Impacts of the Microclimate of a Large Urban Park on Its Surrounding Built Environment in the Summertime
Abstract
:1. Introduction
2. Material and Methods
2.1. Study Area and Site Description
2.2. Data
2.2.1. Traverse Method for Air Temperature Measurement
2.2.2. Landscape Factors
2.2.3. Land Surface Temperature
2.2.4. Thermo-Physiologic Comfort Index
2.3. Data Analysis
3. Results
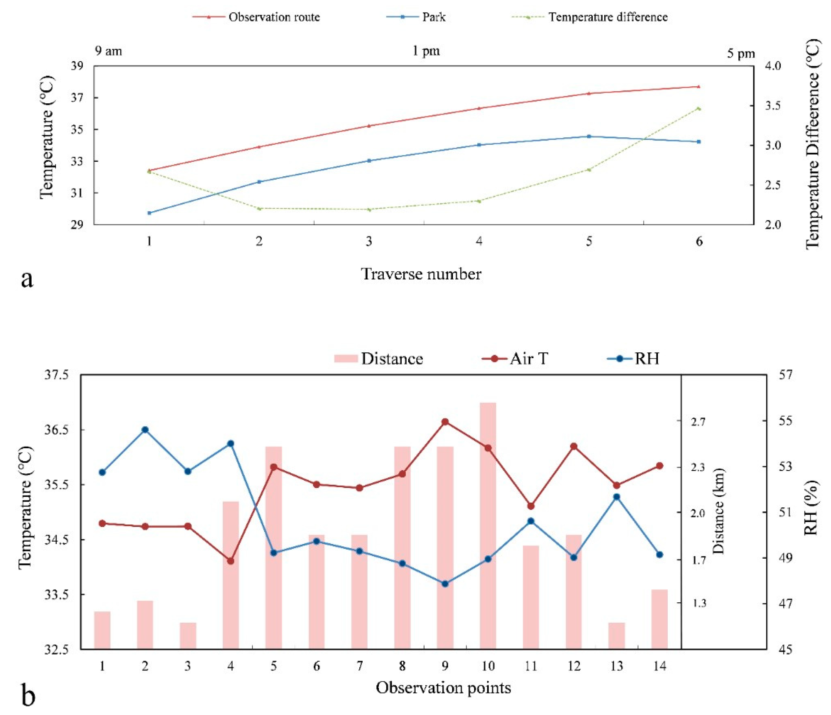
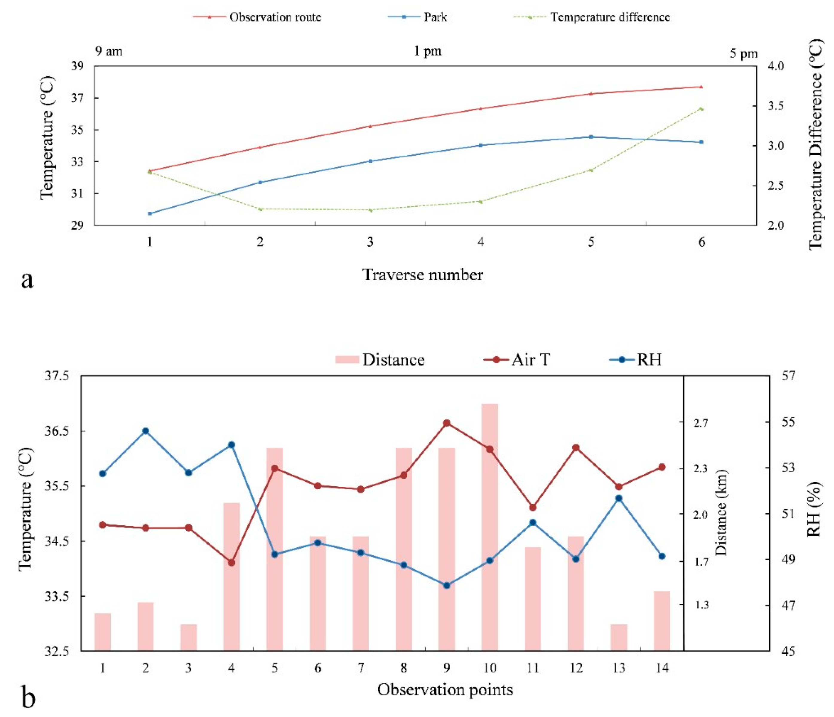
3.1. Air Temperature and Cooling Effect of the Park
3.2. Land Surface Temperature
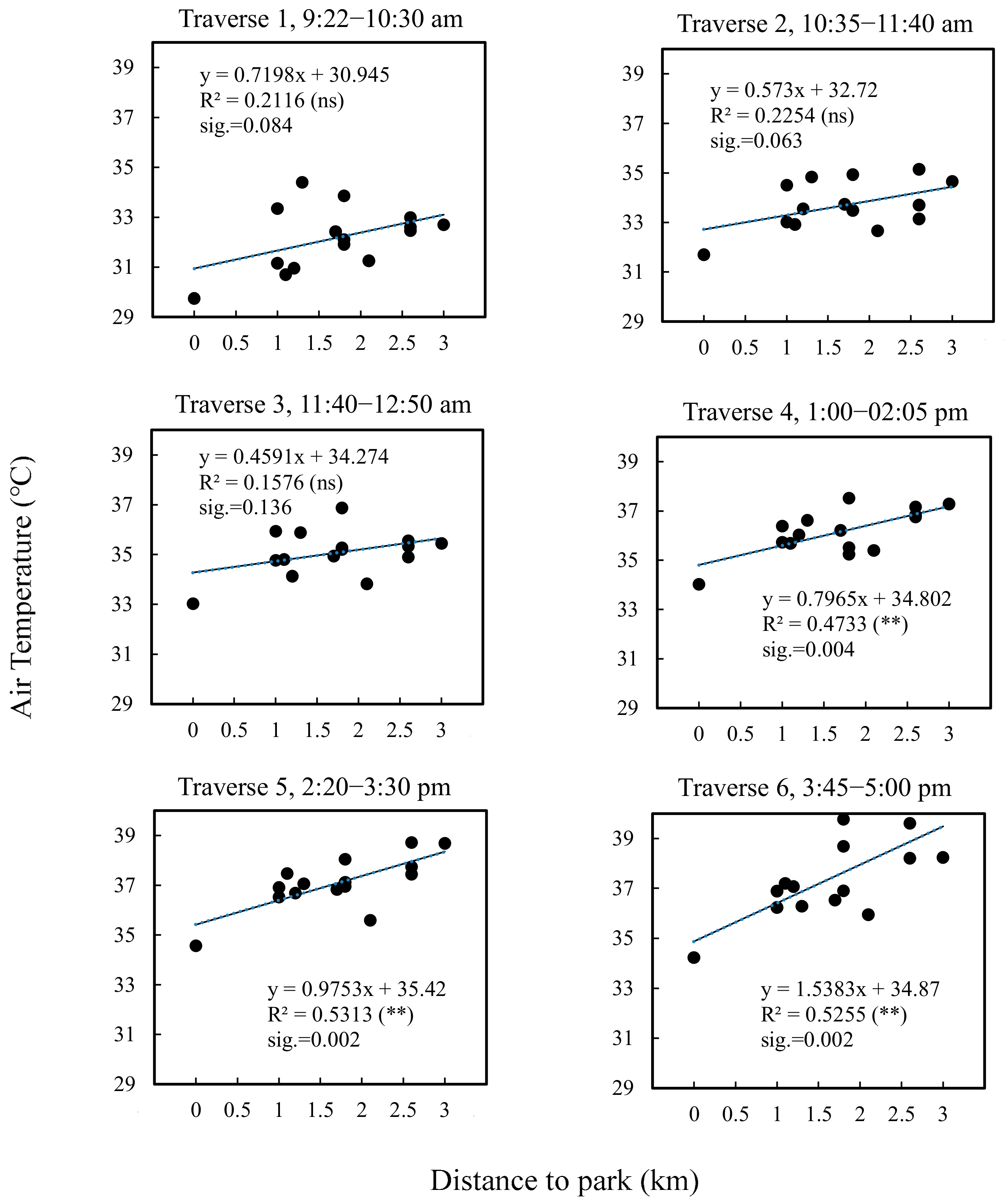
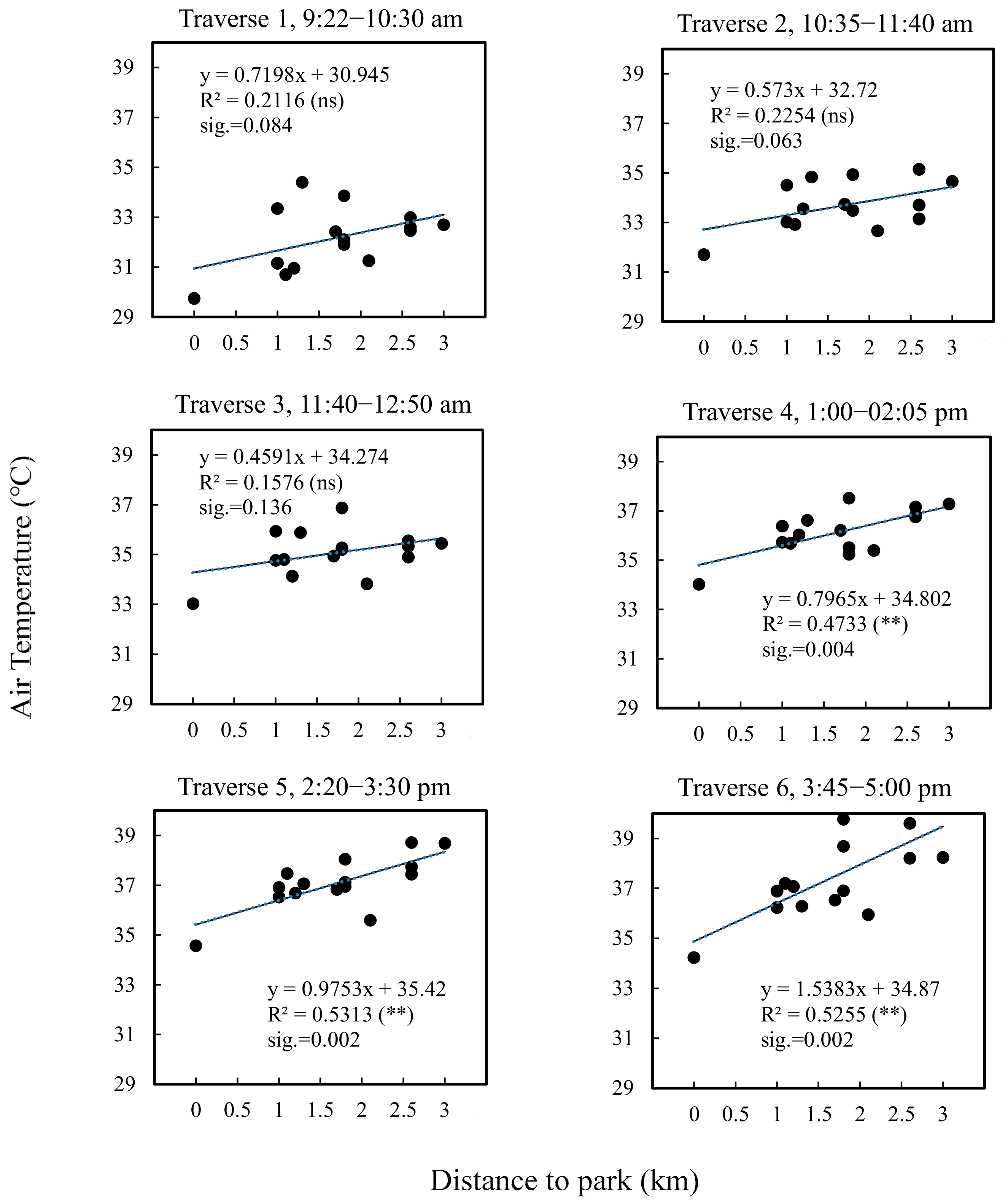
3.3. The Influence of Distance to Park
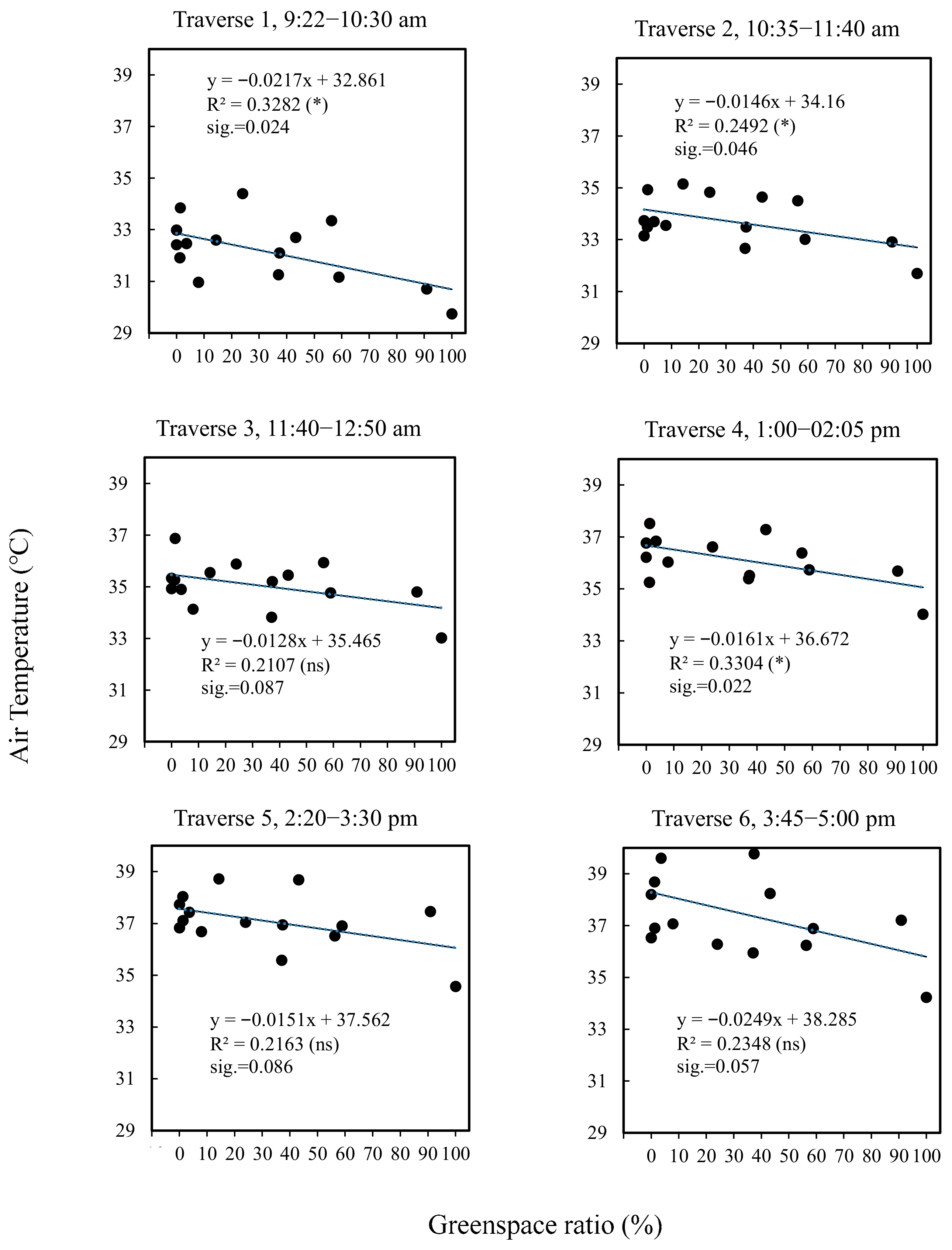
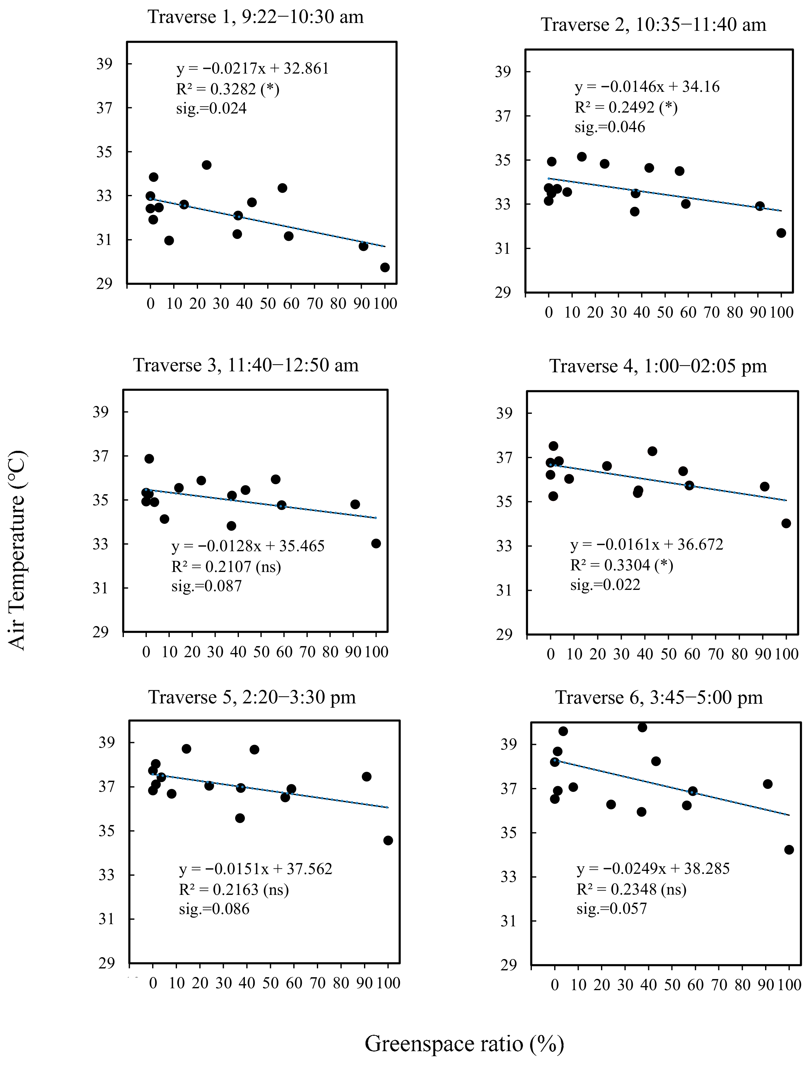
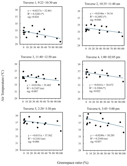
3.4. The Impact of Land Cover Features
4. Discussion
4.1. Cooling Effect of the Park
4.2. Effect of Distance on Microclimate in the Area Surrounding the Park
4.3. Effect of Land Cover
4.4. LST
4.5. Planning Implementation of the Study
- (1)
- Lower the distance to urban parks or construct more urban parks.
- (2)
- Balance the distribution of green space and increase the ratio of green space to grey space in urban built areas.
- (3)
- Pay attention to the ecological function of urban green space.
4.6. Limitations
5. Conclusions
Author Contributions
Funding
Institutional Review Board Statement
Informed Consent Statement
Conflicts of Interest
References
- Simonds, J.O. Landscape Architecture: A Manual of Site Planning and Design; McGraw-Hill Professional: New York, NY, USA, 2007. [Google Scholar]
- World’s Population Increasingly Urban with More Than Half Living in Urban Areas | UN DESA | United Nations Department of Economic and Social Affairs. Available online: https://www.un.org/en/development/desa/news/population/world-urbanization-prospects-2014.html (accessed on 18 November 2021).
- Kalnay, E.; Cai, M.; Midi-pyre, C. Impact of urbanization and land-use change on climate. Nature 2003, 423, 528–531. [Google Scholar] [CrossRef]
- Oke, T.R. The energetic basis of the urban heat island. Q. J. R. Meteorol. Soc. 1982, 108, 1–24. [Google Scholar] [CrossRef]
- Cao, J.; Zhou, W.; Zheng, Z.; Ren, T.; Wang, W. Within-city spatial and temporal heterogeneity of air temperature and its relationship with land surface temperature. Landsc. Urban Plan. 2021, 206, 103979. [Google Scholar] [CrossRef]
- Li, X.; Zhou, W. Optimizing urban greenspace spatial pattern to mitigate urban heat island effects: Extending understanding from local to the city scale. Urban For. Urban Green. 2019, 41, 255–263. [Google Scholar] [CrossRef]
