Climatic Constraints to Monthly Vegetation Dynamics in Desert Areas Over the Silk Road Economic Belt
Abstract
1. Introduction
2. Materials and Methods
2.1. Study Region
2.2. Datasets
2.3. Data Analysis
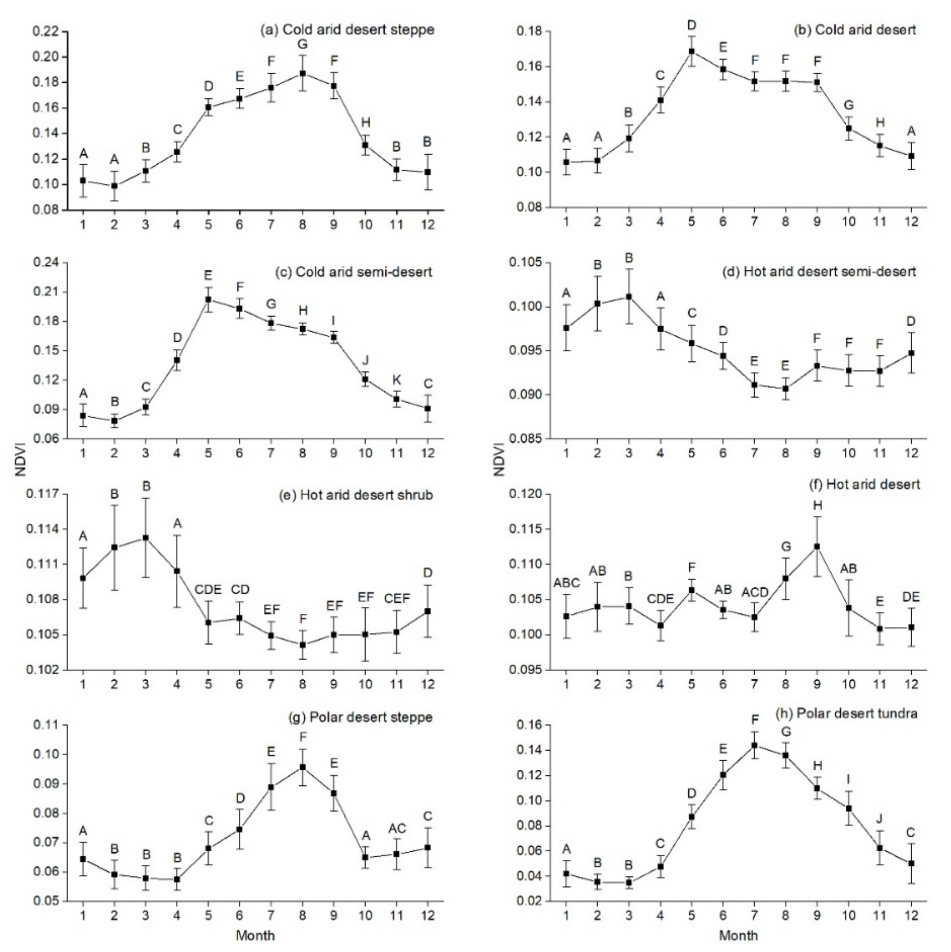
3. Results
3.1. Seasonal Variation of NDVI and Climatic Factors
3.2. Time Effects of Climatic Factors on NDVI
3.3. Constraint of NDVI by Climatic Factors
4. Discussion
4.1. Heterogeneous Vegetation Dynamics in Desert Areas
4.2. Asymmetric Vegetation Response to Climate Conditions
4.3. Remarkable Climatic Constraints to Vegetation Growth
5. Conclusions
Author Contributions
Funding
Institutional Review Board Statement
Informed Consent Statement
Data Availability Statement
Conflicts of Interest
References
- Wu, D.D.; Xie, X.H.; Tong, J.X.; Meng, S.S.; Wang, Y.B. Sensitivity of vegetation growth to precipitation in a typical afforestation area in the Loess Plateau: Plant-Water Coupled Modelling. Ecol. Model. 2020, 430, 109128. [Google Scholar] [CrossRef]
- Marchin, R.M.; McHugh, I.; Simpson, R.R.; Ingram, L.J.; Balas, D.S.; Evans, B.J.; Adams, M.A. Productivity of an Australian mountain grassland is limited by temperature and dryness despite long growing seasons. Agric. For. Meteorol. 2018, 256, 116–124. [Google Scholar] [CrossRef]
- Han, J.Y.; Zhang, L.M.; Li, S.G.; Wen, X.F.; Li, Q.K.; Wang, H.M. Effects of sky conditions on net ecosystem productivity of a subtropical coniferous plantation vary from half-hourly to daily timescales. Sci. Total Environ. 2019, 651, 3002–3014. [Google Scholar] [CrossRef]
- Churkina, G.; Running, S.W. Contrasting climatic controls on the estimated productivity of global terrestrial biomes. Ecosystems 1998, 1, 206–215. [Google Scholar] [CrossRef]
- Nemani, R.R.; Keeling, C.D.; Hashimoto, H.; Jolly, W.M.; Piper, S.C.; Tucker, C.J.; Myneni, R.B.; Running, S.W. Climate-driven increases in global terrestrial net primary production from 1982 to 1999. Science 2003, 300, 1560–1563. [Google Scholar] [CrossRef] [PubMed]
- Seddon, A.W.R.; Macias-Fauria, M.; Long, P.R.; Benz, D.; Willis, K.J. Sensitivity of global terrestrial ecosystems to climate variability. Nature 2016, 531, 229–232. [Google Scholar] [CrossRef]
- Harsch, M.A.; HilleRisLambers, J. Climate warming and seasonal precipitation change interact to limit species distribution shifts across western North America. PLoS ONE 2016, 11, e0159184. [Google Scholar] [CrossRef]
- Potter, C.; Klooster, S.; de Carvalho, C.R.; Genovese, V.B.; Torregrosa, A.; Dungan, J.; Bobo, M.; Coughlan, J. Modeling seasonal and interannual variability in ecosystem carbon cycling for the Brazilian Amazon region. J. Geophys. Res. 2001, 106, 10423–10446. [Google Scholar] [CrossRef]
