Evaluation of Eco-Environmental Quality in Qaidam Basin Based on the Ecological Index (MRSEI) and GEE
Abstract
1. Introduction
2. Data Sources and Research Methods
2.1. Overview of the Study Area
2.2. Data Source
2.3. MRSEI
2.3.1. Selection and Calculation of Ecological Factor Indices
2.3.2. Normalization
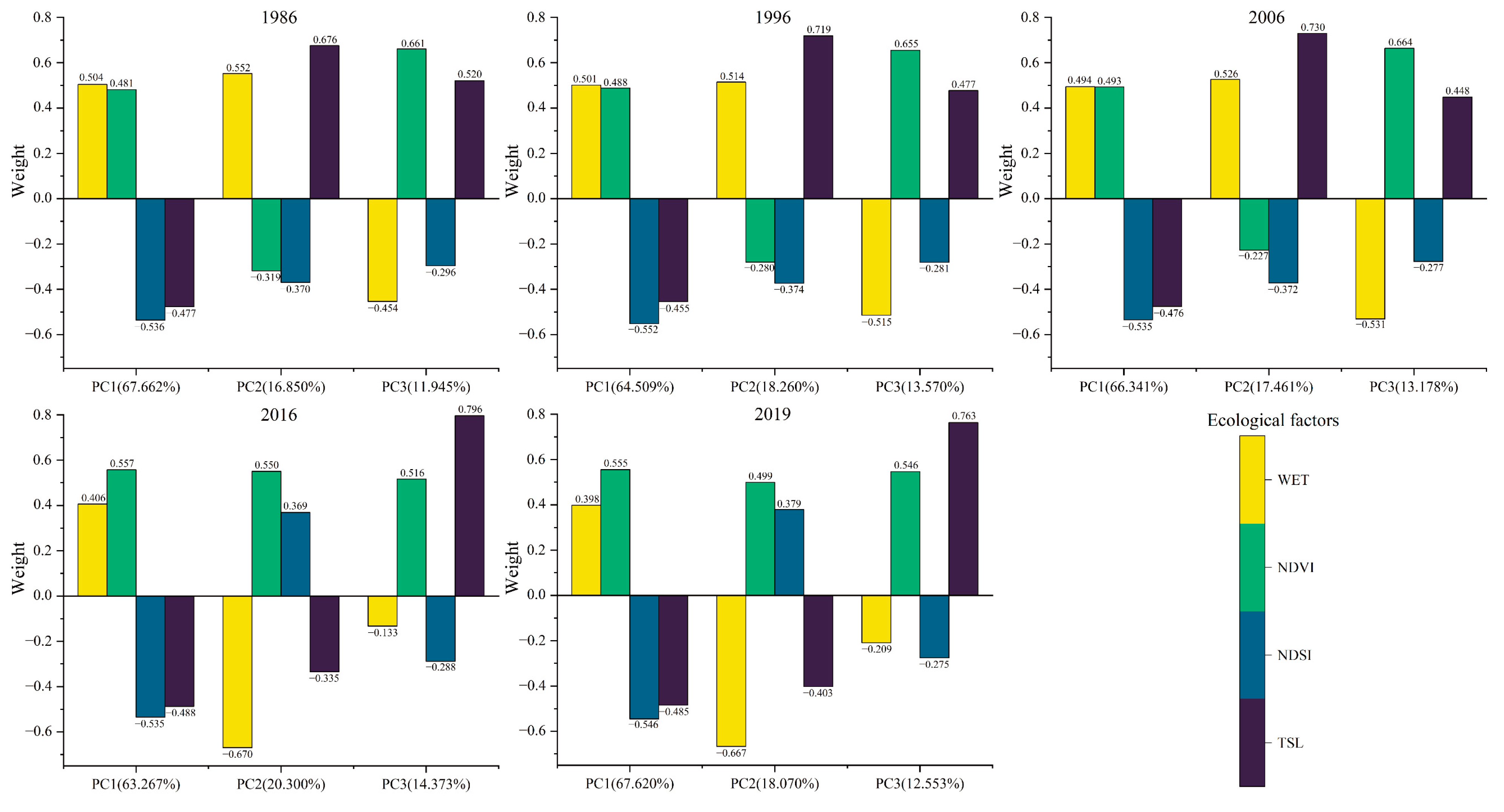
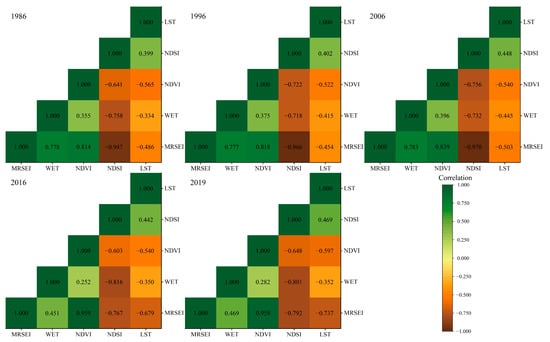
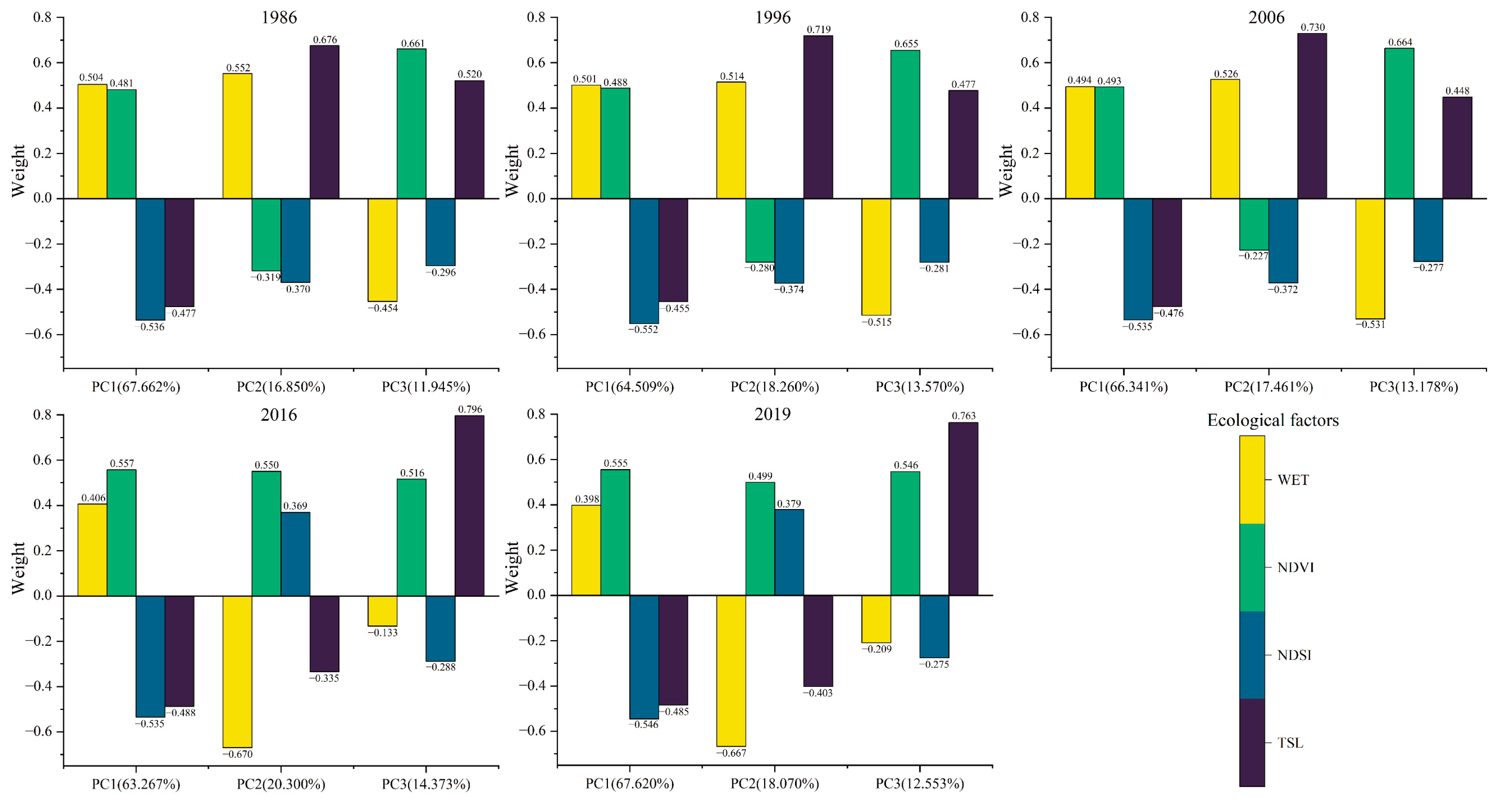
2.3.3. PCA
2.4. Landsat_SR Preprocessing in the GEE
2.4.1. Cloud Mask Processing
2.4.2. Mask for Water and Snow
2.4.3. Image Synthesis Method
2.5. Average Correlation Model
2.6. Trend Analysis Method
3. Research Results
3.1. Model Test
3.2. Annual Mean Value and Spatial Distribution of the MRSEI in the Qaidam Basin
3.3. Trend and Rate of Change in the MRSEI in Different Time Periods
4. Driving Factors
4.1. Change Characteristics of Climate Factors
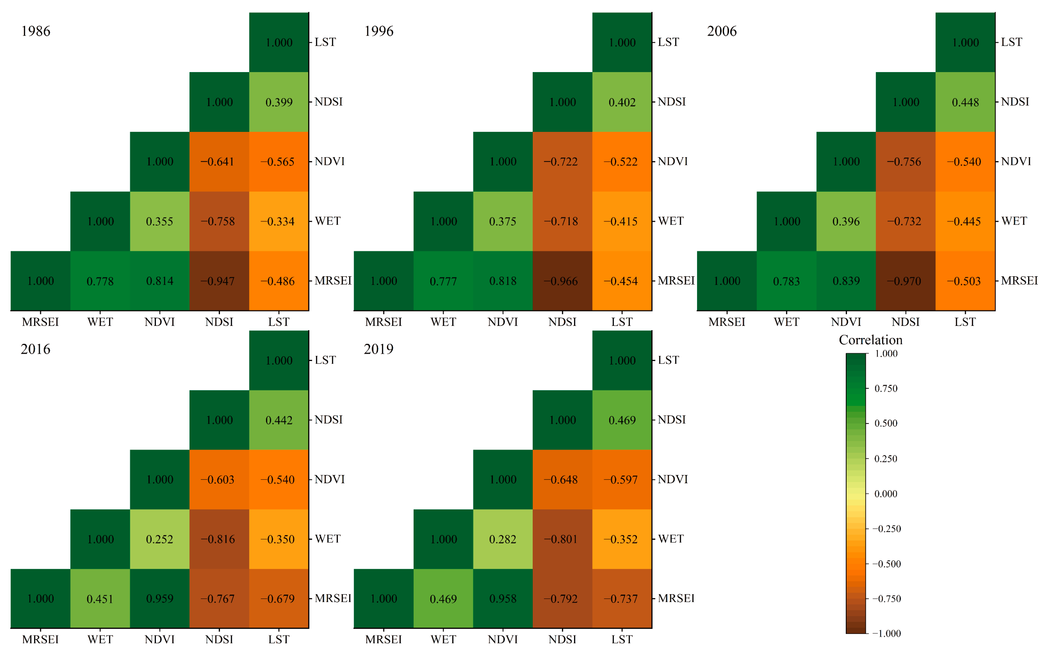
4.2. Correlation Analysis between the MRSEI and Climatic Factors
4.3. Change Characteristics of Human Activities
5. Discussion
6. Conclusions
Author Contributions
Funding
Institutional Review Board Statement
Informed Consent Statement
Data Availability Statement
Acknowledgments
Conflicts of Interest
References
- Zhao, Q.; Huang, G.; Ma, Y. The ecological environment conditions and construction of an ecological civilization in China. Acta Ecol. Sin. 2016, 36, 6328–6335. [Google Scholar]
- Fan, Y.; Fang, C.; Zhang, Q. Coupling coordinated development between social economy and ecological environment in Chinese provincial capital cities-assessment and policy implications. J. Clean. Prod. 2019, 229, 289–298. [Google Scholar] [CrossRef]
- Teng, Y.; Zhan, J.; Liu, W.; Sun, Y.; Agyemang, F.B.; Liang, L.; Li, Z. Spatiotemporal dynamics and drivers of wind erosion on the Qinghai-Tibet Plateau, China. Ecol. Indic. 2021, 123, 107340. [Google Scholar] [CrossRef]
- Liu, C.; Cai, W.; Zhai, M.; Zhu, G.; Zhang, C.; Jiang, Z. Decoupling of wastewater eco-environmental damage and China’s economic development. Sci. Total Environ. 2021, 789, 147980. [Google Scholar] [CrossRef] [PubMed]
- Bohua, Y.; Changhe, L. Assessment of ecological vulnerability on the Tibetan Plateau. Geogr. Res. 2011, 30, 2289–2295. [Google Scholar]
- Xu, J.; Xiao, Y.; Xie, G.; Wang, Y.; Jiang, Y.; Chen, W. Assessment of wind erosion prevention service and its beneficiary areas identification of national key ecological function zone of windbreak and sand fixation type in China. Acta Ecol. Sin. 2019, 39, 5857–5873. [Google Scholar]