- Wan, K.K.W.W.; Li, D.H.W.W.; Pan, W.; Lam, C.J. Impact of climate change on building energy use in different climate zones and mitigation and adaptation implications. Appl. Energy 2012, 97, 274–282. [Google Scholar] [CrossRef]
- Zhang, B.; Xie, G.D.; Gao, J.X.; Yang, Y. The cooling effect of urban green spaces as a contribution to energy-saving and emission-reduction: A case study in Beijing, China. Build. Environ. 2014, 76, 37–43. [Google Scholar] [CrossRef]
- Taha, H.; Akbari, H.; Rosenfeld, A. Heat island and oasis effects of vegetative canopies: Micro-meteorological field-measurements. Theor. Appl. Climatol. 1991, 44, 123–138. [Google Scholar] [CrossRef] [Green Version]
- Lee, L.S.H.; Jim, C.Y. Urban woodland on intensive green roof improved outdoor thermal comfort in subtropical summer. Int. J. Biometeorol. 2019, 63, 895–909. [Google Scholar] [CrossRef]
- Méndez-Lázaro, P.A.; Pérez-Cardona, C.M.; Rodríguez, E.; Martínez, O.; Taboas, M.; Bocanegra, A.; Méndez-Tejeda, R. Climate change, heat, and mortality in the tropical urban area of San Juan, Puerto Rico. Int. J. Biometeorol. 2018, 62, 699–707. [Google Scholar] [CrossRef] [PubMed]
- Yan, H.; Wu, F.; Dong, L. Influence of a large urban park on the local urban thermal environment. Sci. Total Environ. 2018, 622–623, 882–891. [Google Scholar] [CrossRef]
- Bowler, D.E.; Buyung-Ali, L.; Knight, T.M.; Pullin, A.S. Urban greening to cool towns and cities: A systematic review of the empirical evidence. Landsc. Urban Plan. 2010, 97, 147–155. [Google Scholar] [CrossRef]
- Zhao, C.; Fu, G.; Liu, X.; Fu, F. Urban planning indicators, morphology and climate indicators: A case study for a north-south transect of Beijing, China. Build. Environ. 2011, 46, 1174–1183. [Google Scholar] [CrossRef]
- Deletic, A. Sediment transport in urban runoff over grassed areas. J. Hydrol. 2005, 301, 108–122. [Google Scholar] [CrossRef]
- Zhang, B.; Xie, G.D.; Li, N.; Wang, S. Effect of urban green space changes on the role of rainwater runoff reduction in Beijing, China. Landsc. Urban Plan. 2015, 140, 8–16. [Google Scholar] [CrossRef]
- Kabisch, N. Ecosystem service implementation and governance challenges in urban green space planning-The case of Berlin, Germany. Land Use Policy 2015, 42, 557–567. [Google Scholar] [CrossRef]
- Xue, F.; Gou, Z.; Siu, S.; Lau, Y. Green open space in high-dense Asian cities: Site configurations, microclimates and users’ perceptions. Sustain. Cities Soc. 2017, 34, 114–125. [Google Scholar] [CrossRef]
- Niemelä, J. Ecology of urban green spaces: The way forward in answering major research questions. Landsc. Urban Plan. 2014, 125, 298–303. [Google Scholar] [CrossRef]
