Improved Bi-Angle Aerosol Optical Depth Retrieval Algorithm from AHI Data Based on Particle Swarm Optimization
Abstract
:1. Introduction
2. Data
2.1. Himawari-8 AHI Data
2.2. MODIS Data
2.3. AERONET Data
3. Principle and Method
3.1. Theory of Bi-Angle AOD Inversion
3.2. Particle Swarm Optimization
3.3. IBAA Algorithm Scheme
4. Result and Analysis
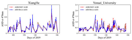
4.1. AOD Validation
4.2. Surface Albedo Result
4.3. PSO and Coarse Aerosols Analysis
5. Conclusions
Author Contributions
Funding
Institutional Review Board Statement
Informed Consent Statement
Data Availability Statement
Acknowledgments
Conflicts of Interest
References
- Hansen, J.; Sato, M.; Ruedy, R. Radiative forcing and climate response. J. Geophys. Res. Atmos. 1997, 102, 6831–6864. [Google Scholar] [CrossRef]
- Anderson, T.L.; Charison, R.J.; Schwartz, S.E.; Knutti, R.; Boucher, O.; Rodhe, H. Climate forcing by aerosols—A hazy picture. Science 2003, 300, 1103–1104. [Google Scholar] [CrossRef] [PubMed]
- Colbeck, I.; Lazaridis, M. Aerosols and environmental pollution. Naturwissenschaften 2009, 97, 117–131. [Google Scholar] [CrossRef] [PubMed]
- Hu, X.Q.; Lu, N.M.; Niu, T.; Zhang, P. Operational retrieval of Asian sand and dust storm from FY-2C geostationary meteorological satellite and its application to real time forecast in Asia. Atmos. Chem. Phys. Discuss. 2008, 8, 1649–1659. [Google Scholar] [CrossRef] [Green Version]
- Sowden, M.; Mueller, U.; Blake, D. Review of surface particulate monitoring of dust events using geostationary satellite remote sensing. Atmos. Environ. 2018, 183, 154–164. [Google Scholar] [CrossRef]
- Shin, Y.-R.; Sohn, E.-H.; Park, K.-H.; Ryu, G.-H.; Lee, S.; Lee, S.-Y.; Park, N.-Y. Improved dust detection over east asia using geostationary satellite data. Asia-Pac. J. Atmos. Sci. 2021, 57, 787–798. [Google Scholar] [CrossRef]
- Wei, X.; Chang, N.-B.; Bai, K.; Gao, W. Satellite remote sensing of aerosol optical depth: advances, challenges, and perspectives. Crit. Rev. Environ. Sci. Technol. 2020, 50, 1640–1725. [Google Scholar] [CrossRef]
- Knapp, K.; Frouin, R.; Kondragunta, S.; Prados, A. Toward aerosol optical depth retrievals over land from GOES visible radiances: determining surface reflectance. Int. J. Remote Sens. 2005, 26, 4097–4116. [Google Scholar] [CrossRef]
- Popp, C.; Hauser, A.; Foppa, N.; Wunderle, S. Remote sensing of aerosol optical depth over central Europe from MSG-SEVIRI data and accuracy assessment with ground-based AERONET measurements. J. Geophys. Res. Space Phys. 2007, 112, D24S11.1-16. [Google Scholar] [CrossRef] [Green Version]
- Lee, J.; Kim, J.; Song, C.H.; Ryu, J.-H.; Ahn, Y.-H. Algorithm for retrieval of aerosol optical properties over the ocean from the Geostationary Ocean Color Imager. Remote Sens. Environ. 2010, 114, 1077–1088. [Google Scholar] [CrossRef]
- Choi, M.; Kim, J.; Lee, J.; Kim, M.; Park, Y.-J.; Jeong, U.; Kim, W.; Hong, H.; Holben, B.; Eck, T.F.; et al. GOCI Yonsei Aerosol Retrieval (YAER) algorithm and validation during the DRAGON-NE Asia 2012 campaign. Atmos. Meas. Tech. 2016, 9, 1377–1398. [Google Scholar] [CrossRef] [Green Version]
