Landslide Deformation Prediction Based on a GNSS Time Series Analysis and Recurrent Neural Network Model
Abstract
1. Introduction
2. GNSS Time Series Analysis
2.1. Landslide Evolution Analysis
2.2. Decomposition of Displacement Time Series
- 1.
- White Gaussian noises is added onto the lines of EEMD. The first IMF can be expressed as:where n is the number of decomposition, x is the original signal, is a fixed coefficient, is the noise, and E(·) is the decomposition operator.
- 2.
- The first residual, , is calculated:
- 3.
- For k = 2,3…, , the and the th residual can be calculated by:
- 4.
- The process is calculated until the last residual, R, does not have more than two extrema points; the original signal can be expressed as:
3. Attention Mechanism—LSTM Foresting Framework
3.1. LSTM
3.2. Attention Mechanism
3.3. Attention Mechanism—LSTM Model
3.4. Prediction Process with the Proposed Model
3.5. Evaluation of Model Accuracy
4. Experiment and Results
4.1. Study Area
4.2. GNSS Time Series Analysis
4.3. Displacement Prediction
4.3.1. Trend Displacement Prediction
4.3.2. Periodic Displacement Prediction
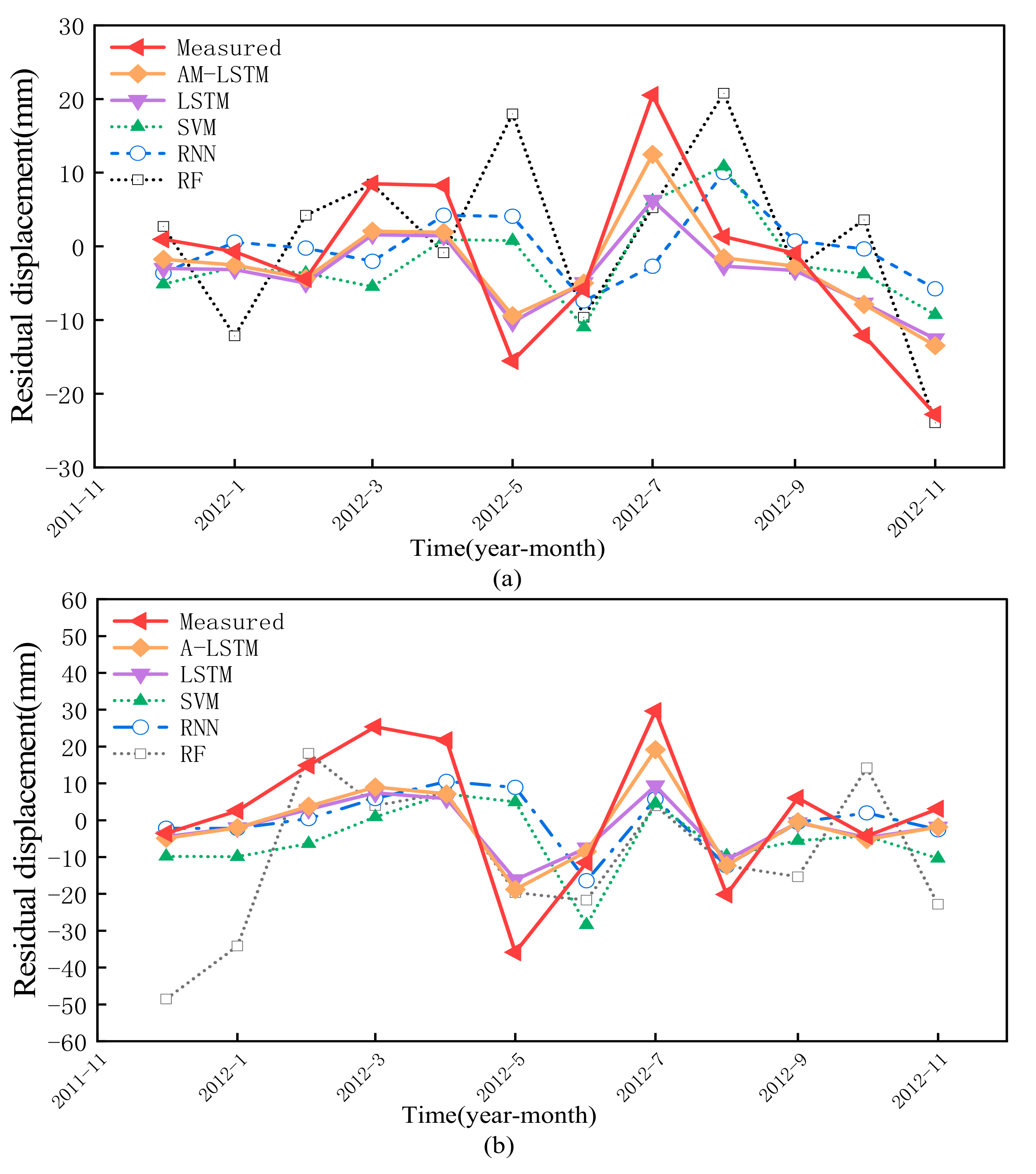
4.3.3. Residual Displacement Prediction
4.3.4. Total Displacement Prediction
5. Conclusions
Author Contributions
Funding
Institutional Review Board Statement
Informed Consent Statement
Data Availability Statement
Acknowledgments
Conflicts of Interest
References
- Petley, D. Global patterns of loss of life from landslides. Geology 2012, 40, 927–930. [Google Scholar] [CrossRef]
- Bejar-Pizarro, M.; Notti, D.; Mateos, R.M.; Ezquerro, P.; Centolanza, G.; Herrera, G.; Bru, G.; Sanabria, M.; Solari, L.; Duro, J.; et al. Mapping Vulnerable Urban Areas Affected by Slow-Moving Landslides Using Sentinel-1 InSAR Data. Remote Sens. 2017, 9, 876. [Google Scholar] [CrossRef]
- Dai, F.C.; Lee, C.F.; Ngai, Y.Y. Landslide risk assessment and management: An overview. Eng. Geol. 2002, 64, 65–87. [Google Scholar] [CrossRef]
- Intrieri, E.; Gigli, G.; Casagli, N.; Nadim, F. Brief communication “Landslide Early Warning System: Toolbox and general concepts”. Nat. Hazard. Earth Syst. 2013, 13, 85–90. [Google Scholar] [CrossRef]
- Corominas, J.; Moya, J.; Ledesma, A.; Lloret, A.; Gili, J.A. Prediction of ground displacements and velocities from groundwater level changes at the Vallcebre landslide (Eastern Pyrenees, Spain). Landslides 2005, 2, 83–96. [Google Scholar] [CrossRef]
- Huang, F.; Huang, J.; Jiang, S.; Zhou, C. Landslide displacement prediction based on multivariate chaotic model and extreme learning machine. Eng. Geol. 2017, 218, 173–186. [Google Scholar] [CrossRef]
- Casagli, N.; Catani, F.; Del Ventisette, C.; Luzi, G. Monitoring, prediction, and early warning using ground-based radar interferometry. Landslides 2010, 7, 291–301. [Google Scholar] [CrossRef]
