31 | 3.66 | 0.72 | 101.36 | 13.52 | 0.69 |
| Fuzhou | 2.96 | 1.70 | 0.71 | 13.93 | 1.90 | 1.00 | 30.92 | 2.19 | 0.96 | 47.98 | 1.67 | 0.58 | 61.96 | 2.27 | 0.23 |
| Harbin | 0.42 | 1.62 | 0.05 | 3.81 | 1.93 | 0.92 | 17.64 | 1.93 | 0.74 | 35.20 | 1.88 | 0.24 | 52.37 | 1.58 | 0.01 |
| Hangzhou | 2.47 | 1.77 | 0.17 | 12.78 | 1.70 | 0.47 | 25.18 | 1.93 | 0.91 | 36.08 | 2.28 | 0.61 | 47.26 | NA | NA |
| Jinan | 2.86 | 1.80 | 0.93 | 12.93 | 1.77 | 0.71 | 24.88 | 2.17 | 0.94 | 35.18 | 2.61 | 0.89 | 44.83 | NA | NA |
| Kunming | 1.32 | 1.81 | 0.98 | 12.44 | 1.80 | 0.81 | 29.13 | 1.77 | 0.43 | 45.05 | 2.74 | 0.35 | 64.17 | 2.95 | 0.19 |
| Nanjing | 5.55 | 1.90 | 0.51 | 19.08 | 1.55 | 0.11 | 32.64 | 1.93 | 0.90 | 50.25 | 2.84 | 0.86 | 88.34 | 2.15 | 0.71 |
| Qingdao | 2.44 | 1.63 | 0.96 | 12.21 | 1.71 | 0.34 | 23.53 | 1.76 | 0.26 | 34.10 | 2.97 | 0.71 | 45.80 | NA | NA |
| Shanghai | 18.70 | 1.60 | 0.98 | 33.94 | 1.72 | 0.93 | 47.39 | 2.38 | 1.00 | 69.08 | 2.58 | 0.68 | 113.40 | 2.23 | 0.31 |
| Shenzhen | 25.28 | 1.57 | 0.60 | 46.04 | 1.61 | 0.97 | 61.94 | 1.96 | 0.94 | 76.91 | 1.61 | 0.70 | 96.40 | 2.18 | 0.42 |
| Shenyang | 2.36 | 1.89 | 0.85 | 16.90 | 1.89 | 0.15 | 34.82 | 1.89 | 0.27 | 50.86 | 1.93 | 0.96 | 66.10 | 1.98 | 0.98 |
| Tianjin | 5.58 | 1.72 | 0.75 | 18.98 | 1.72 | 0.91 | 32.71 | 1.80 | 0.63 | 44.99 | 2.32 | 0.88 | 59.59 | 1.97 | 0.21 |
| Wuhan | 5.28 | 2.15 | 0.01 | 22.72 | 2.00 | 0.88 | 40.42 | 1.73 | 0.07 | 58.95 | 2.40 | 1.00 | 81.18 | 2.55 | 0.86 |
| Xian | 3.72 | 1.70 | 1.00 | 22.12 | 1.88 | 0.14 | 40.78 | 1.88 | 0.80 | 54.78 | 1.74 | 0.21 | 70.79 | 2.51 | 0.85 |
| Changsha | 2.07 | 1.81 | 0.77 | 14.04 | 1.87 | 0.97 | 27.55 | 1.88 | 0.57 | 40.50 | 2.22 | 0.53 | 54.86 | 3.60 | 0.85 |
| Zhengzhou | 4.83 | 1.81 | 0.10 | 16.52 | 1.60 | 0.41 | 30.53 | 1.97 | 0.24 | 43.27 | 1.75 | 0.25 | 58.97 | 3.18 | 0.38 |
| Chongqing | 1.93 | 1.71 | 0.00 | 10.58 | 1.96 | 0.98 | 24.07 | 2.09 | 0.88 | 37.50 | 2.20 | 0.02 | 51.31 | 2.90 | 0.15 |
| Beijing | 4.33 | 1.73 | 0.84 | 16.23 | 1.83 | 1.00 | 27.75 | 2.07 | 0.98 | 37.95 | 1.94 | 0.91 | 52.87 | 2.07 | 0.94 |
| Guangzhou | 8.31 | 1.96 | 0.06 | 23.02 | 1.90 | 0.17 | 36.83 | 1.93 | 0.30 | 49.98 | 2.57 | 0.63 | 70.81 | 2.15 | 0.61 |
Appendix B
| City | IoU | City | IoU |
|---|---|---|---|
| Beijing | 0.26 | Nanjing | 0.19 |
| Shanghai | 0.17 | Changsha | 0.24 |
| Guangzhou | 0.21 | Zhengzhou | 0.38 |
| Shenzhen | 0.18 | Qingdao | 0.11 |
| Chengdu | 0.38 | Shenyang | 0.45 |
| Hangzhou | 0.28 | Dalian | 0.21 |
| Chongqing | 0.21 | Fuzhou | 0.33 |
| Wuhan | 0.22 | Harbin | 0.26 |
| Xian | 0.42 | Jinan | 0.34 |
| Tianjin | 0.33 | Kunming | 0.28 |
References
- United Nations. World Urbanization Prospects: The 2018 Revision; United Nations: New York, NY, USA, 2019. [Google Scholar]