- Xu, K.; Wang, J.; Wang, J.; Wang, X.; Chi, Y.; Zhang, X. Environmental function zoning for spatially differentiated environmental policies in China. J. Environ. Manag. 2020, 255, 109485. [Google Scholar] [CrossRef] [PubMed]
- Wei, M.; Jianmin, S.; Rongjin, Y.; Yanwu, L.I. Development and Utilization of Saline Lake Resources and Protection of Ecological Environment in Qaidam Basin in Qinghai Province. Acta Geol. Sin. 2014, 88, 191–193. [Google Scholar]
- Gao, C.; Yu, J.; Min, X.; Cheng, A. Heavy metal concentrations and ecological risk assessment for surface sediment of Da Qaidam Salt Lake in Qaidam Basin, northern Tibetan Plateau. IOP Conf. Ser. Earth Environ. Sci. 2020, 513, 12069. [Google Scholar] [CrossRef]
- Chuang-lin, F.; Chao, B. Water resources optimization and eco-environmental protection in Qaidam Basin. J. Geogr. Sci. 2001, 11, 231–238. [Google Scholar] [CrossRef]
- Li, L.; Fan, Z.; Xiong, K.; Shen, H.; Guo, Q.; Dan, W.; Li, R. Current situation and prospects of the studies of ecological industries and ecological products in eco-fragile areas. Environ. Res. 2021, 201, 111613. [Google Scholar] [CrossRef]
- Avram, S.; Ontel, I.; Gheorghe, C.; Rodino, S.; Roșca, S. Applying a Complex Integrated Method for Mapping and Assessment of the Degraded Ecosystem Hotspots from Romania. Int. J. Environ. Res. Public Health 2021, 18, 11416. [Google Scholar] [CrossRef]
- Morris, P.; Therivel, R. Methods of Environmental Impact Assessment; Taylor & Francis: London, UK, 2001. [Google Scholar]
- Bromberg, S.M. Identifying Ecological Indicators: An Environmental Monitoring and Assessment Program. J. Air Waste Manag. 1990, 40, 976–978. [Google Scholar] [CrossRef][Green Version]
- Hu, L.; Sun, Y.; Collins, G.; Fu, P. Improved estimates of monthly land surface temperature from MODIS using a diurnal temperature cycle (DTC) model. ISPRS J. Photogramm. Remote Sens. 2020, 168, 131–140, Corrigendum in 2021, 171, 118. [Google Scholar] [CrossRef]
- Yan, Y.; Wu, C.; Wen, Y. Determining the impacts of climate change and urban expansion on net primary productivity using the spatio-temporal fusion of remote sensing data. Ecol. Indic. 2021, 127, 107737. [Google Scholar] [CrossRef]
- Deng, C.; Zhang, B.; Cheng, L.; Hu, L.; Chen, F. Vegetation dynamics and their effects on surface water-energy balance over the Three-North Region of China. Agric. Forest Meteorol. 2019, 275, 79–90. [Google Scholar] [CrossRef]
- Zhang, Z.; Ming, D.; Xing, T. Eco-environmental Monitoring and Evaluation of the Tekes Watershed in Xinjiang Using Remote Sensing Images. Procedia Environ. Sci. 2011, 10, 427–432. [Google Scholar] [CrossRef][Green Version]