- Li, P.Y.; Qian, H.; Howard, K.W.F.; Wu, J.H. Building a new and sustainable “Silk Road economic belt”. Environ. Earth Sci. 2015, 74, 7267–7270. [Google Scholar] [CrossRef]
- Shi, K.F.; Yu, B.L.; Huang, C.; Wu, J.P.; Sun, X.F. Exploring spatiotemporal patterns of electric power consumption in countries along the Belt and Road. Energy 2018, 150, 847–859. [Google Scholar] [CrossRef]
- Siegfried, T.; Bernauer, T.; Guiennet, R.; Sellars, S.; Robertson, A.W.; Mankin, J.; Bauer-Gottwein, P.; Yakovlev, A. Will climate change exacerbate water stress in Central Asia? Clim. Chang. 2012, 112, 881–899. [Google Scholar] [CrossRef]
- Hou, W.; Gao, J.; Wu, S.; Dai, E. Interannual variations in growing-season NDVI and its correlation with climate variables in the southwestern karst region of China. Remote Sens. 2015, 7, 11105–11124. [Google Scholar] [CrossRef]
- Wen, Z.F.; Wu, S.J.; Chen, J.L.; Lü, M.Q. NDVI indicated long-term interannual changes in vegetation activities and their responses to climatic and anthropogenic factors in the Three Gorges Reservoir Region, China. Sci. Total Environ. 2017, 574, 947–959. [Google Scholar] [CrossRef]
- Qi, X.Z.; Jia, J.H.; Liu, H.Y.; Lin, Z.S. Relative importance of climate change and human activities for vegetation changes on China’s silk road economic belt over multiple timescales. Catena 2019, 180, 224–237. [Google Scholar] [CrossRef]
- Ma, Y.J.; Shi, F.Z.; Hu, X.; Li, X.Y. Threshold vegetation greenness under water balance in different desert areas over the Silk Road Economic Belt. Remote Sens. 2020, 12, 2452. [Google Scholar] [CrossRef]
- Lioubimtseva, E.; Henebry, G.M. Climate and environmental change in arid Central Asia: Impacts, vulnerability, and adaptations. J. Arid Environ. 2009, 73, 963–977. [Google Scholar] [CrossRef]
- Sorg, A.; Bolch, T.; Stoffel, M.; Solomina, O.; Beniston, M. Climate change impacts on glaciers and runoff in Tien Shan (Central Asia). Nat. Clim. Chang. 2012, 2, 725–731. [Google Scholar] [CrossRef]
- Han, T.T.; Chen, H.P.; Hao, X.; Wang, H.J. Projected changes in temperature and precipitation extremes over the Silk Road Economic Belt regions by the Coupled Model Intercomparison Project Phase 5 multi-model ensembles. Int. J. Climatol. 2018, 38, 4077–4091. [Google Scholar] [CrossRef]
- Hu, Z.Y.; Zhou, Q.M.; Chen, X.; Qian, C.; Wang, S.S.; Li, J.F. Variations and changes of annual precipitation in Central Asia over the last century. Int. J. Climatol. 2017, 37, 157–170. [Google Scholar] [CrossRef]
- Haag, I.; Jones, P.D.; Samimi, C. Central Asia’s changing climate: How temperature and precipitation have changed across time, space, and altitude. Climate 2019, 7, 123. [Google Scholar] [CrossRef]
- Xin, J.Y.; Gong, C.S.; Wang, S.G.; Wang, Y.S. Aerosol direct radiative forcing in desert and semi-desert regions of northwestern China. Atmos. Res. 2016, 171, 56–65. [Google Scholar] [CrossRef]