- Zhao, S.; Zhou, D.; Zhu, C.; Sun, Y.; Wu, W.; Liu, S. Spatial and temporal dimensions of urban expansion in China. Environ. Sci. Technol. 2015, 49, 9600–9609. [Google Scholar] [CrossRef] [PubMed]
- National Bureau of Statistics. China Statistical Yearbook 2020; China Statistics Press: Beijing, China, 2020. [Google Scholar]
- Jacobs, J. The Death and Life of Great American Cities; Vintage Books: New York, NY, USA, 1961. [Google Scholar]
- Batty, M.; Longley, P. Fractal Cities: A Geometry of Form and Function; Academic Press: London, UK, 1994. [Google Scholar]
- Frankhauser, P. The fractal approach: A new tool for the spatial analysis of urban agglomerations. Popul. Engl. Sel. 1998, 10, 205–240. [Google Scholar]
- Batty, M. Cities and Complexity: Understanding Cities with Cellular Automata, Agent-Based Models, and Fractals; MIT Press: Cambridge, MA, USA, 2007. [Google Scholar]
- Chen, Y. Urban chaos and perplexing dynamics of urbanization. Lett. Spat. Resour. Sci. 2009, 2, 85–95. [Google Scholar] [CrossRef]
- Barthelemy, M. The Structure and Dynamics of Cities: Urban Data Analysis and Theoretical Modeling; Cambridge University Press: Cambridge, UK, 2016. [Google Scholar]
- Pumain, D.; Reuillon, R. Urban Dynamics and Simulation Models; Springer: Berlin, Germany, 2017. [Google Scholar]
- Shreevastava, A.; Rao, P.S.C.; McGrath, G.S. Emergent self-similarity and scaling properties of fractal intra-urban heat islets for diverse global cities. Phys. Rev. E 2019, 100, 032142. [Google Scholar] [CrossRef]
- Zipf, G. Human Behavior and the Principle of Least Effort; Addison-Wesley Press: Cambridge, MA, USA, 1949. [Google Scholar]
- Batty, M.; Carvalho, R.; Hudson-Smith, A.; Milton, R.; Smith, D.; Steadman, P. Scaling and allometry in the building geometries of Greater London. Eur. Phys. J. B 2008, 63, 303–314. [Google Scholar] [CrossRef]
- Carvalho, R.; Penn, A. Scaling and universality in the micro-structure of urban space. Phys. A Stat. Mech. Its Appl. 2004, 332, 539–547. [Google Scholar] [CrossRef]
- Jing, Y.; Liu, Y.; Cai, E.; Liu, Y.; Zhang, Y. Quantifying the spatiality of urban leisure venues in Wuhan, Central China—GIS-based spatial pattern metrics. Sustain. Cities Soc. 2018, 40, 638–647. [Google Scholar] [CrossRef]
- Bettencourt, L.M.A.; Lobo, J.; Helbing, D.; Kühnert, C.; West, G.B. Growth, innovation, scaling, and the pace of life in cities. Proc. Natl. Acad. Sci. USA 2007, 104, 7301–7306. [Google Scholar] [CrossRef]
- Zünd, D.; Bettencourt, L.M.A. Growth and development in prefecture-level cities in China. PLoS ONE 2019, 14, e0221017. [Google Scholar] [CrossRef]
- Lan, T.; Li, Z.; Zhang, H. Urban allometric scaling beneath structural fractality of road networks. Ann. Am. Assoc. Geogr. 2019, 109, 943–957. [Google Scholar] [CrossRef]