- Ren, F.; Wu, X.; Zhang, K.; Niu, R. Application of wavelet analysis and a particle swarm-optimized support vector machine to predict the displacement of the Shuping landslide in the Three Gorges, China. Environ. Earth Sci. 2015, 73, 4791–4804. [Google Scholar] [CrossRef]
- Huang, J.; Griffiths, D.V. Return Mapping Algorithms and Stress Predictors for Failure Analysis in Geomechanics. J. Eng. Mech. 2009, 135, 276–284. [Google Scholar] [CrossRef]
- Mufundirwa, A.; Fujii, Y.; Kodama, J. A new practical method for prediction of geomechanical failure-time. Int. J. Rock Mech. Min. 2010, 47, 1079–1090. [Google Scholar] [CrossRef]
- Saito, M. Forecasting the Time of Occurrence of a Slope Failure. In Proceedings of the 6th International Conference on Soil Mechanics and Foundation Engineering, Montreal, QC, Canada, 8–15 September 1965; Volume 2, pp. 537–541. [Google Scholar]
- Saito, M. Forecasting time of slope failure by tertiary creep. In Proceedings of the 7th International Conference on Soil Mechanics and Foundation Engineering, Mexico City, Mexico, 13–16 July 1969; Volume 2, pp. 677–683. [Google Scholar]
- Hoek, E.; Bray, J. Rock Slope Engineering, Revised 2nd ed.; Publication of Institution of Mining & Metallurgy: London, UK, 1977. [Google Scholar]
- Mohammadi, S.; Taiebat, H. Finite element simulation of an excavation-triggered landslide using large deformation theory. Eng. Geol. 2016, 205, 62–72. [Google Scholar] [CrossRef]
- Thiebes, B.; Bell, R.; Glade, T.; Jäger, S.; Mayer, J.; Anderson, M.; Holcombe, L. Integration of a limit-equilibrium model into a landslide early warning system. Landslides 2014, 11, 859–875. [Google Scholar] [CrossRef]
- Ma, J.; Tang, H.; Liu, X.; Hu, X.; Sun, M.; Song, Y. Establishment of a deformation forecasting model for a step-like landslide based on decision tree C5.0 and two-step cluster algorithms: A case study in the Three Gorges Reservoir area, China. Landslides 2017, 14, 1275–1281. [Google Scholar] [CrossRef]
- Zhou, C.; Yin, K.; Cao, Y.; Intrieri, E.; Ahmed, B.; Catani, F. Displacement prediction of step-like landslide by applying a novel kernel extreme learning machine method. Landslides 2018, 15, 2211–2225. [Google Scholar] [CrossRef]
- Zhu, X.; Xu, Q.; Tang, M.; Li, H.; Liu, F. A hybrid machine learning and computing model for forecasting displacement of multifactor-induced landslides. Neural Comput. Appl. 2018, 30, 3825–3835. [Google Scholar] [CrossRef]
- Graves, A.; Mohamed, A.R.; Hinton, G. Speech Recognition with Deep Recurrent Neural Networks. In Proceedings of the 2013 IEEE International Conference on Acoustics, Speech and Signal Processing, Vancouver, BC, Canada, 26–31 May 2013; pp. 6645–6649. [Google Scholar]
- Lipton, Z.C.; Berkowitz, J.; Elkan, C. A Critical Review of Recurrent Neural Networks for Sequence Learning. arXiv 2015, arXiv:1506.00019. [Google Scholar]