- Akbari, H.; Pomerantz, M.; Taha, H. Cool surfaces and shade trees to reduce energy use and improve air quality in urban areas. Sol. Energy 2001, 70, 295–310. [Google Scholar] [CrossRef]
- Wang, Y.; Berardi, U.; Wang, Y.; Berardi, U.; Akbari, H. The Urban Heat Island Effect in the City of Toronto The Urban Heat Island effect in the city of Toronto. Procedia Eng. 2015, 118, 137–144. [Google Scholar] [CrossRef] [Green Version]
- Zhang, B.; Amani-Beni, M.; Shi, Y.; Xie, G.-D. The summer microclimate of green spaces in Beijing’ Olympic park and their effects on human comfort index. Ecol. Sci. 2018, 37, 77–86. (In Chinese) [Google Scholar] [CrossRef]
- Oke, T.R.; Crowther, J.M.; Mcnaughton, K.G.; Monteith, J.L.; Gardiner, B. The Micrometeorology of the Urban Forest. Phil. Trans. R. Soc. Lond. B 1989, 335–349. [Google Scholar] [CrossRef]
- Jauregui, E. Influence of a large urban park on temperature and convective precipitation in a tropical city. Energy Build. 1990, 15, 457–463. [Google Scholar] [CrossRef]
- Ca, V.T.; Asaeda, T.; Abu, E.M.; Mohamad, E.; Abu, E.M.; Mohamad, E. Reductions in air conditioning energy caused by a nearby park. Energy Build. 1998, 29, 83–92. [Google Scholar] [CrossRef]
- Skoulika, F.; Santamouris, M.; Kolokotsa, D.; Boemi, N. On the thermal characteristics and the mitigation potential of a medium size urban park in Athens, Greece. Landsc. Urban Plan. 2014, 123, 73–86. [Google Scholar] [CrossRef]
- Jamei, E.; Rajagopalan, P.; Seyedmahmoudian, M.; Jamei, Y. Review on the impact of urban geometry and pedestrian level greening on outdoor thermal comfort. Renew. Sustain. Energy Rev. 2016, 54, 1002–1017. [Google Scholar] [CrossRef]
- Spronken-Smith, R.; Oke, T. The thermal regime of urban parks in two cities with different summer climates. Int. J. Remote Sens. 1998, 19, 2085–2104. [Google Scholar] [CrossRef]
- Oliveira, S.; Andrade, H.; Vaz, T. The cooling effect of green spaces as a contribution to the mitigation of urban heat: A case study in Lisbon. Build. Environ. 2011, 46, 2186–2194. [Google Scholar] [CrossRef]
- Upmanis, H.; Eliasson, I.; Lindqvist, S. The influence of green areas on nocturnal temperatures in a high latitude city (Göteborg, Sweden). Int. J. Climatol. 1998, 18, 681–700. [Google Scholar] [CrossRef]
- Qiu, K.; Jia, B. The roles of landscape both inside the park and the surroundings in park cooling effect. Sustain. Cities Soc. 2020, 52, 101864. [Google Scholar] [CrossRef]
- Anjos, M.; Lopes, A. Urban Heat Island and Park Cool Island intensities in the coastal city of Aracaju, North-Eastern Brazil. Sustainability 2017, 9, 1379. [Google Scholar] [CrossRef] [Green Version]