- Ma, D.; Guo, R.; Zheng, Y.; Zhao, Z.; He, F.; Zhu, W. Understanding Chinese Urban Form: The Universal Fractal Pattern of Street Networks over 298 Cities. ISPRS Int. J. Geo Inf. 2020, 9, 192. [Google Scholar] [CrossRef]
- Arcaute, E.; Hatna, E.; Ferguson, P.; Youn, H.; Johansson, A.; Batty, M. Constructing cities, deconstructing scaling laws. Interface 2015, 12, 20140745. [Google Scholar] [CrossRef]
- Alvioli, M. Administrative boundaries and urban areas in Italy: A perspective from scaling laws. Landsc. Urban Plan. 2020, 204, 103906. [Google Scholar] [CrossRef]
- Goodchild, M.F. Citizens as sensors: The world of volunteered geography. GeoJournal 2007, 69, 211–221. [Google Scholar] [CrossRef]
- Li, D.; Zhao, X.; Li, X. Remote sensing of human beings–a perspective from nighttime light. Geo Spat. Inf. Sci. 2016, 19, 69–79. [Google Scholar] [CrossRef]
- Bennett, J. Open Street Map: Be Your Own Cartographer; PCKT Publishing: Birmingham, AL, USA, 2010. [Google Scholar]
- Tannier, C.; Thomas, I.; Vuidel, G.; Frankhauser, P. A fractal approach to identifying urban boundaries. Geogr. Anal. 2011, 43, 211–227. [Google Scholar] [CrossRef]
- Tannier, C.; Thomas, I. Defining and characterizing urban boundaries: A fractal analysis of theoretical cities and Belgian cities. Comput. Environ. Urban Syst. 2013, 41, 234–248. [Google Scholar] [CrossRef]
- Long, Y.; Zhai, W.; Shen, Y.; Ye, X. Understanding uneven urban expansion with natural cities using open data. Landsc. Urban Plan. 2018, 177, 281–293. [Google Scholar] [CrossRef]
- Liu, L.; Xia, B.; Wu, H.; Zhao, J.; Peng, Z.; Yu, Y. Delimitating the natural city with points of interests based on service area and maximum entropy method. Entropy 2019, 21, 458. [Google Scholar] [CrossRef]
- Montero, G.; Tannier, C.; Thomas, I. Delineation of cities based on scaling properties of urban patterns: A comparison of three methods. Int. J. Geogr. Inf. Sci. 2021, 1–29. [Google Scholar] [CrossRef]
- Lynch, K. The Image of the City; MIT Press: Cambridge, MA, USA, 1960. [Google Scholar]
- NOAA/NCEI. Available online: http://data.mines.edu/nighttime_light/monthly/v10/2020/202006/ (accessed on 15 January 2021).
- Elvidge, C.D.; Baugh, K.; Zhizhin, M.; Hsu, F.C.; Ghosh, T. VIIRS night-time lights. Int. J. Remote Sens. 2017, 38, 5860–5879. [Google Scholar] [CrossRef]
- National Resources and Environment Database of the Chinese Academy of Sciences. Available online: http://www.resdc.cn/data.aspx?DATAID=252 (accessed on 15 January 2021).
- National Earth System Science Data Center. National Science and Technology Infrastructure of China. Available online: http://www.geodata.cn/data/datadetails.html?dataguid=49936583368636&docid=5173 (accessed on 15 January 2021).
