Next Article in Journal
Historic and Simulated Desert-Oasis Ecotone Changes in the Arid Tarim River Basin, China
Previous Article in Journal
A Hybrid Deep Learning-Based Spatiotemporal Fusion Method for Combining Satellite Images with Different Resolutions
 
 
Font Type:
Arial Georgia Verdana
Font Size:
Aa Aa Aa
Line Spacing:
Column Width:
Background:
Communication

The Unique Role of the Jason Geodetic Missions for high Resolution Gravity Field and Mean Sea Surface Modelling

by
Ole Baltazar Andersen
1,
Shengjun Zhang
2,*,
David T. Sandwell
3,
Gérald Dibarboure
4,
Walter H. F. Smith
5 and
Adili Abulaitijiang
1
1
DTU Space, Technical University of Denmark, 2800 Lyngby, Denmark
2
School of Resources and Civil Engineering, Northeastern University, Shenyang 110819, China
3
Institute of Geophysics and Planetary Physics, Scripps Institute of Oceanography, University of California San Diego, La Jolla, CA 92093, USA
4
CNES, Av. Edouard Belin, 31401 Toulouse, France
5
NOAA, 5830 University Research Court, College Park, MD 20740, USA
*
Author to whom correspondence should be addressed.
Remote Sens. 2021, 13(4), 646; https://doi.org/10.3390/rs13040646
Submission received: 30 December 2020 / Revised: 2 February 2021 / Accepted: 5 February 2021 / Published: 11 February 2021
(This article belongs to the Section Satellite Missions for Earth and Planetary Exploration)

Abstract

The resolutions of current global altimetric gravity models and mean sea surface models are around 12 km wavelength resolving 6 km features, and for many years it has been difficult to improve the resolution further in a systematic way. For both Jason 1 and 2, a Geodetic Mission (GM) has been carried out as a part of the Extension-of-Life phase. The GM for Jason-1 lasted 406 days. The GM for Jason-2 was planned to provide ground-tracks with a systematic spacing of 4 km after 2 years and potentially 2 km after 4 years. Unfortunately, the satellite ceased operation in October 2019 after 2 years of Geodetic Mission but still provided a fantastic dataset for high resolution gravity recovery. We highlight the improvement to the gravity field which has been derived from the 2 years GM. When an Extension-of-Life phase is conducted, the satellite instruments will be old. Particularly Jason-2 suffered from several safe-holds and instrument outages during the GM. This leads to systematic gaps in the data-coverage and degrades the quality of the derived gravity field. For the first time, the Jason-2 GM was “rewound” to mitigate the effect of the outages, and we evaluate the effect of “mission rewind” on gravity. With the recent successful launch of Sentinel-6 Michael Freilich (S6-MF, formerly Jason CS), we investigate the possibility creating an altimetric dataset with 2 km track spacing as this would lead to fundamental increase in the spatial resolution of global altimetric gravity fields. We investigate the effect of bisecting the ground-tracks of existing GM to create a mesh with twice the resolution rather than starting all over with a new GM. The idea explores the unique opportunity to inject Jason-3 GM into the same orbital plane as used for Jason-2 GM but bisecting the existing Jason-2 tracks. This way, the already 2-years Jason-2 GM could be used to create a 2 km grid after only 2 years of Jason-3 GM, rather than starting all over with a new GM for Jason-3.