- De Beurs, K.M.; Henebry, G.M.; Owsley, B.C.; Sokolik, I. Using multiple remote sensing perspectives to identify and attribute land surface dynamics in Central Asia 2001–2013. Remote Sens. Environ. 2015, 170, 48–61. [Google Scholar] [CrossRef]
- Wu, D.H.; Zhao, X.; Liang, S.L.; Zhou, T.; Huang, K.C.; Tang, B.J.; Zhao, W.Q. Time-lag effects of global vegetation responses to climate change. Glob. Chang. Biol. 2015, 21, 3520–3531. [Google Scholar] [CrossRef] [PubMed]
- Vicente-Serrano, S.M.; Gouveia, C.; Camarero, J.J.; Beguería, S.; Trigo, R.; López-Moreno, J.I.; Azorín-Molina, C.; Pasho, E.; Lorenzo-Lacruz, J.; Revuelto, J.; et al. Response of vegetation to drought time-scales across global land biomes. Proc. Natl. Acad. Sci. USA 2013, 110, 52–57. [Google Scholar] [CrossRef] [PubMed]
- Ding, Y.X.; Li, Z.; Peng, S.Z. Global analysis of time-lag and -accumulation effects of climate on vegetation growth. Int. J. Appl. Earth Obs. 2020, 92, 102179. [Google Scholar] [CrossRef]
- Wen, Y.Y.; Liu, X.P.; Yang, J.; Lin, K.; Du, G.M. NDVI indicated inter-seasonal non-uniform time-lag responses of terrestrial vegetation growth to daily maximum and minimum temperature. Glob. Planet. Chang. 2019, 177, 27–38. [Google Scholar] [CrossRef]
- Bunting, E.L.; Munson, S.M.; Villarreal, M.L. Climate legacy and lag effects on dryland plant communities in the southwestern U.S. Ecol. Indic. 2017, 74, 216–229. [Google Scholar] [CrossRef]
- Hua, L.; Wang, H.D.; Sui, H.G.; Wardlow, B.; Hayes, M.J.; Wang, J.X. Mapping the spatial-temporal dynamics of vegetation response lag to drought in a semi-arid region. Remote Sens. 2019, 11, 1873. [Google Scholar] [CrossRef]
- Kong, D.X.; Miao, C.Y.; Wu, J.W.; Zheng, H.Y.; Wu, S.L. Time lag of vegetation growth on the Loess Plateau in response to climate factors: Estimation, distribution, and influence. Sci. Total Environ. 2020, 744, 140726. [Google Scholar] [CrossRef] [PubMed]
- Zhao, A.Z.; Yu, Q.Y.; Feng, L.L.; Zhang, A.B.; Pei, T. Evaluating the cumulative and time-lag effects of drought on grassland vegetation: A case study in the Chinese Loess Plateau. J. Environ. Manag. 2020, 261, 110214. [Google Scholar] [CrossRef]
- Zhao, J.; Huang, S.Z.; Huang, Q.; Wang, H.; Leng, G.Y.; Fang, W. Time-lagged response of vegetation dynamics to climatic and teleconnection factors. Catena 2020, 189, 104474. [Google Scholar] [CrossRef]
- Tucker, C.J.; Pinzon, J.E.; Brown, M.E.; Slayback, D.A.; Pak, E.W.; Mahoney, R.; Vermote, E.F.; El Saleous, N. An extended AVHRR 8-km NDVI dataset compatible with MODIS and SPOT vegetation NDVI data. Int. J. Remote Sens. 2005, 26, 4485–4498. [Google Scholar] [CrossRef]