- Wu, W.; Zhao, H.; Jiang, S. A Zipf’s Law-Based Method for Mapping Urban Areas Using NPP-VIIRS Nighttime Light Data. Remote Sens. 2018, 10, 130. [Google Scholar] [CrossRef]
- Newman, M.E.J. Power laws, Pareto distributions and Zipf’s law. Contemp. Phys. 2005, 46, 323–351. [Google Scholar] [CrossRef]
- Clauset, A.; Shalizi, C.; Newman, M. Power-law distributions in empirical data. Soc. Ind. Appl. Math. 2009, 51, 661–703. [Google Scholar] [CrossRef]
- Press, W.H.; William, H.; Teukolsky, S.A.; Saul, A.; Vetterling, W.T.; Flannery, B.P. Numerical Recipes 3rd Edition: The Art of Scientific Computing; Cambridge University Press: Cambridge, UK, 2007. [Google Scholar]
- Jiang, B. Head/tail breaks: A new classification scheme for data with a heavy-tailed distribution. Prof. Geogr. 2013, 65, 482–494. [Google Scholar] [CrossRef]
- Jiang, B.; Yin, J. Ht–index for quantifying the fractal or scaling structure of geographic features. Ann. Assoc. Am. Geogr. 2014, 104, 530–541. [Google Scholar] [CrossRef]
- Jiang, B.; Yin, J.; Liu, Q. Zipf’s law for all the natural cities around the world. Int. J. Geogr. Inf. Sci. 2015, 29, 498–522. [Google Scholar] [CrossRef]
- Stepinski, T.F.; Dmowska, A. Complexity in patterns of racial segregation. Chaos Solitons Fractals 2020, 140, 110207. [Google Scholar] [CrossRef]
- Li, S.; Dragicevic, S.; Castro, F.A.; Sester, M.; Winter, S.; Coltekin, A.; Pettit, C.; Jiang, B.; Haworth, J.; Stein, A.; et al. Geospatial big data handling theory and methods: A review and research challenges. ISPRS J. Photogramm. Remote Sens. 2016, 115, 119–133. [Google Scholar] [CrossRef]
- Mandelbrot, B. How long is the coast of Britain? Statistical self-similarity and fractional dimension. Science 1967, 156, 636–638. [Google Scholar] [CrossRef]
- Mitzenmacher, M. A brief history of generative models for power law and lognormal distributions. Internet Math. 2004, 1, 226–251. [Google Scholar] [CrossRef]
- García-Pérez, G.; Boguñá, M.; Serrano, M.Á. Multiscale unfolding of real networks by geometric renormalization. Nat. Phys. 2018, 14, 583–589. [Google Scholar] [CrossRef]
- Zheng, M.; Allard, A.; Hagmann, P.; Alemán-Gómez, Y.; Serrano, M.Á. Geometric renormalization unravels self-similarity of the multiscale human connectome. Proc. Natl. Acad. Sci. USA 2020, 117, 20244–20253. [Google Scholar] [CrossRef] [PubMed]
- Bettencourt, L.; West, G. A unified theory of urban living. Nature 2010, 467, 912–913. [Google Scholar] [CrossRef] [PubMed]
- Salat, S.; Bourdic, L. Urban complexity, scale hierarchy, energy efficiency and economic value creation. In The Sustainable City VII: Urban Regeneration and Sustainability; Pacetti, M., Passerini, G., Brebbia, C.A., Latini, G., Eds.; WIT Press: Boston, MA, USA, 2012; Volume 155, pp. 97–107. [Google Scholar]