- Han, J.; Wang, J.; Chen, L.; Xiang, J.; Ling, Z.; Li, Q.; Wang, E. Driving factors of desertification in Qaidam Basin, China: An 18-year analysis using the geographic detector model. Ecol. Indic. 2021, 124, 107404. [Google Scholar] [CrossRef]
- Wei, L.; Jiang, S.; Ren, L.; Tan, H.; Ta, W.; Liu, Y.; Yang, X.; Zhang, L.; Duan, Z. Spatiotemporal changes of terrestrial water storage and possible causes in the closed Qaidam Basin, China using GRACE and GRACE Follow-On data. J. Hydrol. 2021, 598, 126274. [Google Scholar] [CrossRef]
- Zhang, M.; Liu, X. Climate changes in the Qaidam Basin in NW China over the past 40 kyr. Palaeogeogr. Palaeoclimatol. Palaeoecol. 2020, 551, 109679. [Google Scholar] [CrossRef]
- Jia, S.; Zhu, W.; Lű, A.; Yan, T. A statistical spatial downscaling algorithm of TRMM precipitation based on NDVI and DEM in the Qaidam Basin of China. Remote Sens. Environ. 2011, 115, 3069–3079. [Google Scholar] [CrossRef]
- Rao, Y.; Zhu, X.; Chen, J.; Wang, J. An Improved Method for Producing High Spatial-Resolution NDVI Time Series Datasets with Multi-Temporal MODIS NDVI Data and Landsat TM/ETM+ Images. Remote Sens. 2015, 7, 7865–7891. [Google Scholar] [CrossRef]
- Xing, X.; Yan, C.; Jia, Y.; Jia, H.; Lu, J.; Luo, G. An Effective High Spatiotemporal Resolution NDVI Fusion Model Based on Histogram Clustering. Remote Sens. 2020, 12, 3774. [Google Scholar] [CrossRef]
- Nip, M.J.; Udo De Haes, H.A. Ecosystem approaches to environmental quality assessment. Environ. Manag. 1995, 19, 135–145. [Google Scholar] [CrossRef]
- Riano, D.; Chuvieco, E.; Salas, J.; Aguado, I. Assessment of different topographic corrections in Landsat-TM data for mapping vegetation types (2003). IEEE Trans. Geosci. Remote 2003, 41, 1056–1061. [Google Scholar] [CrossRef]
- Song, M.; Luo, Y.; Duan, L. Evaluation of Ecological Environment in the Xilin Gol Steppe based on Modified Remote Sensing Ecological Index Model. Arid. Zone Res. 2019, 36, 1521–1527. [Google Scholar]
- Lenney, M.P.; Woodcock, C.E.; Collins, J.B.; Hamdi, H. The status of agricultural lands in Egypt: The use of multitemporal NDVI features derived from landsat TM. Remote Sens. Environ. 1996, 56, 8–20. [Google Scholar] [CrossRef]
- Seto, K.; Fleishman, E.; Fay, J.; Betrus, C. Linking spatial patterns of bird and butterfly species richness with Landsat TM derived NDVI. Int. J. Remote Sens. 2004, 25, 4309–4324. [Google Scholar] [CrossRef]