1. Introduction

A number of satellite altimeters have performed a “geodetic mission” (GM) during their lifetime (i.e., Geosat, ERS-1, Cryosat-2, Jason1/2 and Saral/AltiKa). The GM is basically a Long Repeat Orbit (LRO) where the orbital pattern is designed for mainly geodetic purposes. This means that the spatial sampling it optimized to map short wavelength in the geoid or gravity field at the price of no or long temporal sampling. Typically, the GM consist of one or more repeated or interleaved LRO (Cryosat-2 has repeated LRO, Jason-2 interleaved LRO). For geodetic purposes, the smallest possible cross-track resolution is the ultimate goal in order to map the finest scales in the gravity field as the cross-track distance governs the gravity signal which can be resolved. As an example, 8 km resolution requires a little more than 1 year GM, and 4 km resolution requires a little more than 2 years of sea surface height (SSH) observations at Jason orbital altitude.
Exact repeat missions (ERM) are primarily designed for oceanographic purposes to map oceanographic signals optimally. This requires frequent temporal sampling at the price of coarse spatial sampling. As an example, the Jason-1 ERM sampled the ocean every 9.9156 days at 314 km across-track spatial sampling. Subsequently, the satellite was moved into a LRO mission with 7.5-km across-track spatial sampling but with a temporal sampling of 406 days.
The GM and ERM missions mutually support each other in the sense that the GM drives the mapping of the fine structures in the Mean Sea Surface (MSS) model, which are applied to derive accurate sea level anomalies for the ERM. ERM are important to derive long-term mean for the MSS [1]. With more satellites flying in recent years, ERM are also becoming increasingly important in determining ocean variability, which in-turn can be used to correct the GM data [2]. In the following we focus on the improvement on high resolution gravity as we can directly evaluate these using marine gravity observations, but the investigations are equally important to the determination of Mea sea surfaces.
When the Jason satellites have served their main commitment to oceanographic science and ensured the tandem mission obligations with future missions in the same orbit and the satellites are getting toward the end of their lifetime, an Extension of Life (EoL) mission is considered. During the EoL mission, the old satellite is moved away from the nominal orbit located at 1336 km altitude. Moving the satellite away from the nominal orbit prevents a collision of the satellite with active and future missions that must fly in a prescribed orbital tube to achieve multi-decadal measurement along the tracks that were initiated by TOPEX in 1992. Through orbital maneuvers, the satellite is lowered or raised a number of kilometers into the EoL orbit which eventually will become the graveyard orbit for the satellite.
During their EoL missions, Long Repeat Orbits (LRO) were selected for both Jason-1 and Jason-2, where for each the repeat was longer than 1 year. Contingent on the remaining lifetime of the satellites, the LRO could be interleaved to create a GM with very high spatial resolution in a systematic and controlled way.
Resolution of current global altimetric gravity models is around 12 km wavelength resolving 6 km [3,4], partly limited by the 8-km groundtrack spacing of previous GM (Geosat, ERS-1, Cryosat-2). The Jason-2 is unique in this way, as it is the first GM mission planned so that the ground-track distances could be systematically bisected beyond 8 km to provide 4 km at 2 years and 2 km after 4 years. The ongoing SARAL/AltiKa mission provides the most accurate sea level observations [5], but the SARAL GM is un-controlled, making it more difficult to resolve the short wavelengths in the gravity field in a systematic way.
During the EoL both Jason-1 and Jason-2 have suffered from a number of safe-holds causing one or more of the instruments onboard the satellite to be shut-off. This is typically due to ageing of the instrument onboard the satellite or due to collision avoidance. Most noticeable is the last safe-hold of Jason-2 causing the instrument to be shut-off for around 100 days.
The errors in the derived altimetric marine gravity grids originate in omission and commission errors [6]. The omission errors will be dominated by the spatial distribution of the data. Lack of data, related to duration and safe-holds, will increase this error. The commission errors are largely related to measurement errors such as the range precision, the retracker and oceanographic noise, but also errors due to an imperfect gridding process. In this paper, we mainly study the omission error on the gravity field modelling due to the spatial distribution of data.
We have investigated altimetric marine gravity fields from the Jason-1 and Jason-2 Long Repeat Orbits or Geodetic Missions in order to demonstrate the value of designing these EoL missions with multiple LRO cycles interleaved to gather the best spatial coverage. Safe-holds will ultimately lead to a degradation of the derived gravity field, and we quantify the impact of these using observations from sub-cycles of Jason-1 and Jason-2. As an example, we derived gravity from the two 378-days LRO cycles of Jason-2 and the two 178-days sub-cycle of Jason-1 as these (sub-) cycles were affected differently by safe-holds. Such analysis is important to guide future EoL missions (most profoundly the EoL for Jason-3) and their strategies to remedy the effect of future safe-holds.