- Xiao, X.D.; Dong, L.; Yan, H.; Yang, N.; Xiong, Y. The influence of the spatial characteristics of urban green space on the urban heat island effect in Suzhou Industrial Park. Sustain. Cities Soc. 2018, 40, 428–439. [Google Scholar] [CrossRef]
- Hamada, S.; Ohta, T. Seasonal variations in the cooling effect of urban green areas on surrounding urban areas. Urban For. Urban Green. 2010, 9, 15–24. [Google Scholar] [CrossRef]
- Honjo, T.; Takakura, T. Simulation of Thermal Effects of Urban reen Areas on Their Surrounding Areas. Energy Build. 1990, 16, 443–446. [Google Scholar] [CrossRef]
- Algretawee, H.; Rayburg, S.; Neave, M. Estimating the effect of park proximity to the central of Melbourne city on Urban Heat Island (UHI) relative to Land Surface Temperature (LST). Ecol. Eng. 2019, 138, 374–390. [Google Scholar] [CrossRef]
- Algretawee, H.; Rayburg, S.; Neave, M.; Studies, S. The cooling effect of a meadium sized park on an urban environment. Int. J. GEOMATE 2016, 11, 2541–2546. [Google Scholar]
- Gunawardena, K.R.; Wells, M.J.; Kershaw, T. Utilising green and bluespace to mitigate urban heat island intensity. Sci. Total Environ. 2017, 584–585, 1040–1055. [Google Scholar] [CrossRef] [PubMed]
- Yan, C.; Guo, Q.; Li, H.; Li, L.; Qiu, G.Y. Quantifying the cooling effect of urban vegetation by mobile traverse method: A local-scale urban heat island study in a subtropical megacity. Build. Environ. 2020, 169, 106541. [Google Scholar] [CrossRef]
- Debbage, N.; Shepherd, J.M. The urban heat island effect and city contiguity. Comput. Environ. Urban Syst. 2015, 54, 181–194. [Google Scholar] [CrossRef]
- Yu, C.; Hien, W.N. Thermal benefits of city parks. Energy Build. 2006, 38, 105–120. [Google Scholar] [CrossRef]
- Amani-Beni, M.; Zhang, B.; Xie, G.-D.; Shi, Y. Impacts of urban green landscape patterns on land surface temperature: Evidence from the adjacent area of Olympic Forest Park of Beijing, China. Sustainability 2019, 11, 513. [Google Scholar] [CrossRef] [Green Version]
- Beijing Municipal Bureau of Statistics. Beijing Statistical Yearbook 2018; Beijing Municipal Bureau of Statistics: Beijing, China, 2018.
- Yang, P.; Ren, G.; Hou, W.; Liu, W. Spatial and diurnal characteristics of summer rainfall over Beijing Municipality based on a high-density AWS dataset. Int. J. Climatol. 2013, 33, 2769–2780. [Google Scholar] [CrossRef]
- Zhang, B. Urban Green Spaces and Their Key Eco-Services in Beijing; China Environmental Science Press: Beijing, China, 2016. [Google Scholar]