- Alcaraz-Segura, D.; Chuvieco, E.; Epstein, H.E.; Kasischke, E.S.; Trishchenko, A. Debating the greening vs. browning of the North American boreal forest: Differences between satellite datasets. Glob. Chang. Biol. 2010, 16, 760–770. [Google Scholar] [CrossRef]
- Guay, K.C.; Beck, P.S.A.; Berner, L.T.; Goetz, S.J.; Baccini, A.; Buermann, W. Vegetation productivity patterns at high northern latitudes: A multi-sensor satellite data assessment. Glob. Chang. Biol. 2014, 20, 3147–3158. [Google Scholar] [CrossRef]
- Betts, A.K.; Chan, D.Z.; Desjardins, R.L. Near-surface biases in ERA5 over the Canadian prairies. Front. Environ. Sci. 2019, 7, 129. [Google Scholar] [CrossRef]
- Miralles, D.G.; Holmes, T.R.H.; de Jeu, R.A.M.; Gash, J.H.; Meesters, A.G.C.A.; Dolman, A.J. Global land-surface evaporation estimated from satellite-based observations. Hydrol. Earth Syst. Sci. 2011, 15, 453–469. [Google Scholar] [CrossRef]
- Martens, B.; Miralles, D.G.; Lievens, H.; van der Schalie, R.; de Jeu, R.A.M.; Fernández-Prieto, D.; Beck, H.E.; Dorigo, W.A.; Verhoest, N.E.C. GLEAM v3: Satellite-based land evaporation and root-zone soil moisture. Geosci. Model Dev. 2017, 10, 1903–1925. [Google Scholar] [CrossRef]
- Rundquist, B.C.; Harrington, J.A. The effects of climatic factors on vegetation dynamics of tallgrass and shortgrass cover. GeoCarto Int. 2000, 15, 33–38. [Google Scholar] [CrossRef]
- Anderson, L.O.; Malhi, Y.; Aragão, L.E.O.C.; Ladle, R.; Arai, E.; Barbier, N.; Phillips, O. Remote sensing detection of droughts in Amazonian forest canopies. New Phytol. 2010, 187, 733–750. [Google Scholar] [CrossRef] [PubMed]
- El-Ghani, M.M.A. Phenology of ten common plant species in western Saudi Arabia. J. Arid Environ. 1997, 35, 673–683. [Google Scholar] [CrossRef]
- Schmidt, H.; Karnieli, A. Remote sensing of the seasonal variability of vegetation in a semi-arid environment. J. Arid Environ. 2000, 45, 43–59. [Google Scholar] [CrossRef]
- Ye, W.T.; van Dijk, A.I.J.M.; Huete, A.; Yebra, M. Global trends in vegetation seasonality in the GIMMS NDVI3g and their robustness. Int. J. Appl. Earth Obs. 2021, 94, 102238. [Google Scholar] [CrossRef]
- Bao, G.; Chen, J.Q.; Chopping, M.; Bao, Y.H.; Bayarsaikhan, S.; Dorjsuren, A.; Tuya, A.; Jirigala, B.; Qin, Z.H. Dynamics of net primary productivity on the Mongolian Plateau: Joint regulations of phenology and drought. Int. J. Appl. Earth Obs. 2019, 81, 85–97. [Google Scholar] [CrossRef]
- Che, M.L.; Chen, B.Z.; Innes, J.L.; Wang, G.Y.; Dou, X.M.; Zhou, T.M.; Zhang, H.F.; Yan, J.W.; Xu, G.; Zhao, H.W. Spatial and temporal variations in the end date of the vegetation growing season throughout the Qinghai-Tibetan Plateau from 1982 to 2011. Agric. For. Meteorol. 2014, 189, 81–90. [Google Scholar] [CrossRef]