- González-Sanpedro, M.C.; Le Toan, T.; Moreno, J.; Kergoat, L.; Rubio, E. Seasonal variations of leaf area index of agricultural fields retrieved from Landsat data. Remote Sens. Environ. 2008, 112, 810–824. [Google Scholar] [CrossRef]
- Xiong, Y.; Xu, W.; Lu, N.; Huang, S.; Wu, C.; Wang, L.; Dai, F.; Kou, W. Assessment of spatial–temporal changes of ecological environment quality based on RSEI and GEE: A case study in Erhai Lake Basin, Yunnan province, China. Ecol. Indic. 2021, 125, 107518. [Google Scholar] [CrossRef]
- Yuan, B.; Fu, L.; Zou, Y.; Zhang, S.; Chen, X.; Li, F.; Deng, Z.; Xie, Y. Spatiotemporal change detection of ecological quality and the associated affecting factors in Dongting Lake Basin, based on RSEI. J. Clean. Prod. 2021, 302, 126995. [Google Scholar] [CrossRef]
- Firozjaei, M.K.; Kiavarz, M.; Homaee, M.; Arsanjani, J.J.; Alavipanah, S.K. A novel method to quantify urban surface ecological poorness zone: A case study of several European cities. Sci. Total Environ. 2021, 757, 143755. [Google Scholar] [CrossRef] [PubMed]
- Jiang, C.; Wu, L.; Liu, D.; Wang, S. Dynamic monitoring of eco-environmental quality in arid desert area by remote sensing:Taking the Gurbantunggut Desert China as an example. Chin. J. Appl. Ecol. 2019, 30, 877–883. [Google Scholar]
- Shi, F.; Li, M. Assessing Land Cover and Ecological Quality Changes under the New-Type Urbanization from Multi-Source Remote Sensing. Sustainability 2021, 13, 11979. [Google Scholar] [CrossRef]
- Gorelick, N.; Hancher, M.; Dixon, M.; Ilyushchenko, S.; Thau, D.; Moore, R. Google Earth Engine: Planetary-scale geospatial analysis for everyone. Remote Sens. Environ. 2017, 202, 18–27. [Google Scholar] [CrossRef]
- Vermote, E.; Justice, C.; Claverie, M.; Franch, B. Preliminary analysis of the performance of the Landsat 8/OLI land surface reflectance product. Remote Sens. Environ. 2016, 185, 46–56. [Google Scholar] [CrossRef] [PubMed]
- Hutchinson, M.F. Interpolating mean rainfall using thin plate smoothing splines. Int. J. Geogr. Inf. Syst. 1995, 9, 385–403. [Google Scholar] [CrossRef]
- Goward, S.N.; Xue, Y.; Czajkowski, K.P. Evaluating land surface moisture conditions from the remotely sensed temperature/vegetation index measurements: An exploration with the simplified simple biosphere model. Remote Sens. Environ. 2002, 79, 225–242. [Google Scholar] [CrossRef]
- Huang, C.; Wylie, B.; Yang, L.; Homer, C.; Zylstra, G. Derivation of a tasselled cap transformation based on Landsat 7 at-satellite reflectance. Int. J. Remote Sens. 2002, 23, 1741–1748. [Google Scholar] [CrossRef]