- Yokobori, T.; Ohta, S.; Res, C.; Yokobori, T.; Ohta, S. Effect of land cover on air temperatures involved in the development of an intra-urban heat island. Clim. Res. 2009, 39, 61–73. [Google Scholar] [CrossRef]
- Costa, A.; Araújo, V. A methodology to study the urban distribution of air temperature in fixed points. In Proceedings of the 2nd PALENC Conference and 28th AIVC Conference on Building Low Energy Cooling and Advanced Ventilation Technologies in the 21st Century, Crete, Greece, 27–29 September 2007; Volume 1, pp. 227–230. [Google Scholar]
- Asgarian, A.; Amiri, B.J.; Sakieh, Y. Assessing the effect of green cover spatial patterns on urban land surface temperature using landscape metrics approach. Urban Ecosyst. 2015, 18, 209–222. [Google Scholar] [CrossRef]
- Chander, G.; Markham, B.L.; Helder, D.L. Summary of current radiometric calibration coefficients for Landsat MSS, TM, ETM+, and EO-1 ALI sensors. Remote Sens. Environ. 2009, 113, 893–903. [Google Scholar] [CrossRef]
- Xu, X.; Li, X.; Meng, D. Impacts of Beijing different underlying surfaces on urban heat island effect and human comfort. J. Cap. Univ. Natural Sci. Ed. 2013, 34, 47–52, 76. (In Chinese) [Google Scholar]
- Amani-Beni, M.; Zhang, B.; Xie, G.D.; Xu, J. Impact of urban park’s tree, grass and waterbody on microclimate in hot summer days: A case study of Olympic Park in Beijing, China. Urban For. Urban Green. 2018, 32, 1–6. [Google Scholar] [CrossRef]
- Sailor, D.J.; Bass, B. Development and features of the Green Roof Energy Calculator (GREC). J. Living Archit. 2014, 1, 36–58. [Google Scholar] [CrossRef]
- Zhao, Q.; Sailor, D.J.; Wentz, E.A. Impact of tree locations and arrangements on outdoor microclimates and human thermal comfort in an urban residential environment. Urban For. Urban Green. 2018, 32, 81–91. [Google Scholar] [CrossRef] [Green Version]
- Bar-Tsur, A.; Rudich, J.; Bravdo, B. Photosynthesis, transpiration and stomatal resistance to gas exchange in tomato plants under high temperatures. J. Hortic. Sci. 1985, 60, 405–410. [Google Scholar] [CrossRef]
- Kong, F.; Yan, W.; Zheng, G.; Yin, H.; Cavan, G.; Zhan, W.; Zhang, N.; Cheng, L. Retrieval of three-dimensional tree canopy and shade using terrestrial laser scanning (TLS) data to analyze the cooling effect of vegetation. Agric. For. Meteorol. 2016, 217, 22–34. [Google Scholar] [CrossRef]
- Huang, L.; Zhao, D.; Wang, J.; Zhu, J.; Li, J. Scale impacts of land cover and vegetation corridors on urban thermal behavior in Nanjing, China. Theor. Appl. Climatol. 2008, 94, 241–257. [Google Scholar] [CrossRef]
- Pramanik, S.; Punia, M. Assessment of green space cooling effects in dense urban landscape: A case study of Delhi, India. Model. Earth Syst. Environ. 2019, 5, 867–884. [Google Scholar] [CrossRef]