| City | #Nodes | #TIN Edges | Head%/Tail% | |
|---|---|---|---|---|
| Shanghai | 88,701 | 266,076 | 217.03 | 31/69 |
| Beijing | 103,752 | 311,239 | 274.43 | 25/75 |
| Tianjin | 56,698 | 170,074 | 368.58 | 26/74 |
| Guangzhou | 70,655 | 211,945 | 242.94 | 27/73 |
| Chongqing | 34,416 | 103,229 | 552.53 | 19/81 |
| Qingdao | 49,945 | 149,816 | 415.87 | 23/77 |
| Shenzhen | 47,954 | 143,841 | 183.35 | 28/72 |
| Chengdu | 53,151 | 159,439 | 348.79 | 25/75 |
| Changsha | 22,203 | 66,590 | 487.60 | 20/80 |
| Hangzhou | 62,346 | 187,017 | 363.57 | 23/77 |
| Wuhan | 32,981 | 98,928 | 365.61 | 25/75 |
| Nanjing | 36,282 | 108,824 | 343.24 | 26/74 |
| Shenyang | 16,433 | 49,278 | 595.23 | 20/80 |
| Zhengzhou | 20,209 | 60,610 | 436.42 | 23/77 |
| Dalian | 18,063 | 54,165 | 684.15 | 22/78 |
| Fuzhou | 21,215 | 63,631 | 649.26 | 24/76 |
| Xian | 34,363 | 103,070 | 395.22 | 26/74 |
| Harbin | 15,260 | 45,763 | 1031.37 | 16/84 |
| Jinan | 19,405 | 58,199 | 412.84 | 19/81 |
| Kunming | 19,308 | 57,906 | 624.11 | 17/83 |
| 1st Level | 5.376 | 1.812 |
| 2nd Level | 18.192 | 1.769 |
| 3rd Level | 33.086 | 1.921 |
| 4th Level | 48.092 | 2.442 |
| 5th Level | 67.799 | 3.076 |
| Street Hotspots | NTL Hotspots | |||||
|---|---|---|---|---|---|---|
| City | ||||||
| Shanghai | 2.20 | 0.62 | 0.31 | 2.38 | 1.00 | 6.29 |
| Beijing | 2.16 | 0.33 | 0.16 | 2.07 | 0.98 | 3.83 |
| Tianjin | 2.21 | 0.71 | 0.50 | 1.80 | 0.63 | 1.01 |
| Guangzhou | 2.32 | 1.00 | 0.25 | 1.93 | 0.30 | 0.80 |
| Chongqing | 1.79 | 0.30 | 0.12 | 2.09 | 0.88 | 1.89 |
| Qingdao | 2.21 | 0.75 | 0.78 | 1.76 | 0.26 | 0.70 |
| Shenzhen | 2.09 | 0.83 | 0.08 | 1.96 | 0.70 | 1.80 |
| Chengdu | 1.91 | 0.17 | 0.13 | 1.46 | 0.00 | 0.37 |
| Changsha | 1.91 | 0.08 | 0.18 | 1.88 | 0.57 | 0.57 |
| Hangzhou | 1.93 | 0.90 | 0.09 | 1.93 | 0.91 | 1.31 |
| Wuhan | 1.86 | 0.97 | 0.11 | 1.73 | 0.07 | 0.56 |
| Nanjing | 1.81 | 0.03 | 0.11 | 1.93 | 0.90 | 1.10 |
| Shenyang | 1.95 | 0.43 | 0.21 | 1.89 | 0.27 | 0.49 |
| Zhengzhou | 1.93 | 0.83 | 0.12 | 1.97 | 0.24 | 0.53 |
| Dalian | 1.83 | 0.49 | 0.18 | 1.70 | 0.11 | 0.34 |
| Fuzhou | 1.97 | 0.10 | 0.19 | 2.19 | 0.96 | 3.30 |
| Xian | 2.11 | 0.78 | 0.62 | 1.88 | 0.80 | 0.72 |
| Harbin | 2.09 | 0.80 | 3.26 | 1.93 | 0.74 | 1.06 |
| Jinan | 2.02 | 0.94 | 0.24 | 2.17 | 0.94 | 0.87 |
| Kunming | 1.95 | 0.42 | 0.24 | 1.77 | 0.43 | 0.59 |
| Street Hotspots | NTL Hotspots | |||||||
|---|---|---|---|---|---|---|---|---|
| City | Area% | GDP% | Pop% | CO2% | Area% | GDP% | Pop% | CO2% |
| Shanghai | 2.73% | 3.61% | 12.61% | 4.62% | 2.44% | 3.64% | 8.94% | 4.35% |
| Beijing | 3.18% | 10.58% | 30.87% | 13.74% | 1.37% | 5.75% | 13.33% | 6.90% |
| Tianjin | 3.64% | 10.58% | 32.96% | 13.75% | 3.44% | 5.22% | 24.57% | 17.40% |