- Schmidhuber, J. Deep learning in neural networks: An overview. Neural Netw. 2015, 61, 85–117. [Google Scholar] [CrossRef]
- Mirikitani, D.T.; Nikolaev, N. Recursive Bayesian Recurrent Neural Networks for Time-Series Modeling. IEEE Trans. Neural Netw. 2010, 21, 262–274. [Google Scholar] [CrossRef] [PubMed]
- Hochreiter, S.; Schmidhuber, J. Long Short-Term Memory. Neural Comput. 1997, 9, 1735–1780. [Google Scholar] [CrossRef]
- Greff, K.; Srivastava, R.K.; Koutnik, J.; Steunebrink, B.R.; Schmidhuber, J. LSTM: A Search Space Odyssey. IEEE Trans. Neural Netw. Learn. Syst. 2017, 28, 2222–2232. [Google Scholar] [CrossRef]
- Gers, F.A.; Schmidhuber, J.; Cummins, F. Learning to Forget: Continual Prediction with LSTM. Neural Comput. 2000, 12, 2451–2471. [Google Scholar] [CrossRef]
- Graves, A. Supervised Sequence Labelling with Recurrent Neural Networks. Available online: https://doi.org/10.1007/978-3-642-24797-2 (accessed on 1 February 2012).
- Xie, P.; Zhou, A.; Chai, B. The Application of Long Short-Term Memory (LSTM) Method on Displacement Prediction of Multifactor-Induced Landslides. IEEE Access 2019, 7, 54305–54311. [Google Scholar] [CrossRef]
- Xing, Y.; Yue, J.; Chen, C. Interval Estimation of Landslide Displacement Prediction Based on Time Series Decomposition and Long Short-Term Memory Network. IEEE Access 2020, 8, 3187–3196. [Google Scholar] [CrossRef]
- Xing, Y.; Yue, J.; Chen, C.; Cong, K.; Zhu, S.; Bian, Y. Dynamic Displacement Forecasting of Dashuitian Landslide in China Using Variational Mode Decomposition and Stack Long Short-Term Memory Network. Appl. Sci. 2019, 9, 2951. [Google Scholar] [CrossRef]
- Yang, B.; Yin, K.; Lacasse, S.; Liu, Z. Time series analysis and long short-term memory neural network to predict landslide displacement. Landslides 2019, 16, 677–694. [Google Scholar] [CrossRef]
- Parikh, A.; Täckström, O.; Das, D.; Uszkoreit, J. A Decomposable Attention Model for Natural Language Inference. arXiv 2016, arXiv:1606.01933. [Google Scholar]
- Bahdanau, D.; Cho, K.; Bengio, Y. Neural Machine Translation by Jointly Learning to Align and Translate. arXiv 2014, arXiv:1409.0473. [Google Scholar]
- Luong, M.; Pham, H.; Manning, C. Effective Approaches to Attention-based Neural Machine Translation. arXiv 2015, arXiv:1508.04025. [Google Scholar]
- Fu, Q.; Li, S.; Wang, X. MSCNN-AM: A Multi-Scale Convolutional Neural Network with Attention Mechanisms for Retinal Vessel Segmentation. IEEE Access 2020, 8, 163926–163936. [Google Scholar] [CrossRef]
- Li, F.; Gui, Z.; Zhang, Z.; Peng, D.; Tian, S.; Yuan, K.; Sun, Y.; Wu, H.; Gong, J.; Lei, Y. A hierarchical temporal attention-based LSTM encoder-decoder model for individual mobility prediction. Neurocomputing 2020, 403, 153–166. [Google Scholar] [CrossRef]
- Ding, Y.; Zhu, Y.; Feng, J.; Zhang, P.; Cheng, Z. Interpretable spatio-temporal attention LSTM model for flood forecasting. Neurocomputing 2020, 403, 348–359. [Google Scholar] [CrossRef]