2. Geodetic Mission Orbit Choice for Jason-1 and 2

Jason-1 was launched in 2002. When it had served its main commitment to oceanographic science and ensured the tandem mission obligations towards Jason-2 an EoL mission was researched and initiated in 2012 [7]. During the EoL for Jason-1, the satellite was put into a LRO with a 406-day cycle with a ground track resolution of 7.5 km serving geodetic purposes [4]. The Jason-1 GM lasted from 7 May 2012 until 21 June 2013 when the mission was terminated due to instrument failure. Fortunately, Jason-1 collected exactly one full GM cycle of 406 days before the mission was terminated shortly after, when the orbit became the graveyard orbit for Jason-1.
When designing the LRO for both Jason-1 and Jason-2, a number of simulations were performed [8,9], and a number of orbit choices were investigated prior to the selection of the final orbit. The simulations are performed to optimize the usefulness of the LRO for both geodesy and oceanography by designing the orbit with a number of sub-cycles of varying length. During each sub-cycle, a near-regular ground track pattern is measured. This pattern automatically shifts longitudinally for each following sub-cycle. The choice and duration of the sub-cycles are normally governed by their utility for oceanographic purposes, but also with consideration of their value to geodesy in the event that the GM terminates early due to satellite failure. These considerations are important for the subsequent gravity field modelling in two ways. First, they ensure that safe-holds will result in outages scattered evenly throughout the globe. Second, they enable the possibility of rewinding the LRO by one or more sub-cycles in case of longer safe-holds. This proved particularly important for the final cycle of Jason-2. The final choice of orbits and sub-cycles for Jason-1 and 2 LRO are shown in Table 1.
Upon designing the EoL of Jason-2, one could argue to inject Jason-2 in another 406 days LRO interleaved with the Jason-1 GM in a similar orbit to speed up geodetic sampling and get a 4 km sampling by combining the 406 days of Jason-1 and 2. Unfortunately, such interleaved geodetic mission would require Jason-2 EoL to use exactly the same orbital altitude of Jason-1 GM, which is impossible due to collision risks. Consequently, another EoL orbit at another altitude had to be selected. Such orbit provided irregular sampling with the Jason-1 GM where the tracks were on nearly identical locations in some regions but perfectly interleaved in other regions. These so-called moiré patterns appear when two grids of different resolution are superimposed [8].
The consequence of this is that Jason-2 was planned to perform its own dedicated multiyear geodetic mission gradually filling up the globe with denser and denser ground tracks through multiple cycles of interleaved LRO.
Through a number of simulations following the work by [8,9], a LRO orbit for Jason-2 with clear advantages to both geodetic and oceanographic research was selected with the following highlights:
  • It had a 17-day sub-cycle that was good for mesoscale monitoring because it blends well with the 10-day cycle of Jason-3 and generated overlap events with Jason-3 that were well distributed at all time scales.
  • If Jason-2 EoL was terminated after one of the 145-days sub-cycles (half a repeat), it would still provide a coarser but globally homogeneous dataset for geodetic users.
  • It had a 4-day sub-cycle that was favorable for sea-state applications (e.g., assimilation in operational wave models) and that blends well with Jason-3′s 3.9-day sub-cycle.
On 11 July 2017 Jason-2 had completed its injection into its geodetic orbit and began measuring the first cycle of the LRO. This had a 371-day repeat period at an altitude of 1309 km (27 km lower than the nominal TOPEX altitude). This resulted in an across track distance of around 8.5 km at the Equator.
On 18 July 2018, Jason-2 successfully completed the first LRO cycle, and operations started to move the satellite into its new groundtrack in-between the ground tracks of the first LRO cycle. This entailed a shift of the ground track of a little more than 4 km, which was completed on the 25 July, where the second LRO cycle was initiated.
In theory, the second LRO cycle should be completed by 31 July 2019 resulting in a systematic groundtrack distance of a little more than 4 km. Unfortunately, Jason-2 only managed to perform 350 days of the planned 371 days of the second LRO before the mission was terminated on 8 October 2019. The final geophysical data were measured on 3 October 2019.

Safe-Holds

When the EOLs of the Jason satellites were initiated, both satellites were around 10 years old and ageing, and during the LRO both satellites encountered safe-holds to safeguard the instrument and to extend the mission as long as possible. These are shown in Table 2.
During the LRO, Jason-1 completed one sub-cycle of 179 days without safe-hold but suffered one safe-hold of 18 days during the second sub-cycle. For Jason-2, the story is more dramatic. Both LRO cycles suffered from several safe-holds lasting a total of more than 30 days. The last and most severe safe-hold lasted 100 days from 16 February 2019 until 24 May 2019. The second LRO cycle should, in theory have be completed by 31 July 2019, but the partnership between NOAA, NASA and CNES agreed to conduct an orbital maneuver and “rewind“ the mission by 79 days to recover the missing geodetic observations. Rewinding the mission to recover gaps is possible because the LRO orbit is designed with multiple interleaved sub-cycles and a relatively cheap maneuver (in terms of fuel) can “rewind” the mission by a sub-cycle (e.g., 17, 79 or 145 days). It is, in theory, possible to rewind the mission by any amount of days, but at significant increased fuel cost, and this is normally avoided. By rewinding the mission by 79 days the resulting gap in data collection due to the safe-hold was limited to 21 days. In theory, the second LRO should have been completed on 21 October 2019. Unfortunately, the instruments ceased working just 20 days before this date.

3. Jason Altimetry and Marine Gravity

To aid in the design of future GM, we have investigated a number of different subsets of Jason data. First of all, we studied the importance of establishing a GM with multiple LRO cycles interleaved to gather the best spatial coverage and hereby lowering the cross-track distance as much as possible in a controlled way. Here we compared gravity from the first 178-days sub-cycle of Jason-1 (cross track distance 17 km) with gravity from the first cycle of Jason-2 (cross track distance of 8.5 km) and gravity derived from the full 406 days GM (cross track distance = 7.5 km) and finally gravity derived from the full 2 × 371 days GM of Jason-2 (cross track distance of 4.25 km). Figure 1 illustrates the altimetric data in a subset close to Bermuda in the Northwest Atlantic Ocean.
Safe-holds have shown to have a significant impact on the quality of the derived gravity field. In order to quantify the impact of these, we compared gravity computations using observations from the two 371-days cycles of Jason-2 and the two 178-days sub-cycle of Jason-1 as these were affected differently by safe-holds. During the first 179-days sub-cycle of Jason-1, the mission only encountered normal accidental outages of around 10 tracks. During the second sub-cycle, the satellite encountered 18 days or 10% data-loss.
Jason-2 encountered two safe-holds during the first LRO cycle, losing data for 39 days or 11% data loss and 41 days safe-hold plus 20 days early failure, resulting in 17% data loss for the second LRO. The geographical distribution of the tracks is seen in Figure 1 below.