- Kim, J.; Yoon, J.; Ahn, M.H.; Sohn, B.J.; Lim, H.S. Retrieving aerosol optical depth using visible and mid-IR channels from geostationary satellite MTSAT-1R. Int. J. Remote Sens. 2008, 29, 6181–6192. [Google Scholar] [CrossRef]
- Kim, M.; Kim, J.; Wong, M.S.; Yoon, J.; Lee, J.; Wu, D.; Chan, P.W.; Nichol, J.E.; Chung, C.-Y.; Ou, M.-L. Improvement of aerosol optical depth retrieval over Hong Kong from a geostationary meteorological satellite using critical reflectance with background optical depth correction. Remote Sens. Environ. 2014, 142, 176–187. [Google Scholar] [CrossRef] [Green Version]
- Thomas, G.E.; Carboni, E.; Sayer, A.M.; Poulsen, C.A.; Grainger, R.G. Oxford-RAL Aerosol and Cloud (ORAC): Aerosol retrievals from satellite radiometers. In Satellite Aerosol Remote Sensing over Land; Kokhanovsky, A.A., de Leeuw, G., Eds.; Springer Praxis Books: Berlin/Heidelberg, Germany, 2009. [Google Scholar] [CrossRef]
- Zhang, H.; Lyapustin, A.; Wang, Y.; Kondragunta, S.; Laszlo, I.; Ciren, P.; Hoff, R.M. A multi-angle aerosol optical depth retrieval algorithm for geostationary satellite data over the United States. Atmos. Chem. Phys. Discuss. 2011, 11, 11977–11991. [Google Scholar] [CrossRef] [Green Version]
- Mei, L.; Xue, Y.; De Leeuw, G.; Holzer-Popp, T.; Guang, J.; Li, Y.; Yang, L.; Xu, H.; Xu, X.; Li, C.; et al. Retrieval of aerosol optical depth over land based on a time series technique using MSG/SEVIRI data. Atmos. Chem. Phys. 2012, 12, 9167–9185. [Google Scholar] [CrossRef] [Green Version]
- Govaerts, Y.; Wagner, S.; Lattanzio, A.; Watts, P. Application of the Optimal Estimation Method to the Joint Retrieval of Aerosol Load and Surface Reflectance from MSG/SEVIRI. Observations 2009, 1100, 255–258. [Google Scholar] [CrossRef]
- Zhang, T.; Zang, L.; Mao, F.; Wan, Y.; Zhu, Y. Evaluation of Himawari-8/AHI, MERRA-2, and CAMS Aerosol Products over China. Remote Sens. 2020, 12, 1684. [Google Scholar] [CrossRef]
- ABI AOD ATBD. GOES-R Advanced Baseline Imager (ABI) Algorithm Theoretical Basis Document for Suspended Matter/Aerosol Optical Depth and Aerosol Size Parameter. NOAA/NESDIS/STAR, Version 4.2. 14 February 2018. Available online: https://www.star.nesdis.noaa.gov/goesr/documents/ATBDs/Baseline/ATBD_GOES-R_Aerosol_Optical_Depth_v4.2_Feb2018.pdf (accessed on 14 November 2021).
- Xie, Y.; Xue, Y.; Guang, J.; Mei, L.; She, L.; Li, Y.; Che, Y.; Fan, C. Deriving a Global and Hourly Data Set of Aerosol Optical Depth Over Land Using Data From Four Geostationary Satellites: GOES-16, MSG-1, MSG-4, and Himawari-8. IEEE Trans. Geosci. Remote Sens. 2019, 58, 1538–1549. [Google Scholar] [CrossRef]
- Zhang, W.; Xu, H.; Zheng, F. Aerosol optical depth retrieval over east Asia using Himawari-8/AHI data. Remote Sens. 2018, 10, 137. [Google Scholar] [CrossRef] [Green Version]
- Ge, B.; Li, Z.; Liu, L.; Yang, L.; Chen, X.; Hou, W.; Zhang, Y.; Li, D.; Li, L.; Qie, L. A Dark Target method for Himawari-8/AHI aerosol retrieval: Application and validation. IEEE Trans. Geosci. Remote. Sens. 2018, 57, 381–394. [Google Scholar] [CrossRef]
- Gao, L.; Chen, L.; Li, J.; Zhu, L. An improved dark target method for aerosol optical depth retrieval over China from Himawari-8. Atmos. Res. 2021, 250. [Google Scholar] [CrossRef]