- Crist, E.P. A TM Tasseled Cap equivalent transformation for reflectance factor data. Remote Sens. Environ. 1985, 17, 301–306. [Google Scholar] [CrossRef]
- Shan, W.; Jin, X.; Ren, J.; Wang, Y.; Xu, Z.; Fan, Y.; Gu, Z.; Hong, C.; Lin, J.; Zhou, Y. Ecological environment quality assessment based on remote sensing data for land consolidation. J. Clean. Prod. 2019, 239, 118126. [Google Scholar] [CrossRef]
- Xu, H. A new index for delineating built-up land features in satellite imagery. Int. J. Remote Sens. 2008, 29, 4269–4276. [Google Scholar] [CrossRef]
- Rikimaru, A.; Roy, P.; Miyatake, S. Tropical forest cover density mapping. Trop. Ecol. 2002, 43, 39–47. [Google Scholar]
- Nichol, J. Remote Sensing of Urban Heat Islands by Day and Night. Photogramm. Eng. Remote Sens. 2005, 71, 613–621. [Google Scholar] [CrossRef]
- Xu, H. A remote sensing urban ecological index and its application. Acta Ecol. Sin. 2013, 33, 7853–7862. [Google Scholar]
- Foga, S.; Scaramuzza, P.L.; Guo, S.; Zhu, Z.; Dilley, R.D.; Beckmann, T.; Schmidt, G.L.; Dwyer, J.L.; Joseph Hughes, M.; Laue, B. Cloud detection algorithm comparison and validation for operational Landsat data products. Remote Sens. Environ. 2017, 194, 379–390. [Google Scholar] [CrossRef]
- Xu, H. A Study on Information Extraction of Water Body with the Modified Normalized Difference Water Index (MNDWI). J. Remote Sens. 2005, 5, 589–595. [Google Scholar]
- Xu, H. A remote sensing index for assessment of regional ecological changes. China Environ. Sci. 2013, 33, 889–897. [Google Scholar]
- Lihong, C.; Puxing, L.; Yaping, H. Comprehensive Evaluation of Ecological Quality and its Factors Analysis in the Shule River Basin Based on RSEI. Chin. J. Soil Sci. 2021, 52, 25–33. [Google Scholar]
- Hua, Z.; Jinyue, S.; Ming, L.; Wuhong, H. Eco-environmental quality assessment and cause analysis of Qilian Mountain National Park based on GEE. Chin. J. Ecol. 2021, 1883–1894. [Google Scholar] [CrossRef]
- Guo, L.; Hongyan, L.; Yi, Y. Global patterns of NDVI-indicated vegetation extremes and their sensitivity to climate extremes. Environ. Res. Lett. 2013, 8, 025009. [Google Scholar]
- Wenbin, Z.; Lv, A.; Jia, S. Spatial distribution of vegetation and the influencing factors in Qaidam Basin based on NDVI. J. Arid Land. 2011, 3, 85–93. [Google Scholar]
- Zhu, W.; Jia, S.; Lü, A.; Yan, T. Analyzing and modeling the coverage of vegetation in the Qaidam Basin of China: The role of spatial autocorrelation. J. Geogr. Sci. 2012, 22, 346–358. [Google Scholar] [CrossRef]