Marine Gravity Observations

A high-precision dataset with its assessed accuracy superior to ≈2 mGal was obtained through a cooperation with the (U.S.) National Geospatial-Intelligence Agency (NGA). Over 1.4 million marine gravity measurements are distributed within the northwest Atlantic Ocean bounded by (20–90°W, 20–55°N), and their observed marine gravity anomalies are shown in Figure 2. These marine gravity observations have previously been used in the derivation of the EGM2008 gravity model [10] and so were extensively edited for outliers by NGA. Due to their quality, quantity, and spatial coverage, these data furnish a unique opportunity for evaluation of the Jason altimetric free-air gravity field solutions in this region.

4. Geoid Slope and Gravity Anomalies Evaluation

The Sensor Geophysical Data Record (SGDR) altimeter data products including 20 Hz waveforms are obtained from the Archiving, Validation and Interpretation of Satellite Oceanographic (AVISO) data service. In order to compare geoid slopes and gravity field from various combinations of Jason-1 and Jason-2, we initially ensured that the differences we are seeing are not due to different commission errors related to the instrument onboard the two satellites. This investigation is documented in Appendix A.
Gravity anomalies can be derived from altimetric sea surface height observations by isolating the geoid height [11] or from the geoid slopes [12]. In this investigation, we decided to derive the gravity anomalies using the geoid slopes.
The first step is to retrack the raw SGDR waveforms from Jason-1 and Jason-2 altimeter missions using a two-pass waveform retracker [4]. The second step is to low-pass filter and resample the 20-Hz retracked height into ≈5 Hz, to enhance the signal to noise. The third step is to correct the retracked height using state of the art geophysical and range corrections [13]. The fourth step is to perform outlier editing through comparing height and along-track slopes with the associated heights and along track slopes from EGM2008 as described by [14,15] and removing outliers larger than three times the local standard deviation (STD). The fifth step is to remove the slopes of the EGM2008 geoid and the slopes of the Mean Dynamic Topography (DOT_min1 × 1_EGM08) associated with the EGM2008 geoid) and to apply a low-pass filter in order to obtain along-track filtered sea surface height gradients.
At this stage, a global evaluation of the impact of the various combinations of the Jason subsets can be performed by comparing with the multi-mission global slope grid SS V28.1 [5]. The median absolute deviation of the along-track slopes with respect to the full model is a good indication of the un-modelled signal in the Jason subsets combined with the noise in the altimeter profiles [5]. The median absolute deviation of the along-track slope data with respect to the full (SS V28.1) slope grids is calculated and gridded within the latitudinal range of 66°N and 66°S. These are shown in Figure 3 which illustrates the oceanographic noise related to the major current systems and the residual geoid noise which is generally significantly smaller. As the Jason measurements accumulate with time, the RMS decreases from 2.8 μrad for sub-cycle 1 of Jason 1 to 2.4 μrad for Jason 2 cycle 1 to 2.25 μrad for J-2 full GM. For reference, 1 μrad of surface slope is 1 mm change in sea surface height per 1 km of horizontal distance.
Finally, the along-track sea surface slopes were turned into residual vertical deflections and then residual gravity anomalies. Subsequently, the marine gravity anomalies at 1′ × 1′ resolution were then computed by restoring the EGM2008 gravity field associated with the EGM2008 geoid model [10].
The derived marine gravity grids at 1′ × 1′ resolution were spline interpolated to the location of the marine gravity observations, and the standard deviations of the differences are shown in Table 3. This table also shows the standard deviation for shallow water regions close to the coast and for deep water regions. These were chosen as the Gulf-stream crosses the region following the edge of the continental shelf degrading comparisons at intermediate depth between 100 m and 1 km.
It is very clear how the length of the GM directly affects the accuracy with which gravity can be derived from the Jason observations. The shortest GM corresponding to the first 179-day cycle of J1 compares with STD of the differences at 5.36 mGal with marine gravity observations. Gravity from the first J2 371-day LRO compares at 4.83 mGal and the 406-day GM of Jason-1 compares at 4.66 mGal. Gravity from the full J2 GM corresponding to 721 days compares at 4.08 mGal. The latter is nearly 20% better than gravity from one 371-day LRO cycle of Jason-2. The two interleaved LRO cycles of Jason-2 were only efficiently operating for 640 days, as the Jason-2 GM suffered from nearly 100 days of safe-hold despite mission rewind. This indicates that the comparison could have been significant better had the two LRO cycles been completed.