- Sodoudi, S.; Shahmohamadi, P.; Vollack, K.; Cubasch, U.; Che-Ani, A.I. Mitigating the Urban Heat Island Effect in Megacity Tehran. Adv. Meteorol. 2014, 2014, 547974. [Google Scholar] [CrossRef]
- Tan, Z.; Lau, K.K.; Ng, E. Urban tree design approaches for mitigating daytime urban heat island effects in a high-density urban environment. Energy Build. 2016, 114, 265–274. [Google Scholar] [CrossRef]
- Kubota, T.; Lee, H.S.; Trihamdani, A.R.; Phuong, T.T.T.; Tanaka, T.; Matsuo, K. Impacts of land use changes from the Hanoi Master Plan 2030 on urban heat islands: Part 1. Cooling effects of proposed green strategies. Sustain. Cities Soc. 2017, 32, 295–317. [Google Scholar] [CrossRef]
- Vasilikou, C.; Nikolopoulou, M. Outdoor thermal comfort for pedestrians in movement: Thermal walks in complex urban morphology. Int. J. Biometeorol. 2020, 64, 277–291. [Google Scholar] [CrossRef] [Green Version]
- Amani-Beni, M.; Zhang, B.; Xie, G.; Yunting, S. Spatial temporal changes of urban green spaces in relation to land surface temperature/a case study from Beijing, China. In Proceedings of the 55th International Federation of Landscape Architecture (IFLA) World Congress, Singapore, 18–19 July 2018. [Google Scholar]
- Yang, C.; He, X.; Yu, L.; Yang, J.; Yan, F.; Bu, K.; Chang, L.; Zhang, S. The cooling effect of urban parks and its monthly variations in a snow climate city. Remote Sens. 2017, 9, 1066. [Google Scholar] [CrossRef] [Green Version]
- Lehnert, M.; Tokar, V.; Jurek, M.; Geletič, J. Summer thermal comfort in Czech cities: Measured effects of blue and green features in city centres. Int. J. Biometeorol. 2021, 65, 1277–1289. [Google Scholar] [CrossRef]
- Ling, A.; Kevin, K.; Chao, K.L.; Yang, Y. Regulation of Outdoor Thermal Comfort by Trees in Hong Kong. Sustain. Cities Soc. 2017, 31, 12–25. [Google Scholar] [CrossRef]
- Antoniadis, D.; Katsoulas, N.; Kittas, C. Simulation of schoolyard’s microclimate and human thermal comfort under Mediterranean climate conditions: Effects of trees and green structures. Int. J. Biometeorol. 2018, 62, 2025–2036. [Google Scholar] [CrossRef]
- Wang, Y.; Berardi, U.; Akbari, H. Comparing the effects of urban heat island mitigation strategies for Toronto, Canada. Energy Build. 2016, 114, 2–19. [Google Scholar] [CrossRef]
- Jaganmohan, M.; Knapp, S.; Buchmann, C.M.; Schwarz, N. The Bigger, the Better? The Influence of Urban Green Space Design on Cooling Effects for Residential Areas. J. Environ. Qual. 2016, 45, 134–145. [Google Scholar] [CrossRef]