- She, L.; Xue, Y.; Yang, X.; Leys, J.; Guang, J.; Che, Y.; Fan, C.; Xie, Y.; Li, Y. Joint Retrieval of Aerosol Optical Depth and Surface Reflectance Over Land Using Geostationary Satellite Data. IEEE Trans. Geosci. Remote Sens. 2018, 57, 1489–1501. [Google Scholar] [CrossRef]
- Su, X.; Wang, L.; Zhang, M.; Qin, W.; Bilal, M. A High-Precision Aerosol Retrieval Algorithm (HiPARA) for Advanced Himawari Imager (AHI) data: Development and verification. Remote Sens. Environ. 2020, 253, 112221. [Google Scholar] [CrossRef]
- Yan, X.; Li, Z.; Luo, N.; Shi, W.; Zhao, W.; Yang, X.; Jin, J. A minimum albedo aerosol retrieval method for the new-generation geostationary meteorological satellite Himawari-8. Atmos. Res. 2018, 207, 14–27. [Google Scholar] [CrossRef]
- Shi, S.; Cheng, T.; Gu, X.; Letu, H.; Guo, H.; Chen, H.; Wang, Y.; Wu, Y. Synergistic Retrieval of Multitemporal Aerosol Optical Depth Over North China Plain Using Geostationary Satellite Data of Himawari-8. J. Geophys. Res. Atmos. 2018, 123, 5525–5537. [Google Scholar] [CrossRef]
- Zhang, H.; Kondragunta, S.; Laszlo, I.; Zhou, M. Improving GOES Advanced Baseline Imager (ABI) aerosol optical depth (AOD) retrievals using an empirical bias correction algorithm. Atmos. Meas. Tech. 2020, 13, 5955–5975. [Google Scholar] [CrossRef]
- Zang, Z.; Li, D.; Guo, Y.; Shi, W.; Yan, X. Superior PM2.5 Estimation by Integrating Aerosol Fine Mode Data from the Himawari-8 Satellite in Deep and Classical Machine Learning Models. Remote Sens. 2021, 13, 2779. [Google Scholar] [CrossRef]
- Xue, Y.; Cracknell, A.P. Operational bi-angle approach to retrieve the Earth surface albedo from AVHRR data in the visible band. Int. J. Remote Sens. 1995, 16, 417–429. [Google Scholar] [CrossRef]
- Li, Y.; Xue, Y.; He, X.; Guang, J. High-resolution aerosol remote sensing retrieval over urban areas by synergetic use of HJ-1 CCD and MODIS data. Atmos. Environ. 2011. [Google Scholar] [CrossRef]
- Xue, Y.; He, X.; Xu, H.; Guang, J.; Guo, J.; Mei, L. China Collection 2.0: The aerosol optical depth dataset from the synergetic retrieval of aerosol properties algorithm. Atmos. Environ. 2014, 95, 45–58. [Google Scholar] [CrossRef]
- Kikuchi, M.; Murakami, H.; Suzuki, K.; Nagao, T.M.; Higurashi, A. Improved Hourly Estimates of Aerosol Optical Thickness Using Spatiotemporal Variability Derived From Himawari-8 Geostationary Satellite. IEEE Trans. Geosci. Remote Sens. 2018, 56, 3442–3455. [Google Scholar] [CrossRef]
- Yoshida, M.; Kikuchi, M.; Nagao, T.M.; Murakami, H.; Nomaki, T.; Higurashi, A. Common Retrieval of Aerosol Properties for Imaging Satellite Sensors. J. Meteorol. Soc. Jpn. 2018, 193–209. [Google Scholar] [CrossRef] [Green Version]
- Levy, R.C.; Mattoo, S.; Munchak, L.A.; Remer, L.A.; Sayer, A.M.; Patadia, F.; Hsu, N.C. The Collection 6 MODIS aerosol products over land and ocean. Atmos. Meas. Tech. 2013, 6, 2989–3034. [Google Scholar] [CrossRef] [Green Version]
- Che, H.; Yang, L.; Liu, C.; Xia, X.; Wang, Y.; Wang, H.; Wang, H.; Lu, X.; Zhang, X. Long-term validation of MODIS C6 and C6.1 Dark Target aerosol products over China using CARSNET and AERONET. Chemosphere 2019, 236, 124268. [Google Scholar] [CrossRef]