4.1. Effect of Safe-Holds and Mmission Rrewind

Safe-holds degrade the various comparisons with marine gravity. Comparing the Jason-21st and 2nd LRO cycles which encountered 39 and 60 days (40 days safe-hold plus 20 days early mission termination) exhibit 4.83 vs. 4.92 mGal respectively. The numbers are also inferior to gravity derived from Jason-1 GM at 4.66 mGal. The Jason-1 GM lasted 30 days longer and had only 18 days of safe-holds. The impact is even larger for particularly coastal regions as also indicated in Table 3. Safe-hold degradation becomes more significant when comparing the Jason-1 first and second sub-cycle where the numbers are 5.36 and 5.53 mGal, respectively. The 18 days safe-hold for the second cycle but resulted in a degradation of roughly 5% overall, with degradation in coastal regions of more than 10% (from 5.25 to 5.95 mGal).
When the second sub-cycle of Jason-1 was completed, the satellite naturally transferred into a subsequent 3rd sub-cycle repeating the same ground track pattern along shifted tracks. The question arises if it would be better to design future GM to “rewind” the mission to remedy any significant safe-hold or to continue with the subsequent sub-cycle.
This was examined by adding data from the 3rd sub-cycle to the “safe-hold” affected 2nd sub-cycle of Jason-1. Adding 20 days or even 50 days only achieved an accuracy of 5.47 and 5.40 mGal, respectively. This is still inferior to the comparison from the first sub-cycle. It took 50 days (nearly 1/3 of a sub-cycle) to obtain nearly the same accuracy as could have been achieved by a “mission rewind”. Unfortunately Jason-1 ceased operating at this stage.
A possible “mission rewind” is even more important in the coastal zone. The 18 days safe-hold in the second sub-cycle of Jason-1 was seen to cause the degradation from 5.25 to 5.95 mGal. Adding 20 or 50 days of SSH from sub-cycle 3 only improves the comparison in the coastal zone to 5.82 and 5.77 mGal. This is somewhat expected, as shorter wavelengths will dominate more in the shallow coastal zone. This stresses the importance of seriously considering “rewinding missions” in case of significant safe-holds for future GM.

4.2. Effect of Bisecting Geodetic Missions

In case the graveyard orbit of Jason-2 could be used for a future Jason-3 LRO in a way that avoids collision risk, we explore the idea of moving Jason-3 into interleaved tracks with Jason-2 and bisecting the already 2-years or 4 km Jason-2 GM creating a 2 km grid after only 2 years of Jason-3 GM. This approach would re-use and build on the existing 2 years of Jason-2 GM rather than starting over with a new ground track pattern for the Jason-3 GM.
We created a grid from the first 371-day cycle for Jason-2 (having data for 332 days) and the first two 179-days sub-cycles of Jason-1 (totally 340 days) to directly compare the effect of a 2-years systematically densified GM versus two separate 1-year un-coordinated GM affected by the moiré patterns [8]. The investigation showed that the standard deviation increases from 4.08 mGal for the 2-year densified mission to 4.20 mGal for 2 years of un-coordinated GM. For coastal regions the numbers increase significantly more from 4.21 to 4.50 mGal. The difference might appear small, but it is important, and it should be noted that Jason-2 suffered from significant safe-hold problems during the second cycle. Hence, the gain from densifying an existing GM will be significantly larger than starting all over with a new GM in a different orbit.