- Desai, C.S.; Samtani, N.C.; Vulliet, L. Constitutive modeling and analysis of creeping slopes. J. Geotech. Eng. 1995, 121, 43–56. [Google Scholar] [CrossRef]
- Zhou, C.; Yin, K.; Cao, Y.; Ahmed, B. Application of time series analysis and PSO–SVM model in predicting the Bazimen landslide in the Three Gorges Reservoir, China. Eng. Geol. 2016, 204, 108–120. [Google Scholar] [CrossRef]
- Li, Y.; Sun, R.; Yin, K.; Xu, Y.; Chai, B.; Xiao, L. Forecasting of landslide displacements using a chaos theory based wavelet analysis-Volterra filter model. Sci. Rep. 2019, 9, 1–9. [Google Scholar] [CrossRef] [PubMed]
- Guo, Z.; Chen, L.; Gui, L.; Du, J.; Yin, K.; Do, H.M. Landslide displacement prediction based on variational mode decomposition and WA-GWO-BP model. Landslides 2020, 17, 567–583. [Google Scholar] [CrossRef]
- Xu, S.; Niu, R. Displacement prediction of Baijiabao landslide based on empirical mode decomposition and long short-term memory neural network in Three Gorges area, China. Comput. Geosci. 2018, 111, 87–96. [Google Scholar] [CrossRef]
- Huang, N.E.; Shen, Z.; Long, S.R.; Wu, M.C.; Shih, H.H.; Zheng, Q.; Yen, N.; Tung, C.C.; Liu, H.H. The empirical mode decomposition and the Hilbert spectrum for nonlinear and non-stationary time series analysis. Proc. R. Soc. A Math. Phys. Eng. Sci. 1998, 454, 903–995. [Google Scholar] [CrossRef]
- Torres, M.E.; Colominas, M.A.; Schlotthauer, G.; Flandrin, P. A complete ensemble empirical mode decomposition with adaptive noise. In Proceedings of the 2011 IEEE International Conference on Acoustics, Speech and Signal Processing (ICASSP), Honolulu, HI, USA, 16–20 April 2011; pp. 4144–4147. [Google Scholar]
- Colominas, M.A.; Schlotthauer, G.; Torres, M.E. Improved complete ensemble EMD: A suitable tool for biomedical signal processing. Biomed. Signal Proces. 2014, 14, 19–29. [Google Scholar] [CrossRef]
- Zhang, W.; Qu, Z.; Zhang, K.; Mao, W.; Ma, Y.; Fan, X. A combined model based on CEEMDAN and modified flower pollination algorithm for wind speed forecasting. Energy Convers. Manag. 2017, 136, 439–451. [Google Scholar] [CrossRef]
- Han, J.; van der Baan, M. Empirical mode decomposition for seismic time-frequency analysis. Geophysics 2013, 78, O9–O19. [Google Scholar] [CrossRef]
- Raffel, C.; Ellis, D.P.W. Feed-Forward Networks with Attention Can Solve Some Long-Term Memory Problems. arXiv 2015, arXiv:1512.08756. [Google Scholar]













| Model | RMSE | MAE | R2 | |||
|---|---|---|---|---|---|---|
| ZG118 | XD01 | ZG118 | XD01 | ZG118 | XD01 | |
| AMLSTM | 2.6152 | 2.1254 | 1.6785 | 1.7849 | 0.9925 | 0.9981 | 
| LSTM | 1.6773 | 3.5006 | 1.4072 | 2.2426 | 0.9969 | 0.9949 | 
| RNN | 5.6158 | 4.8276 | 4.5776 | 4.4758 | 0.9655 | 0.9904 | 
| SVM | 23.3985 | 23.7356 | 22.6717 | 23.5418 | 0.4018 | 0.7678 | 