- Wang, Y.; Yuan, Q.; Li, T.; Shen, H.; Zheng, L.; Zhang, L. Evaluation and comparison of MODIS Collection 6.1 aerosol optical depth against AERONET over regions in China with multifarious underlying surfaces. Atmos. Environ. 2018, 200, 280–301. [Google Scholar] [CrossRef] [Green Version]
- Huang, G.; Chen, Y.; Li, Z.; Liu, Q.; Wang, Y.; He, Q.; Liu, T.; Liu, X.; Zhang, Y.; Gao, J.; et al. Validation and accuracy analysis of the Collection 6.1 MODIS aerosol optical depth over the westernmost city in china based on the sun-sky radiometer observations from SONET. Earth Space Sci. 2020, 7, e2019EA001041. [Google Scholar] [CrossRef] [Green Version]
- Giles, D.M.; Sinyuk, A.; Sorokin, M.G.; Schafer, J.S.; Smirnov, A.; Slutsker, I.; Eck, T.F.; Holben, B.N.; Lewis, J.R.; Campbell, J.R.; et al. Advancements in the Aerosol Robotic Network (AERONET) Version 3 database–automated near-real-time quality control algorithm with improved cloud screening for Sun photometer aerosol optical depth (AOD) measurements. Atmos. Meas. Tech. 2019, 12, 169–209. [Google Scholar] [CrossRef] [Green Version]
- Ichoku, C.; Chu, D.A.; Mattoo, S.; Kaufman, Y.J.; Remer, L.A.; Tanré, D.; Slutsker, I.; Holben, B.N. A spatio-temporal approach for global validation and analysis of MODIS aerosol products. Geophys. Res. Lett. 2002, 29. [Google Scholar] [CrossRef] [Green Version]
- Flowerdew, R.J.; Haigh, J.D. Retrieval of aerosol optical thickness over land using the ATSR-2 Dual-Look Satellite Radiometer. Geophys. Res. Lett. 1996, 23, 351–354. [Google Scholar] [CrossRef]
- Veefkind, J.P.; De Leeuw, G.; Stammes, P.; Koelemeijer, R.B. Regional distribution of aerosol over land, derived from ATSR-2 and GOME. Remote Sens. Environ. 2000, 74, 377–386. [Google Scholar] [CrossRef]
- Yamamoto, Y.; Ichii, K.; Higuchi, A.; Takenaka, H. Geolocation accuracy assessment of Himawari-8/AHI imagery for application to terrestrial monitoring. Remote Sens. 2020, 12, 1372. [Google Scholar] [CrossRef]
- Govaerts, Y.M.; Wagner, S.; Lattanzio, A.; Watts, P. Joint retrieval of surface reflectance and aerosol optical depth from MSG/SEVIRI observations with an optimal estimation approach: 1 Theory. J. Geophys. Res. 2010, 115, D02203.1-16. [Google Scholar] [CrossRef]
- Dubovik, O.; Herman, M.; Holdak, A.; Lapyonok, T.; Tanré, D.; Deuzé, J.L.; Ducos, F.; Sinyuk, A.; Lopatin, A. Statistically optimized inversion algorithm for enhanced retrieval of aerosol properties from spectral multi-angle polarimetric satellite observations. Atmos. Meas. Tech. 2011, 4, 975–1018. [Google Scholar] [CrossRef] [Green Version]
- Saleh, K.; Wigneron, J.P.; Waldteufel, P.; De Rosnay, P.; Schwank, M.; Calvet, J.C.; Kerr, Y.H. Estimates of surface soil moisture under grass covers using L-band radiometry. Remote Sens. Environ. 2007, 109, 42–53. [Google Scholar] [CrossRef]
- Baret, F.; Buis, S. Estimating canopy characteristics from remote sensing observations: Review of methods and associated problems. Adv. Land Remote Sens. 2008, 173–201. [Google Scholar]
- Wigneron, J.P.; Jackson, T.J.; O’neill, P.; De Lannoy, G.; De Rosnay, P.; Walker, J.P.; Ferrazzoli, P.; Mironov, V.; Bircher, S.; Grant, J.P.; et al. Modelling the passive microwave signature from land surfaces: A review of recent results and application to the L-band SMOS & SMAP soil moisture retrieval algorithms. Remote Sens. Environ. 2017, 192, 238–262. [Google Scholar]