5. Discussion and Recommendations

The GM carried out as the EoL mission for Jason-2 was the first systematic attempt to provide satellite ground-tracks with a systematic track distance of 4 km after 2 years (and planned 2 km after 4 years). The track distance is a limiting factor to the derived global altimetric gravity fields.
Starting out with data from the first 179-day cycle of J1 (track distance of 17 km), we found a standard deviation of 5.35 mGal with marine gravity observations. Gravity from the first 371-days LRO of Jason-2 (track distance of 8.5 km) compared at 4.83 mGal and the 406-day GM of Jason-1 compares at 4.66 mGal (track distance of 7.8 km). Gravity from the full Jason-2 GM corresponding to 742 days and a track density of 4.3 km clearly compared favorable at 4.08 mGal demonstrating the value of gradually decreasing the track-distance using multiple LRO for the GM. The result was obtained despite the fact that Jason-2 was only efficiently measuring for 642 days of the planned two LRO cycles lasting 742 days.
During its GM, Jason-2 suffered from significant safe-holds. The most noticeable was a 100-day safe-hold in early 2019. The partnership between NOAA, NASA and CNES agreed to conduct an orbital maneuver to “rewind” the mission by 79 days to recover the missing geodetic observations and limit the safe-hold gap to 21 days. This was the first time such was attempted for a geodetic mission and stresses the importance of an LRO orbit design having multiple interleaved sub-cycles.
Investigating the two 179-day sub-cycles of Jason-1 GM (one was nearly complete and one suffered 18 days or 10% data loss) showed that it is very important to consider recovering data from significant safe-holds for future GM mission rather than just continuing the GM into the next interleaved cycle. Rewinding the GM to recover mission tracks is particularly important as global marine gravity continues to increase in accuracy with more and more GM data becoming available and integrated with the Jason altimetry (e.g., from the uncontrolled GM of SARAL/AltiKa).
Considering minimizing the effect of significant safe-holds is equally important for Mean Sea Surface determination paramount to deriving accurate sea level anomalies. Here the GM data governs the accuracy of the fine scales of the MSS. This is particularly important for future high-resolution altimetric missions like the NASA/CNES Surface Water and Ocean topography (SWOT) to be launched in 2022.
With the successful launch of Sentinel-6/Michael Freilich (formerly Jason-CS) the Jacon-3 will soon be moved away from its primary tracks and alternate orbits will be chosen. In case collision risk between Jason-2 and Jason-3 (in the same Jason-2 graveyard orbit) could be assessed and found to be controlled, we explored the idea of moving Jason-3 into tracks interleaved with Jason-2 and bisecting the already 2-years or 4 km Jason-2 GM. This way, we could create a 2 km grid after only 2 years of GM. This would enable a global gravity field and more importantly a global MSS with unprecedented resolution in time for the SWOT mission. If technically possible, our findings strongly recommend reusing the Jason-2 LRO orbit with Jason-3 to bisect and densify the geodetic grid in a regular way as opposed to a new GM orbit where the grids will not be aligned and therefore will have Moiré patterns.

Author Contributions

Conceptualization, O.B.A. and G.D.; formal analysis, S.Z.; investigation, A.A.; methodology, D.T.S. and W.H.F.S.; software, S.Z.; Validation, S.Z., D.T.S. and A.A.; writing—original draft, O.B.A.; writing—review and editing, D.T.S., G.D. and W.H.F.S. All authors have read and agreed to the published version of the manuscript.

Funding

S.Z. was supported by the National Nature Science Foundation of China, grant number 41804002, by the State Scholarship Fund of China Scholarship Council, grant number 201906085024.

Informed Consent Statement

Not applicable.

Disclaimer

The manuscript contents are solely the opinions of the authors and do not constitute a statement of policy, decision, or position on behalf of NOAA or the U.S. Government.

Data Availability Statement

The altimeter data for the investigated region are available from data.dtu.dk under the open data source.

Acknowledgments

The authors are thankful to the space agencies for considering the Geodetic mission as part of the Extension of Life and for providing these data. We are also thankful to Jim Beale at the National Geospatial-intelligence Agency for sharing the marine gravity for this investigation. The Authors are thankful to the Ocean Surface Topography Science Team and its subgroup on Geoid, Mean Dynamic Topography and Mean Sea Surface for valuable discussions on the matter.

Conflicts of Interest

The authors declare no conflict of interest.

Appendix A

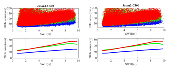
In order to compare results between Jason-1 and Jason-2, we must ensure that the differences in gravity field modelling are not due to different commission errors related to the instrument onboard the two satellites. We conducted a small investigation to establish that the range precision or noise level is comparable between the measurements from the two satellites. We first apply the two-pass waveform retracker proposed by [12] to enhance the range precision. Figure A1 shows estimates of noise level for Jason-1 (left) and Jason-2 (right) as a function of significant wave height for global sample tracks. For both Jason-1 and Jason-2, the range precision is improved from 68 mm before retracking to 42 mm after retracking for 2 m of significant wave height (SWH) shown as the red and blue curves in Figure A1 for individual points (dots in upper figures) and for the median over 0.5 m SWH bins (lines in lower figures).
Figure A1. Standard deviation of retracked height with respect to EGM2008 for Jason-1 and Jason-2 sample cycle. Upper figures statistics for individual points. Lower figures: medians over 0.5 m SWH intervals. (Red: height from sensor geophysical data record. Green: height from first step of two-pass retracking. Blue: height from second step of two-pass retracking).
Figure A1. Standard deviation of retracked height with respect to EGM2008 for Jason-1 and Jason-2 sample cycle. Upper figures statistics for individual points. Lower figures: medians over 0.5 m SWH intervals. (Red: height from sensor geophysical data record. Green: height from first step of two-pass retracking. Blue: height from second step of two-pass retracking).
Remotesensing 13 00646 g0a1