| RF | 1.4897 | 2.6540 | 1.3317 | 2.3943 | 0.9976 | 0.9971 | 
| Model | RMSE | MAE | R2 | |||
|---|---|---|---|---|---|---|
| ZG118 | XD01 | ZG118 | XD01 | ZG118 | XD01 | |
| AMLSTM | 8.3714 | 6.1623 | 5.6456 | 4.5016 | 0.9404 | 0.9933 | 
| LSTM | 10.9127 | 12.8428 | 8.5083 | 10.1266 | 0.8987 | 0.9711 | 
| RNN | 16.1422 | 18.9561 | 14.5892 | 16.7908 | 0.7784 | 0.9371 | 
| SVM | 15.4854 | 24.2245 | 14.236 | 20.2412 | 0.796 | 0.8972 | 
| RF | 25.6368 | 22.3304 | 22.0298 | 18.298 | 0.441 | 0.9126 | 
| Model | RMSE | MAE | R2 | |||
|---|---|---|---|---|---|---|
| ZG118 | XD01 | ZG118 | XD01 | ZG118 | XD01 | |
| AMLSTM | 5.1002 | 9.8401 | 4.2185 | 8.2213 | 0.7897 | 0.7132 | 
| LSTM | 6.4204 | 11.9279 | 5.1768 | 9.7219 | 0.6667 | 0.5785 | 
| RNN | 11.5546 | 17.0916 | 9.0241 | 12.5840 | −0.0796 | 0.1346 | 
| SVM | 9.7371 | 19.2705 | 8.2718 | 16.4355 | 0.2333 | −0.1001 | 
| RF | 13.8302 | 23.4540 | 10.1748 | 20.5233 | −0.5467 | −0.6296 | 
| Model | RMSE | MAE | R2 | |||
|---|---|---|---|---|---|---|
| ZG118 | XD01 | ZG118 | XD01 | ZG118 | XD01 | |
| AMLSTM | 8.5514 | 10.249 | 6.5395 | 8.0242 | 0.9748 | 0.9918 | 
| LSTM | 11.7059 | 18.8873 | 7.8044 | 13.3813 | 0.9528 | 0.9723 | 
| RNN | 20.4623 | 21.4569 | 17.6515 | 16.3575 | 0.8556 | 0.9634 | 
| SVM | 29.1695 | 41.3469 | 25.6171 | 33.3799 | 0.7066 | 0.8673 | 
| RF | 28.5883 | 32.0225 | 23.5398 | 26.5033 | 0.7182 | 0.9204 | 
| Publisher’s Note: MDPI stays neutral with regard to jurisdictional claims in published maps and institutional affiliations. | 
© 2021 by the authors. Licensee MDPI, Basel, Switzerland. This article is an open access article distributed under the terms and conditions of the Creative Commons Attribution (CC BY) license (http://creativecommons.org/licenses/by/4.0/).
Share and Cite
Wang, J.; Nie, G.; Gao, S.; Wu, S.; Li, H.; Ren, X. Landslide Deformation Prediction Based on a GNSS Time Series Analysis and Recurrent Neural Network Model. Remote Sens. 2021, 13, 1055. https://doi.org/10.3390/rs13061055
Wang J, Nie G, Gao S, Wu S, Li H, Ren X. Landslide Deformation Prediction Based on a GNSS Time Series Analysis and Recurrent Neural Network Model. Remote Sensing. 2021; 13(6):1055. https://doi.org/10.3390/rs13061055
Chicago/Turabian StyleWang, Jing, Guigen Nie, Shengjun Gao, Shuguang Wu, Haiyang Li, and Xiaobing Ren. 2021. "Landslide Deformation Prediction Based on a GNSS Time Series Analysis and Recurrent Neural Network Model" Remote Sensing 13, no. 6: 1055. https://doi.org/10.3390/rs13061055
APA StyleWang, J., Nie, G., Gao, S., Wu, S., Li, H., & Ren, X. (2021). Landslide Deformation Prediction Based on a GNSS Time Series Analysis and Recurrent Neural Network Model. Remote Sensing, 13(6), 1055. https://doi.org/10.3390/rs13061055
 
         
                                                

 
                         
       