- Gessner, U.; Naeimi, V.; Klein, I.; Kuenzer, C.; Klein, D.; Dech, S. The relationship between precipitation anomalies and satellite-derived vegetation activity in Central Asia. Glob. Planet. Chang. 2013, 110, 74–87. [Google Scholar] [CrossRef]
- Chen, Z.F.; Wang, W.G.; Fu, J.Y. Vegetation response to precipitation anomalies under different climatic and biogeographical conditions in China. Sci. Rep. 2020, 10, 830. [Google Scholar] [CrossRef]
- Nagler, P.L.; Glenn, E.P.; Kim, H.; Emmerich, W.; Scott, R.L.; Huxman, T.E.; Huete, A.R. Relationship between evapotranspiration and precipitation pulses in a semiarid rangeland estimated by moisture flux towers and MODIS vegetation indices. J. Arid Environ. 2007, 70, 443–462. [Google Scholar] [CrossRef]
- Wen, Y.Y.; Liu, X.P.; Pei, F.S.; Li, X.; Du, G.M. Non-uniform time-lag effects of terrestrial vegetation responses to asymmetric warming. Agric. For. Meteorol. 2018, 252, 130–143. [Google Scholar] [CrossRef]
- Naithani, K.J.; Ewers, B.E.; Pendall, E. Sap flux-scaled transpiration and stomatal conductance response to soil and atmospheric drought in a semi-arid sagebrush ecosystem. J. Hydrol. 2012, 464, 176–185. [Google Scholar] [CrossRef]
- Li, Z.; Chen, Y.N.; Zhang, Q.F.; Li, Y. Spatial patterns of vegetation carbon sinks and sources under water constraint in Central Asia. J. Hydrol. 2020, 590, 125355. [Google Scholar] [CrossRef]
- Cui, Y.X.; Fang, L.C.; Guo, X.B.; Han, F.; Ju, W.L.; Ye, L.P.; Wang, X.; Tan, W.F.; Zhang, X.C. Natural grassland as the optimal pattern of vegetation restoration in arid and semi-arid regions: Evidence from nutrient limitation of soil microbes. Sci. Total Environ. 2019, 648, 388–397. [Google Scholar] [CrossRef] [PubMed]
- Baeza, K.; Lopez-Hoffman, L.; Glenn, E.P.; Flessa, K.; Garcia-Hernandez, J. Salinity limits of vegetation in Cienega de Santa Clara, an oligotrophic marsh in the delta of the Colorado River, Mexico: Implications for an increase in salinity. Ecol. Eng. 2013, 59, 157–166. [Google Scholar] [CrossRef]
- Marasco, A.; Iuorio, A.; Cartenì, F.; Bonanomi, G.; Giannino, F.; Mazzoleni, S. Water limitation and negative plant-soil feedback explain vegetation patterns along rainfall gradient. Procedia Environ. Sci. 2013, 19, 139–147. [Google Scholar] [CrossRef][Green Version]










| Desert Area Type | Areas (104 km2) | Altitude (m) | MAT (°C) | MAP (mm) |
|---|---|---|---|---|
| Cold arid desert steppe | 68.06 | 3–3097 | 3.44 | 240.21 |
| Cold arid desert | 245.55 | 1–4616 | 11.64 | 169.39 |
| Cold arid semi-desert | 237.55 | 1–5116 | 6.69 | 220.96 |
| Hot arid desert semi-desert | 100.18 | 8–2373 | 25.35 | 86.76 |
| Hot arid desert shrub | 185.51 | 2–1421 | 25.08 | 66.70 |
| Hot arid desert | 228.63 | 1–2709 | 22.26 | 83.62 |
| Polar desert steppe | 37.49 | 1870–6102 | −7.80 | 406.04 |