References

  1. Andersen, O.B.; Knudsen, P. The DNSC08 mean sea surface and mean dynamic topography. J. Geophys. Res. 2009, 114, C11. [Google Scholar] [CrossRef]
  2. Dufau, C.; Orstynowicz, M.; Dibarboure, G.; Morrow, R.; Le Traon, P.-Y. Mesoscale Resolution Capability of altimetry: Present & future. J. Geophys. Res. 2016, 121, 4910–4927. [Google Scholar]
  3. Andersen, O.B.; Knudsen, P.; Kenyon, S.; Factor, J.K.; Holmes, S. Global gravity field from recent satellites (DTU15)—Arctic improvements. First Break 2017, 35, 37–40. [Google Scholar] [CrossRef]
  4. Sandwell, D.; Müller, D.; Smith, W.; Garcia, E.; Francis, R. New global marine gravity model from CryoSat-2 and Jason-1 reveals buried tectonic structure. Science 2014, 346, 65–67. [Google Scholar] [CrossRef] [PubMed]
  5. Sandwell, D.; Harper, H.; Tozer, B.; Smith, W. Gravity field recovery from geodetic altimeter missions. Adv. Space Res. 2019, in press. [Google Scholar] [CrossRef]
  6. Pujol, M.-I.; Schaeffer, P.; Faugère, Y.; Raynal, M.; Dibarboure, G.; Picot, N. Gauging the improvement of recent mean sea surface models: A new approach for identifying and quantifying their errors. J. Geophys. Res. C 2018, 123, 5889–5911. [Google Scholar] [CrossRef]
  7. Bronner, E.; Dibarboure, G. Technical Note about the J1 Geodetic Mission. Available online: https://podaac-tools.jpl.nasa.gov/drive/files/allData/jason1/L2/docs/Technical_Note_J1_Geodetic_Mission.pdf (accessed on 9 February 2021).
  8. Dibarboure, G.; Schaeffer, P.; Escudier, P.; Pujol, M.I.; Legeais, J.F.; Faugère, Y.; Morrow, R.; Willis, J.K.; Lambin, J.; Berthias, J.P.; et al. Finding desirable orbit options for the “extension of life” phase of jason-1. Mar. Geod. 2012, 35, 363–399. [Google Scholar] [CrossRef]
  9. Dibarboure, G.; Morrow, R. Value of the Jason-1 geodetic phase to study rapid oceanic changes and importance for defining a Jason-2 geodetic orbit. J. Atmos. Ocean. Technol. 2016, 33, 1913–1930. [Google Scholar] [CrossRef]
  10. Pavlis, N.K.; Holmes, S.; Kenyon, S.; Factor, J.K. The development and evaluation of the Earth Gravitational Model 2008 (EGM2008). J. Geophys. Res. D 2012, 117, B4. [Google Scholar] [CrossRef]
  11. Andersen, O.B.; Knudsen, P. Global Marine Gravity Field from the ERS-1 and GEOSAT Geodetic Mission Altimetry. J. Geophys. Res. C 1998, 103, 8129–8137. [Google Scholar] [CrossRef]
  12. Sandwell, D.; Smith, W. Retracking ERS-1 altimeter waveforms for optimal gravity field recovery. Geophys. J. Int. 2005, 163, 79–89. [Google Scholar] [CrossRef]
  13. Andersen, O.B.; Scharroo, R. Range and geophysical corrections in coastal regions: And Implications for Mean Sea Surface Determination. In Coastal Altimetry; Vignudelli, S., Kostianoy, A., Cipollini, P., Benveniste, J., Eds.; Springer: Berlin/Heidelberg, Germany, 2011; ISBN 978-3-642-12795-3. [Google Scholar]
  14. Zhang, S.; Andersen, O.; Kong, X.; Li, H. Inversion and Validation of Improved Marine Gravity Field Recovery in South China Sea by Incorporating HY-2A Altimeter Waveform Data. Remote Sens. 2020, 12, 802. [Google Scholar] [CrossRef]
  15. Zhang, S.; Sandwell, D.; Jin, T.; Li, D. Inversion of Marine Gravity Anomalies over Southeastern China Seas from Multi-Satellite Altimeter Vertical Deflections. J. Appl. Geophys. 2017, 137, 128–137. [Google Scholar] [CrossRef]
Figure 1. Geographic distribution of Jason Geodetic Mission (GM) altimeter measurements for a section in the NW Atlantic Ocean close to Bermuda (in grey). Upper left: J1 sub-cycle 1. Upper right: Jason 1 sub-cycle 2. Center left: J2 LRO Cycle 1. Center right: Jason 2 LRO cycle 2. Lower left: J1 Entire GM. Lower right: Jason 2 Entire GM (Both LRO cycles).
Figure 1. Geographic distribution of Jason Geodetic Mission (GM) altimeter measurements for a section in the NW Atlantic Ocean close to Bermuda (in grey). Upper left: J1 sub-cycle 1. Upper right: Jason 1 sub-cycle 2. Center left: J2 LRO Cycle 1. Center right: Jason 2 LRO cycle 2. Lower left: J1 Entire GM. Lower right: Jason 2 Entire GM (Both LRO cycles).
Remotesensing 13 00646 g001
Figure 2. Geographic distribution and values of marine gravity measurements.
Figure 2. Geographic distribution and values of marine gravity measurements.
Remotesensing 13 00646 g002
Figure 3. Median absolute of along-track sea surface slope differences with respect to the SSV28.1 vertical deflection model derived from a multi-satellite altimeter dataset [5]. Upper left: J1 sub-cycle 1. Upper right: Jason 1 sub-cycle 2. Center left: J2 LRO Cycle 1. Center right: Jason 2 LRO cycle 2. Lower left: J1 Entire LRO. Lower right: Jason 2 Entire GM (Both LRO cycles).
Figure 3. Median absolute of along-track sea surface slope differences with respect to the SSV28.1 vertical deflection model derived from a multi-satellite altimeter dataset [5]. Upper left: J1 sub-cycle 1. Upper right: Jason 1 sub-cycle 2. Center left: J2 LRO Cycle 1. Center right: Jason 2 LRO cycle 2. Lower left: J1 Entire LRO. Lower right: Jason 2 Entire GM (Both LRO cycles).
Remotesensing 13 00646 g003
Table 1. Orbital characteristics of the Long Repeat Orbit (LRO) of Jason-1 and Jason-2 satellites.
Table 1. Orbital characteristics of the Long Repeat Orbit (LRO) of Jason-1 and Jason-2 satellites.
Jason-1Jason-2
Altitude1324 km1309 km
Period7 May 2012 until 21 June 201314th Sep 2017 until 1 October 2019
LRO cycle length406 days371 days
GM total length411 days371 + 350 days = 721 days
Sub cycles3.9, 10.9, 47.5, 179.5 days4, 17, 79, 145 days
Table 2. Safe-holds for Jason-1 and Jason-2 during the two LRO cycles. Courtesy of Christoph Marechal, CNES. * See explanation in the text on mission “rewind” maneuver to remedy the safe-hold.
Table 2. Safe-holds for Jason-1 and Jason-2 during the two LRO cycles. Courtesy of Christoph Marechal, CNES. * See explanation in the text on mission “rewind” maneuver to remedy the safe-hold.
SatelliteStart DateEnd DateDuration
Jason-128/02/201318/03/201318 days
Jason-2 Cycle 114/09/201713/10/201730 days
20/02/201802/03/20189 days
Jason-2 Cycle 219/10/201825/10/20186 days
26/12/201807/01/201914 days
16/02/201924/05/2019100 days (21 days *)
Table 3. Comparison with marine gravity data shown in Figure 2. The STD of the differences in mGal are shown for all depth and for shallow water (less than 50 m) and for deep water (greater than 2000 m).
Table 3. Comparison with marine gravity data shown in Figure 2. The STD of the differences in mGal are shown for all depth and for shallow water (less than 50 m) and for deep water (greater than 2000 m).
All DepthShallow
<50 m
Deep
>2000 m
No. of Observations1,409,700122,108900,969
J1 Sub-cycle 15.365.255.13
J1 Sub-cycle 25.535.955.37
J1 Full GM4.665.144.34
J2 LRO cycle 14.835.404.43
J2 LRO cycle 24.925.554.66
J2 Full GM4.084.213.72
Publisher’s Note: MDPI stays neutral with regard to jurisdictional claims in published maps and institutional affiliations.