| Guangzhou | 2.40% | 6.67% | 24.42% | 9.50% | 3.99% | 10.63% | 29.28% | 16.46% |
| Chongqing | 2.56% | 23.39% | 20.50% | 27.08% | 0.76% | 20.35% | 12.71% | 17.79% |
| Qingdao | 3.54% | 14.67% | 22.52% | 21.56% | 0.81% | 4.86% | 7.95% | 6.44% |
| Shenzhen | 6.68% | 6.71% | 16.82% | 9.56% | 14.11% | 9.22% | 7.93% | 20.57% |
| Chengdu | 4.26% | 26.00% | 30.10% | 26.72% | 4.46% | 25.71% | 28.55% | 29.16% |
| Changsha | 2.75% | 20.30% | 28.76% | 33.42% | 1.00% | 22.67% | 43.94% | 35.25% |
| Hangzhou | 2.82% | 16.91% | 12.34% | 20.60% | 1.18% | 7.79% | 5.99% | 11.67% |
| Wuhan | 3.26% | 27.04% | 22.84% | 17.44% | 4.10% | 42.02% | 62.71% | 19.57% |
| Nanjing | 4.56% | 12.20% | 28.80% | 17.05% | 2.30% | 6.04% | 15.14% | 9.48% |
| Shenyang | 2.62% | 12.11% | 40.28% | 25.86% | 1.97% | 13.42% | 49.08% | 7.50% |
| Zhengzhou | 3.62% | 20.06% | 28.76% | 20.03% | 2.74% | 3.37% | 6.97% | 9.32% |
| Dalian | 3.31% | 22.45% | 39.21% | 34.73% | 1.13% | 9.41% | 19.79% | 16.54% |
| Fuzhou | 3.93% | 26.50% | 27.31% | 32.73% | 1.83% | 16.91% | 20.22% | 25.72% |
| Xian | 4.19% | 16.52% | 40.15% | 33.90% | 3.85% | 14.88% | 26.83% | 39.59% |
| Harbin | 0.82% | 21.78% | 25.13% | 28.53% | 0.24% | 11.20% | 11.33% | 11.90% |
| Jinan | 1.50% | 7.72% | 12.51% | 13.00% | 1.41% | 7.79% | 11.47% | 13.57% |
| Kunming | 1.86% | 30.31% | 34.93% | 31.00% | 0.83% | 13.68% | 11.34% | 14.11% |
Publisher’s Note: MDPI stays neutral with regard to jurisdictional claims in published maps and institutional affiliations. |
© 2021 by the authors. Licensee MDPI, Basel, Switzerland. This article is an open access article distributed under the terms and conditions of the Creative Commons Attribution (CC BY) license (https://creativecommons.org/licenses/by/4.0/).
Share and Cite
Ma, D.; Guo, R.; Jing, Y.; Zheng, Y.; Zhao, Z.; Yang, J. Intra-Urban Scaling Properties Examined by Automatically Extracted City Hotspots from Street Data and Nighttime Light Imagery. Remote Sens. 2021, 13, 1322. https://doi.org/10.3390/rs13071322
Ma D, Guo R, Jing Y, Zheng Y, Zhao Z, Yang J. Intra-Urban Scaling Properties Examined by Automatically Extracted City Hotspots from Street Data and Nighttime Light Imagery. Remote Sensing. 2021; 13(7):1322. https://doi.org/10.3390/rs13071322
Chicago/Turabian StyleMa, Ding, Renzhong Guo, Ying Jing, Ye Zheng, Zhigang Zhao, and Jiahao Yang. 2021. "Intra-Urban Scaling Properties Examined by Automatically Extracted City Hotspots from Street Data and Nighttime Light Imagery" Remote Sensing 13, no. 7: 1322. https://doi.org/10.3390/rs13071322
APA StyleMa, D., Guo, R., Jing, Y., Zheng, Y., Zhao, Z., & Yang, J. (2021). Intra-Urban Scaling Properties Examined by Automatically Extracted City Hotspots from Street Data and Nighttime Light Imagery. Remote Sensing, 13(7), 1322. https://doi.org/10.3390/rs13071322