- Kennedy, J.; Eberhart, R. Particle swarm optimization. In Proceedings of the ICNN’95-International Conference on Neural Networks, Perth, WA, Australia, 27 November–1 December 1995; pp. 1942–1948. [Google Scholar]
- Wang, L.; Geng, H.; Liu, P.; Lu, K.; Kolodziej, J.; Ranjan, R.; Zomaya, A.Y. Particle Swarm Optimization based dictionary learning for remote sensing big data. Knowl. Based Syst. 2015, 79, 43–50. [Google Scholar] [CrossRef]
- Venkateswaran, K.; Sowmya Shree, T.; Kousika, N.; Kasthuri, N. Performance analysis of ga and pso based feature selection techniques for improving classification accuracy in remote sensing images. Indian J. Sci. Technol. 2016, 9, 1–7. [Google Scholar] [CrossRef] [Green Version]
- Shen, L.; Huang, X.; Fan, C. Double-Group Particle Swarm Optimization and Its Application in Remote Sensing Image Segmentation. Sensors 2018, 18, 1393. [Google Scholar] [CrossRef] [PubMed]
- Gao, Y.; Li, Q.; Wang, S.; Gao, J. Adaptive neural network based on segmented particle swarm optimization for remote-sensing estimations of vegetation biomass. Remote Sens. Environ. 2018, 211, 248–260. [Google Scholar] [CrossRef]
- Hsu, N.C.; Jeong, M.-J.; Bettenhausen, C.; Sayer, A.; Hansell, R.; Seftor, C.S.; Huang, J.; Tsay, S.-C. Enhanced Deep Blue aerosol retrieval algorithm: The second generation. J. Geophys. Res. Atmos. 2013, 118, 9296–9315. [Google Scholar] [CrossRef]
- Wang, Y.; Chen, P.; Liu, C.; Zhang, Y. Size effect of circular concrete-filled steel tubular short columns subjected to axial compression. Thin-Walled Struct. 2017, 120, 397–407. [Google Scholar] [CrossRef]
- Lim, H.; Choi, M.; Kim, J.; Kasai, Y.; Chan, P.W. AHI/Himawari-8 Yonsei Aerosol Retrieval (YAER): Algorithm, Validation and Merged Products. Remote Sens. 2018, 10, 699. [Google Scholar] [CrossRef] [Green Version]
- Roman, M.O.; Gatebe, C.K.; Shuai, Y.; Wang, Z.; Gao, F.; Masek, J.G.; He, T.; Liang, S.; Schaaf, C.B. Use of In Situ and Airborne Multiangle Data to Assess MODIS- and Landsat-Based Estimates of Directional Reflectance and Albedo. IEEE Trans. Geosci. Remote Sens. 2013, 51, 1393–1404. [Google Scholar] [CrossRef]
- Ångström, A. The parameters of atmospheric turbidity. Tellus 1964, 16, 64–75. [Google Scholar] [CrossRef] [Green Version]
- Li, D.; Qin, K.; Wu, L.; Mei, L.; De Leeuw, G.; Xue, Y.; Shi, Y.; Li, Y. Himawari-8-Derived Aerosol Optical Depth Using an Improved Time Series Algorithm Over Eastern China. Remote Sens. 2020, 12, 978. [Google Scholar] [CrossRef]














| Wavelength (μm) | |||
|---|---|---|---|
| 0.47 | |||
| 2.3 |
| Site Name | Latitude, Longitude | Altitude | Land Use and Cover | N-IBAA | R-IBAA | RMSE-IBAA | MD-IBAA | WEE-IBAA (%) | UpEE-IBAA (%) | LowEE-IBAA (%) | N-JAXA | R-JAXA | RMSE-JAXA | MD-JAXA | WEE-JAXA (%) | UpEE-JAXA (%) | LowEE-JAXA (%) |
|---|---|---|---|---|---|---|---|---|---|---|---|---|---|---|---|---|---|
| AOE_Baotou | 40.85° N, 109.63° E | 1314 | Grasslands | 146 | 0.83 | 0.11 | −0.01 | 70.6 | 18.5 | 10.9 | 100 | 0.80 | 0.13 | 0.08 | 52.0 | 3.0 | 45.0 |
| Beijing_PKU | 39.99° N, 116.31° E | 53 | Urban and Build-Up Land | 285 | 0.91 | 0.21 | 0.01 | 66.0 | 21.5 | 12.5 | 174 | 0.85 | 0.23 | 0.09 | 49.4 | 9.8 | 40.8 |