| Polar desert tundra | 12.17 | 1968–5154 | −6.27 | 615.76 |
| Desert Area Type | Without Considering Time Effect | Considering Time Effect |
|---|---|---|
| Cold arid desert steppe | NDVI = 0.976 × TEM0,0 − 0.243 × SR0,0 + 0.175 × PRE0,0 (R2 =0.817 **) | NDVI = −0.024 × TEM0,1 + 0.657 × SR0,2 + 0.329 × PRE0,1 (R2 = 0.862 **) |
| Cold arid desert | NDVI = 0.484 × TEM0,0 + 0.440 × SR0,0 + 0.053 × PRE0,0 (R2 = 0.820 **) | NDVI = −0.489 × TEM0,0 + 1.302 × SR0,1 + 0.152 × PRE2,3 (R2 = 0.841 **) |
| Cold arid semi-desert | NDVI = 0.493 × TEM0,0 + 0.447 × SR0,0 + 0.012 × PRE0,0 (R2 = 0.866 **) | NDVI = −0.801 × TEM0,0 + 1.668 × SR0,1 + 0.121 × PRE0,2 (R2 = 0.900 **) |
| Hot arid desert semi-desert | NDVI = −1.438 × TEM0,0 + 1.117 × SR0,0 + 0.023 × PRE0,0 (R2 = 0.581 **) | NDVI = 0.835 × TEM1,1 − 1.544 × SR2,1 + 0.132 × PRE0,3 (R2 = 0.718 **) |
| Hot arid desert shrub | NDVI = −1.359 × TEM0,0 + 1.063 × SR0,0 + 0.112 × PRE0,0 (R2 = 0.543 **) | NDVI = 0.756 × TEM1,1 − 1.387 × SR2,1 + 0.167 × PRE0,3 (R2 = 0.630 **) |
| Hot arid desert | NDVI = 0.602 × TEM0,0 − 0.248 × SR0,0 + 0.032 × PRE0,0 (R2 = 0.150 **) | NDVI = 0.419 × TEM0,1 + 0.007 × SR0,3 + 0.335 × PRE1,1 (R2 = 0.251 **) |
| Polar desert steppe | NDVI = 0.985 × TEM0,0 − 0.325 × SR0,0 + 0.079 × PRE0,0 (R2 = 0.571 **) | NDVI = 0.165 × TEM0,1 + 0.236 × SR0,2 + 0.437 × PRE1,0 (R2 = 0.663 **) |
| Polar desert tundra | NDVI = 0.130 × TEM0,0 + 0.865 × SR0,0 − 0.117 × PRE0,0 (R2 = 0.863 **) | NDVI = 0.082 × TEM0,1 + 0.837 × SR0,1 + 0.033 × PRE0,3 (R2 = 0.889 **) |
Publisher’s Note: MDPI stays neutral with regard to jurisdictional claims in published maps and institutional affiliations. |
© 2021 by the authors. Licensee MDPI, Basel, Switzerland. This article is an open access article distributed under the terms and conditions of the Creative Commons Attribution (CC BY) license (http://creativecommons.org/licenses/by/4.0/).
Share and Cite
Ma, Y.-J.; Shi, F.-Z.; Hu, X.; Li, X.-Y. Climatic Constraints to Monthly Vegetation Dynamics in Desert Areas Over the Silk Road Economic Belt. Remote Sens. 2021, 13, 995. https://doi.org/10.3390/rs13050995
Ma Y-J, Shi F-Z, Hu X, Li X-Y. Climatic Constraints to Monthly Vegetation Dynamics in Desert Areas Over the Silk Road Economic Belt. Remote Sensing. 2021; 13(5):995. https://doi.org/10.3390/rs13050995
Chicago/Turabian StyleMa, Yu-Jun, Fang-Zhong Shi, Xia Hu, and Xiao-Yan Li. 2021. "Climatic Constraints to Monthly Vegetation Dynamics in Desert Areas Over the Silk Road Economic Belt" Remote Sensing 13, no. 5: 995. https://doi.org/10.3390/rs13050995
APA StyleMa, Y.-J., Shi, F.-Z., Hu, X., & Li, X.-Y. (2021). Climatic Constraints to Monthly Vegetation Dynamics in Desert Areas Over the Silk Road Economic Belt. Remote Sensing, 13(5), 995. https://doi.org/10.3390/rs13050995