- Jin, X.; Liu, J.; Wang, S.; Xia, W. Vegetation dynamics and their response to groundwater and climate variables in Qaidam Basin, China. Int. J. Remote Sens. 2016, 37, 710–728. [Google Scholar] [CrossRef]
- Zeng, B.; Yang, T. Impacts of climate warming on vegetation in Qaidam Area from 1990 to 2003. Environ. Monit. Assess. 2008, 144, 403–417. [Google Scholar] [CrossRef]
- Zeng, B.; Yang, T. Natural vegetation responses to warming climates in Qaidam Basin 1982–2003. Int. J. Remote Sens. 2009, 30, 5685–5701. [Google Scholar] [CrossRef]
- Lou, J.; Xu, G.; Wang, Z.; Yang, Z.; Ni, S. Multi-Year NDVI Values as Indicator of the Relationship between Spatiotemporal Vegetation Dynamics and Environmental Factors in the Qaidam Basin, China. Remote Sens. 2021, 13, 1240. [Google Scholar] [CrossRef]
- Jun, Y. Discussion on the Genesis and Mechanism of Desertification in Qaidam Basin; Changan University: Xi’an, China, 2004. [Google Scholar]
- Ying, Y.; Yourui, S.; Lijuan, H.; Na, H. Analysis of the Research Status and Prospects of Lycium barbarum from Qaidam Basin. Food Ind. 2014, 35, 210–213. [Google Scholar]
- Xiu, L.; Yao, X.; Chen, M.; Yan, C.Z. Effect of Ecological Construction Engineering on Vegetation Restoration: A Case Study of the Loess Plateau. Remote Sens. 2021, 13, 1407. [Google Scholar] [CrossRef]
- Wang, C.; Lin, Z. Environmental Policies in China over the Past 10 Years: Progress, Problems and Prospects. Procedia Environ. Sci. 2010, 2, 1701–1712. [Google Scholar]
- Liu, X.; Lai, Z.; Ma, Y.; Yu, L. Land Cover Changes in Qaidam Area from 2000 to 2008. In Proceedings of the International Conference on Multimedia Technology, Ningbo, China, 29–31 October 2010; pp. 1–4. [Google Scholar]
- Rohrmann, A.; Heermance, R.; Kapp, P.; Cai, F. Wind as the primary driver of erosion in the Qaidam Basin, China. Earth Planet. Sci. Lett. 2013, 374, 1–10. [Google Scholar] [CrossRef]












| Sensor Type | Landsat Collections | Filter Date | Bands | 
|---|---|---|---|
| Landsat 5 ETM | Collection 1_Surface Reflectance | 1985–2011, July(01)~August(31) | B(1~7) | 
| Landsat 7 ETM+ | Collection 1_Surface Reflectance | 1999–2013, July(01)~August(31) | B(1~7) | 
| Landsat 8 OLI/TIRS | Collection 1_Surface Reflectance | 2013–2020, July(01)~August(31) | B(2~7,10) | 
| Index | Formula | Explanation | 
|---|---|---|
| WET | , , represent Landsat Surface Reflectance | |
| NDVI | ||
| NDSI | ||
| LST | 
| Trends | β(Sen’ Slope) | Z(M-K) | 
|---|---|---|
| Highly significant decrease | β < 0 | |Z| ≥ 2.58 | 