| Beijing-CAMS | 39.93° N, 116.32° E | 106 | Urban and Build-Up Land | 288 | 0.88 | 0.25 | 0.06 | 60.3 | 17.9 | 21.8 | 176 | 0.88 | 0.21 | 0.06 | 51.7 | 9.1 | 39.2 |
| Bhola | 22.23° N, 90.76° E | 7 | Croplands | 27 | 0.39 | 0.18 | −0.12 | 77.8 | 22.2 | 0 | 40 | 0.66 | 0.42 | 0.34 | 32.5 | 0 | 67.5 |
| Hankuk_UFS | 37.34° N, 127.27° E | 167 | Deciduous Broadleaf Forest | 249 | 0.80 | 0.15 | −0.02 | 69.9 | 20.9 | 9.2 | 54 | 0.88 | 0.15 | 0.08 | 57.4 | 7.4 | 35.2 |
| Hong_Kong_Sheung | 22.48° N, 114.12° E | 40 | Savannas | 17 | 0.85 | 0.21 | −0.14 | 41.2 | 58.8 | 0 | 0 | - | - | - | - | - | - |
| Lulin | 23.47° N, 120.87° E | 2868 | Evergreen Broadleaf Forest | 48 | 0.81 | 0.16 | −0.14 | 31.3 | 68.7 | 0 | 30 | 0.82 | 0.08 | 0.05 | 80.0 | 0 | 20.0 |
| Lumbini_North | 27.50° N, 83.28° E | 89 | Croplands | 225 | 0.55 | 0.38 | 0.23 | 55.1 | 4.0 | 40.9 | 181 | 0.31 | 0.59 | 0.33 | 30.4 | 10.5 | 59.1 |
| Pokhara | 28.19° N, 83.98° E | 800 | Savannas | 230 | 0.63 | 0.48 | 0.33 | 33.9 | 3.9 | 62.2 | 152 | 0.82 | 0.42 | 0.32 | 29.6 | 0.7 | 69.7 |
| Thimphu | 27.47° N, 89.64° E | 2314 | Evergreen Needleleaf Forest | 6 | 0.94 | 0.04 | 0.02 | 100.0 | 0 | 0 | 0 | - | - | - | - | - | - |
| Xianghe | 39.75° N, 116.96° E | 36 | Croplands | 213 | 0.92 | 0.23 | −0.06 | 77.9 | 16.4 | 5.7 | 158 | 0.81 | 0.25 | 0.02 | 46.8 | 21.5 | 31.7 |
| Xuzhou-CUMT | 34.22° N, 117.14° E | 59.7 | Urban and Build-Up Land | 48 | 0.80 | 0.19 | −0.02 | 79.2 | 12.5 | 8.3 | 46 | 0.89 | 0.35 | 0.33 | 8.7 | 0 | 91.3 |
| Yanqihu | 40.41° N, 116.67° E | 100 | Grasslands | 41 | 0.98 | 0.29 | 0.17 | 68.3 | 2.4 | 29.3 | 13 | 0.86 | 0.37 | 0.19 | 76.9 | 0 | 23.1 |
| Yonsei_University | 37.56° N, 126.94° E | 97 | Urban and Build-Up Land | 256 | 0.76 | 0.17 | −0.01 | 71.5 | 18.0 | 10.5 | 54 | 0.63 | 0.22 | 0.07 | 70.4 | 9.3 | 20.3 |
Publisher’s Note: MDPI stays neutral with regard to jurisdictional claims in published maps and institutional affiliations. |
© 2021 by the authors. Licensee MDPI, Basel, Switzerland. This article is an open access article distributed under the terms and conditions of the Creative Commons Attribution (CC BY) license (https://creativecommons.org/licenses/by/4.0/).
Share and Cite
Jin, C.; Xue, Y.; Jiang, X.; Sun, Y.; Wu, S. Improved Bi-Angle Aerosol Optical Depth Retrieval Algorithm from AHI Data Based on Particle Swarm Optimization. Remote Sens. 2021, 13, 4689. https://doi.org/10.3390/rs13224689
Jin C, Xue Y, Jiang X, Sun Y, Wu S. Improved Bi-Angle Aerosol Optical Depth Retrieval Algorithm from AHI Data Based on Particle Swarm Optimization. Remote Sensing. 2021; 13(22):4689. https://doi.org/10.3390/rs13224689
Chicago/Turabian StyleJin, Chunlin, Yong Xue, Xingxing Jiang, Yuxin Sun, and Shuhui Wu. 2021. "Improved Bi-Angle Aerosol Optical Depth Retrieval Algorithm from AHI Data Based on Particle Swarm Optimization" Remote Sensing 13, no. 22: 4689. https://doi.org/10.3390/rs13224689
APA StyleJin, C., Xue, Y., Jiang, X., Sun, Y., & Wu, S. (2021). Improved Bi-Angle Aerosol Optical Depth Retrieval Algorithm from AHI Data Based on Particle Swarm Optimization. Remote Sensing, 13(22), 4689. https://doi.org/10.3390/rs13224689