Share and Cite

MDPI and ACS Style

Andersen, O.B.; Zhang, S.; Sandwell, D.T.; Dibarboure, G.; Smith, W.H.F.; Abulaitijiang, A. The Unique Role of the Jason Geodetic Missions for high Resolution Gravity Field and Mean Sea Surface Modelling. Remote Sens. 2021, 13, 646. https://doi.org/10.3390/rs13040646

AMA Style

Andersen OB, Zhang S, Sandwell DT, Dibarboure G, Smith WHF, Abulaitijiang A. The Unique Role of the Jason Geodetic Missions for high Resolution Gravity Field and Mean Sea Surface Modelling. Remote Sensing. 2021; 13(4):646. https://doi.org/10.3390/rs13040646

Chicago/Turabian Style

Andersen, Ole Baltazar, Shengjun Zhang, David T. Sandwell, Gérald Dibarboure, Walter H. F. Smith, and Adili Abulaitijiang. 2021. "The Unique Role of the Jason Geodetic Missions for high Resolution Gravity Field and Mean Sea Surface Modelling" Remote Sensing 13, no. 4: 646. https://doi.org/10.3390/rs13040646

APA Style

Andersen, O. B., Zhang, S., Sandwell, D. T., Dibarboure, G., Smith, W. H. F., & Abulaitijiang, A. (2021). The Unique Role of the Jason Geodetic Missions for high Resolution Gravity Field and Mean Sea Surface Modelling. Remote Sensing, 13(4), 646. https://doi.org/10.3390/rs13040646

Note that from the first issue of 2016, this journal uses article numbers instead of page numbers. See further details here.

Article Metrics

Back to TopTop