| Significant decrease | β < 0 | 1.96 ≤ |Z| < 2.58 | 
| Not significant decrease | β < 0 | |Z| < 1.96 | 
| Not significant increase | β > 0 | |Z| < 1.96 | 
| Significant increase | β > 0 | 1.96 ≤ |Z| < 2.58 | 
| Highly significant increase | β > 0 | |Z| ≥ 2.58 | 
| Time | MRSEI | 
|---|---|
| 1986 | 0.677PC1 + 0.169PC2 + 0.119PC3 | 
| 0.380WET + 0.351NDVI − 0.460NDSI − 0.147TSL | |
| 1996 | 0.645PC1 + 0.182PC2 + 0.136PC3 | 
| 0.347WET + 0.353 NDVI − 0.463 NDSI − 0.098TSL | |
| 2006 | 0.663PC1 + 0.175PC2 + 0.132PC3 | 
| 0.350WET + 0.375NDVI − 0.456NDSI − 0.129TSL | |
| 2016 | 0.633PC1 + 0.203PC2 + 0.144PC3 | 
| 0.102WET + 0.538NDVI − 0.305NDSI − 0.262TSL | |
| 2019 | 0.676PC1 + 0.181PC2 + 0.126PC3 | 
| 0.122WET + 0.534NDVI − 0.335NDSI − 0.305TSL | 
| Periods | Parameters | Highly Significant | Significant | Not Significant | Not Significant | Significant | Highly Significant | 
|---|---|---|---|---|---|---|---|
| Decrease | Decrease | Decrease | Increase | Increase | Increase | ||
| 1986–2002 | Area (km2) | 77,661.40 | 46,937.16 | 67,653.53 | 49,919.50 | 13,624.14 | 15,188.27 | 
| Percentage (%) | 28.66 | 17.32 | 24.97 | 18.42 | 5.03 | 5.60 | |
| rates (year−1) | −6.68 | −4.81 | −2.14 | 1.86 | 4.21 | 7.08 | |
| 2003–2019 | Area (km2) | 21,349.61 | 19,970.51 | 73,971.14 | 81,409.64 | 29,220.53 | 45,945.41 | 
| Percentage (%) | 7.85 | 7.35 | 27.21 | 29.94 | 10.75 | 16.90 | |
| rates (year−1) | −5.24 | −4.04 | −1.97 | 2.21 | 4.51 | 6.55 | |
| 1986–2019 | Area (km2) | 25,181.00 | 21,737.70 | 70,585.50 | 60,249.70 | 20,855.30 | 73,617.80 | 
| Percentage (%) | 9.25 | 7.99 | 25.93 | 22.13 | 7.66 | 27.04 | |
| rates (year−1) | −2.57 | −1.68 | −0.82 | 0.77 | 1.62 | 3.18 | 
| Periods | Parameters | Decrease | Increase | ||||
|---|---|---|---|---|---|---|---|
| Highly | Significant | Not | Highly | Significant | Not | ||
| Significant | Significant | Significant | Significant | ||||
| 1986–2019 | Temperature | 0.00 | 0.00 | 0.00 | 274,879.00 | 0.00 | 0.00 | 
| 0.00 | 0.00 | 0.00 | 100.00 | 0.00 | 0.00 | ||
| Precipitation | 0.00 | 0.00 | 0.00 | 182,151.00 | 44,091.00 | 48,637.00 | |
| 0.00 | 0.00 | 0.00 | 66.27 | 16.04 | 17.69 | ||
| 1986–2002 | Temperature | 0.00 | 0.00 | 0.00 | 13,916.00 | 59,862.00 | 201,101.00 | 
| 0.00 | 0.00 | 0.00 | 5.06 | 21.78 | 73.16 | ||
| Precipitation | 0.00 | 0.00 | 112,405.00 | 2886.00 | 27,576.00 | 132,012.00 | |
| 0.00 | 0.00 | 40.89 | 1.05 | 10.03 | 48.03 | ||
| 2003–2019 | Temperature | 0.00 | 0.00 | 0.00 | 6958.00 | 10,499.00 | 257,422.00 | 
| 0.00 | 0.00 | 0.00 | 2.53 | 3.82 | 93.65 | ||