- Ben-Dor, E.; Saaroni, H. Airborne video thermal radiometry as a tool for monitoring microscale structures of the urban heat island. Int. J. Remote Sens. 1997, 18, 3039–3053. [Google Scholar] [CrossRef]
- Nichol, J.E.; Yee, W.; Lam, K.; Sing, M. Urban heat island diagnosis using ASTER satellite images and ‘ in situ ’ air temperature. Atmos. Res. 2009, 94, 276–284. [Google Scholar] [CrossRef]
- Arnfield, A.J. Two decades of urban climate research: A review of turbulence, exchanges of energy and water, and the urban heat island. Int. J. Climatol. 2003, 26, 1–26. [Google Scholar] [CrossRef]
- Offerle, B.; Eliasson, I.; Grimmond, C.S.B.; Holmer, B. Surface heating in relation to air temperature, wind and turbulence in an urban street canyon. Bound.-Layer Meteorol. 2007, 122, 273–292. [Google Scholar] [CrossRef]
- Zhou, W.; Wang, J.; Cadenasso, M.L. Effects of the spatial configuration of trees on urban heat mitigation: A comparative study. Remote Sens. Environ. 2017, 195, 1–12. [Google Scholar] [CrossRef]







| Point Number | Distance (Km) † | Landscape Feature | 
|---|---|---|
| 1 | 1.1 | On the park border †† | 
| 2 | 1.2 | On the park border | 
| 3 | 1 | On the park border | 
| 4 | 2.3 | On the park border | 
| 5 | 2.6 | Outside the park, commercial center | 
| 6 | 1.8 | Outside the park, near the artificial river and grassed surfaces, dense buildings | 
| 7 | 1.8 | Outside the park, near the artificial river and grassed surfaces | 
| 8 | 2.6 | Outside the park, commercial center, near to vacant lots | 
| 9 | 2.6 | Outside the park, dense buildings | 
| 10 | 3 | Outside the park, dense buildings | 
| 11 | 1.7 | On the park border | 
| 12 | 1.8 | On the park border | 
| 13 | 1 | On the park border | 
| 14 | 1.3 | On the park border | 
| Reference Point | 0 | Center of the park, the main land cover type here is forest, most of which are shrubs and trees | 
| 10 July 2017 | 3 August 2017 | Mean | ||
|---|---|---|---|---|
| 10 July 2017 | Corr. | - | 0.846 ** | 29.2 | 
| Sig. | - | 0.000 | ||
| 3 August 2017 | Corr. | 0.846 ** | - | 27.6 | 
| Sig. | 0.000 | - | ||
| 5 August 2017 | Corr. | 0.877 ** | 0.831 ** | 25.6 | 
| Sig. | 0.000 | 0.000 | ||
| N | 15 | 15 | 15 | 
| Index | Grade | 
|---|---|
| 59~70 | Comfortable | 
| 71~75 | More comfortable | 
| 76~79 | Slightly warm | 
| 80~85 | Warm | 
| 86~89 | Hot | 
| >90 | Extremely hot | 
| Air Temperature during Each Traverse * | Paired Differences | T | Df | Sig. (2-Tailed) | |||
|---|---|---|---|---|---|---|---|
| Mean | Std. Deviation | Std. Error Mean | |||||
| Traverse 1 | urban/park | 2.68571 | 0.52456 | 0.14019 | 19.157 | 13 | 0.000 | 