| Precipitation | 0.00 | 0.00 | 0.00 | 33,529.00 | 98,935.00 | 142,415.00 | |
| 0.00 | 0.00 | 0.00 | 12.20 | 35.99 | 51.81 | ||
| Periods | Parameters | Negative Correlation | Positive Correlation | ||||
|---|---|---|---|---|---|---|---|
| Highly | Significant | Not | Highly | Significant | Not | ||
| Significant | Significant | Significant | Significant | ||||
| 1986–2019 | Temperature | 3153.00 | 10,208.00 | 97,198.00 | 43,622.00 | 29,404.00 | 75,241.00 | 
| 1.22 | 3.94 | 37.55 | 16.85 | 11.36 | 29.07 | ||
| Precipitation | 6123.00 | 13,967.00 | 53,245.00 | 41,199.00 | 36,517.00 | 98,607.00 | |
| 2.45 | 5.59 | 21.33 | 16.50 | 14.63 | 39.50 | ||
| 1986–2002 | Temperature | 107.00 | 1589.00 | 170,005.00 | 137.00 | 1125.00 | 91,338.00 | 
| 0.04 | 0.60 | 64.32 | 0.05 | 0.43 | 34.56 | ||
| Precipitation | 811.00 | 6269.00 | 140,781.00 | 65.00 | 1134.00 | 112,371.00 | |
| 0.31 | 2.40 | 53.85 | 0.02 | 0.43 | 42.98 | ||
| 2003–2019 | Temperature | 74.00 | 763.00 | 129,081.00 | 239.00 | 2498.00 | 129,465.00 | 
| 0.03 | 0.29 | 49.25 | 0.09 | 0.95 | 49.39 | ||
| Precipitation | 3148.00 | 9650.00 | 65,179.00 | 15,037.00 | 31,601.00 | 128,710.00 | |
| 1.24 | 3.81 | 25.73 | 5.94 | 12.47 | 50.81 | ||
| Publisher’s Note: MDPI stays neutral with regard to jurisdictional claims in published maps and institutional affiliations. | 
© 2021 by the authors. Licensee MDPI, Basel, Switzerland. This article is an open access article distributed under the terms and conditions of the Creative Commons Attribution (CC BY) license (https://creativecommons.org/licenses/by/4.0/).
Share and Cite
Jia, H.; Yan, C.; Xing, X. Evaluation of Eco-Environmental Quality in Qaidam Basin Based on the Ecological Index (MRSEI) and GEE. Remote Sens. 2021, 13, 4543. https://doi.org/10.3390/rs13224543
Jia H, Yan C, Xing X. Evaluation of Eco-Environmental Quality in Qaidam Basin Based on the Ecological Index (MRSEI) and GEE. Remote Sensing. 2021; 13(22):4543. https://doi.org/10.3390/rs13224543
Chicago/Turabian StyleJia, Haowei, Changzhen Yan, and Xuegang Xing. 2021. "Evaluation of Eco-Environmental Quality in Qaidam Basin Based on the Ecological Index (MRSEI) and GEE" Remote Sensing 13, no. 22: 4543. https://doi.org/10.3390/rs13224543
APA StyleJia, H., Yan, C., & Xing, X. (2021). Evaluation of Eco-Environmental Quality in Qaidam Basin Based on the Ecological Index (MRSEI) and GEE. Remote Sensing, 13(22), 4543. https://doi.org/10.3390/rs13224543
 
         
                                                

 
                         
       