| Traverse 2 | urban/park | 2.20714 | 0.51361 | 0.13727 | 16.079 | 13 | 0.000 | 
| Traverse 3 | urban/park | 2.20714 | 0.59674 | 0.15949 | 13.839 | 13 | 0.000 | 
| Traverse 4 | urban/park | 2.28571 | 0.58159 | 0.15544 | 14.705 | 13 | 0.000 | 
| Traverse 5 | urban/park | 2.66429 | 0.86167 | 0.23029 | 11.569 | 13 | 0.000 | 
| Traverse 6 | urban/park | 3.49286 | 1.49433 | 0.39938 | 8.746 | 13 | 0.000 | 
| Green Space Ratio | Distance | Air Temperature (T5) | ||
|---|---|---|---|---|
| Air Temperature (T1−6) | Corr. | −0.597 * | 0.730 ** | |
| Sig. | 0.014 | 0.002 | ||
| Air Temperature (T5) | Corr. | −0.465 | 0.728 ** | |
| Sig. | 0.086 | 0.002 | ||
| LST | Corr. | −0.811 ** | 0.435 ** | 0.522 * | 
| Sig. | 0.000 | 0.007 | 0.021 | |
| N | 15 | 15 | 15 | 
| Variable | Independent Variable | Unstandardized Coefficients | Standardized Coefficients Beta | T | Sig. | |
|---|---|---|---|---|---|---|
| B | Standard Error B | |||||
| Air temperature/Distance | Constant | 33.826 | 0.421 | 80.331 | 0.000 | |
| Distance | 0.834 | 0.225 | 0.730 | 3.755 | 0.002 | |
| Air temperature/Green space ratio | Constant | 35.858 | 0.287 | 124.993 | 0.000 | |
| Green space rate | −0.016 | 0.006 | −0.597 | −2.836 | 0.014 | |
| Publisher’s Note: MDPI stays neutral with regard to jurisdictional claims in published maps and institutional affiliations. | 
© 2021 by the authors. Licensee MDPI, Basel, Switzerland. This article is an open access article distributed under the terms and conditions of the Creative Commons Attribution (CC BY) license (https://creativecommons.org/licenses/by/4.0/).
Share and Cite
Amani-Beni, M.; Zhang, B.; Xie, G.-D.; Odgaard, A.J. Impacts of the Microclimate of a Large Urban Park on Its Surrounding Built Environment in the Summertime. Remote Sens. 2021, 13, 4703. https://doi.org/10.3390/rs13224703
Amani-Beni M, Zhang B, Xie G-D, Odgaard AJ. Impacts of the Microclimate of a Large Urban Park on Its Surrounding Built Environment in the Summertime. Remote Sensing. 2021; 13(22):4703. https://doi.org/10.3390/rs13224703
Chicago/Turabian StyleAmani-Beni, Majid, Biao Zhang, Gao-Di Xie, and A. Jacob Odgaard. 2021. "Impacts of the Microclimate of a Large Urban Park on Its Surrounding Built Environment in the Summertime" Remote Sensing 13, no. 22: 4703. https://doi.org/10.3390/rs13224703
APA StyleAmani-Beni, M., Zhang, B., Xie, G.-D., & Odgaard, A. J. (2021). Impacts of the Microclimate of a Large Urban Park on Its Surrounding Built Environment in the Summertime. Remote Sensing, 13(22), 4703. https://doi.org/10.3390/rs13224703
 
         
                                                


 
                         
       