Sentinel-2 Recognition of Uncovered and Plastic Covered Agricultural Soil
Abstract
:1. Introduction
2. Materials and Methods
2.1. Study Area and the Agricultural Parcel Dataset
2.2. Sentinel-2 Imagery
2.3. Data Pre-Processing
2.3.1. Overview
2.3.2. Filtering Parcel Geometry
2.3.3. Pre-Processing of Sentinel-2 Data
2.4. Acquisition-Date Selection per Parcel
2.5. Anomaly Detection
2.6. Large Non-Plastic Greenhouses and Temporary Soil Covers
2.7. The Plastic Greenhouse Index
2.8. Accuracy Assessment Using High Resolution Data
3. Results
3.1. Extracting Reflectance Information of Sentinel-2 for Agricultural Parcels
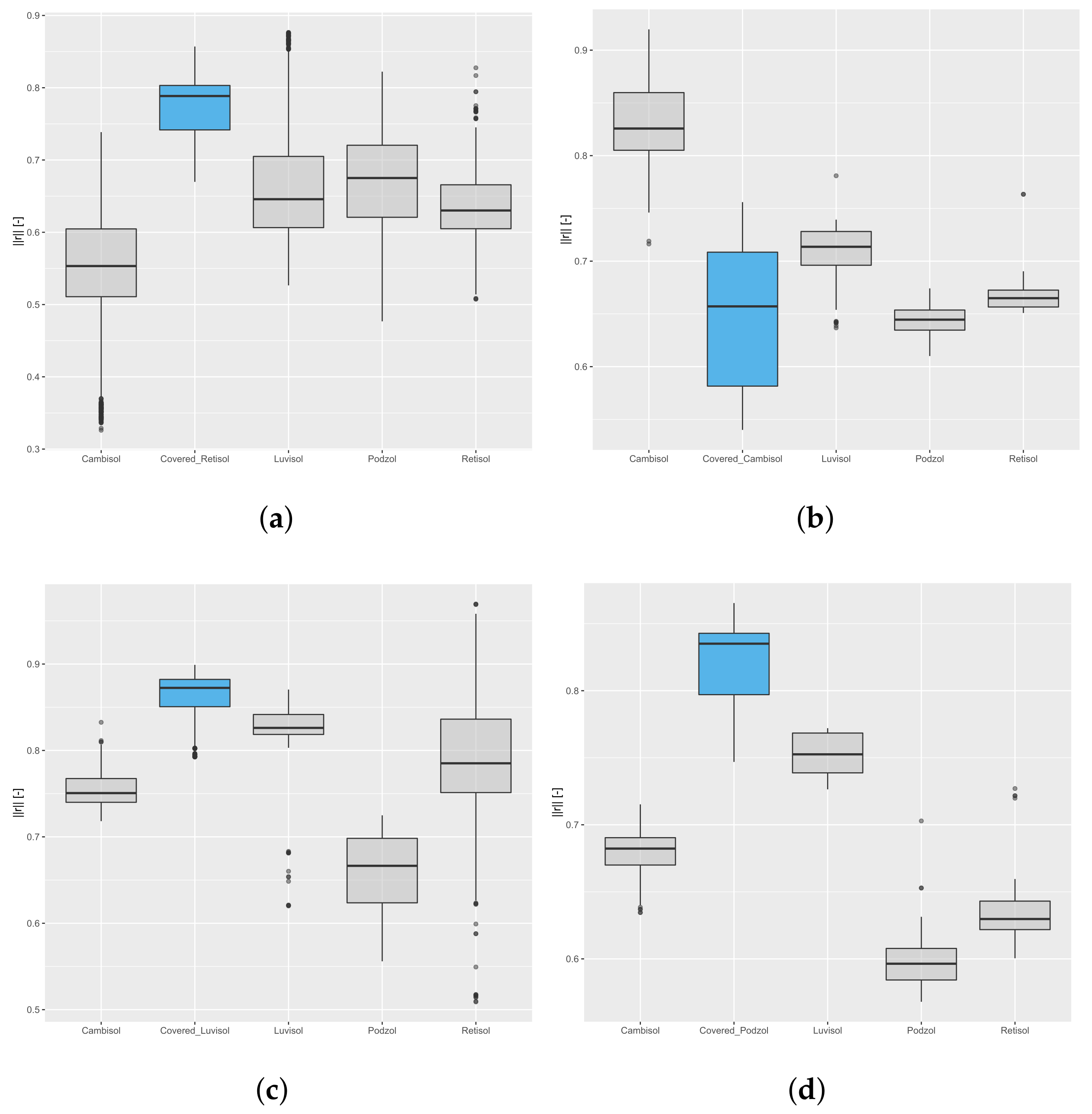
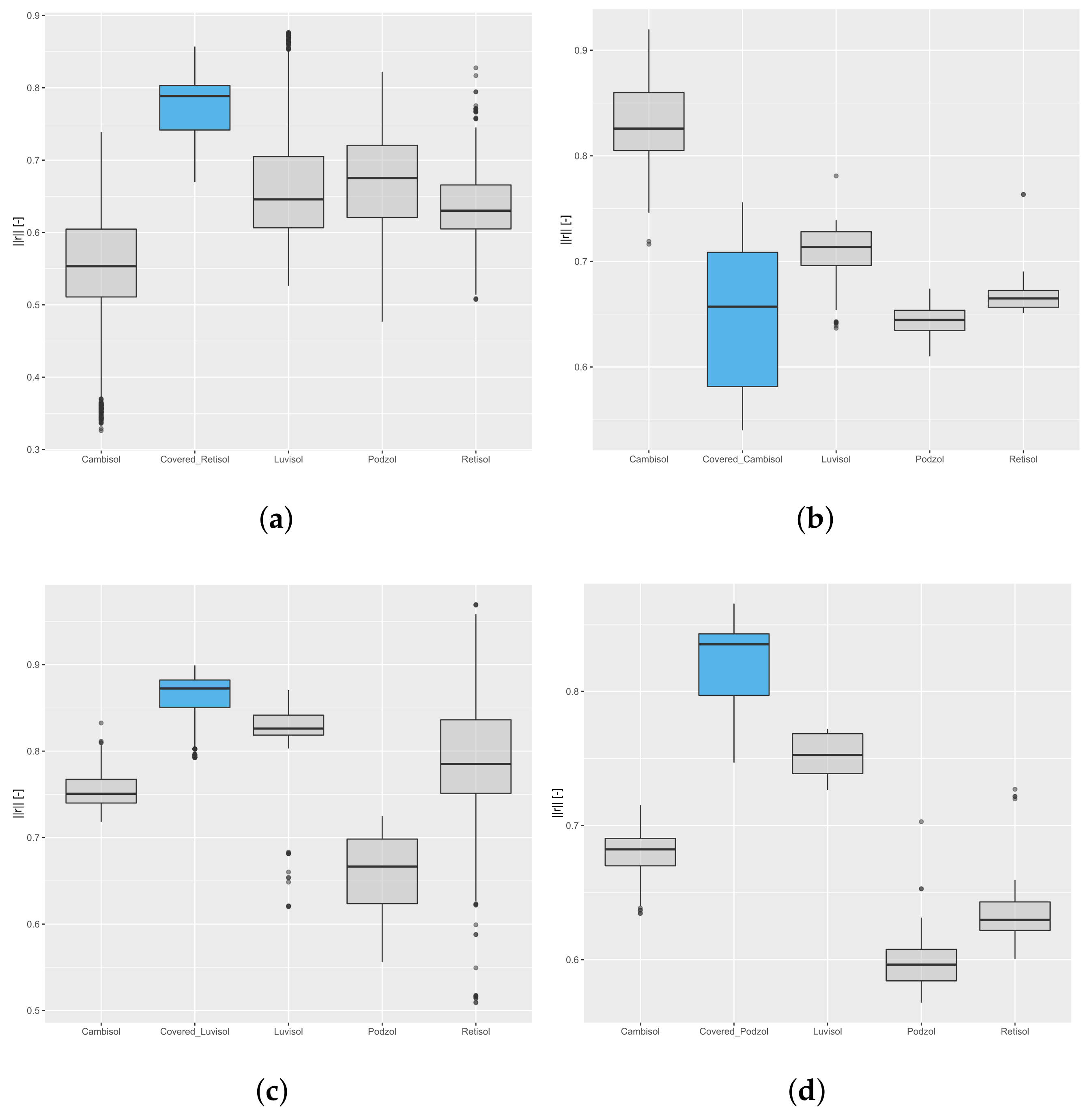
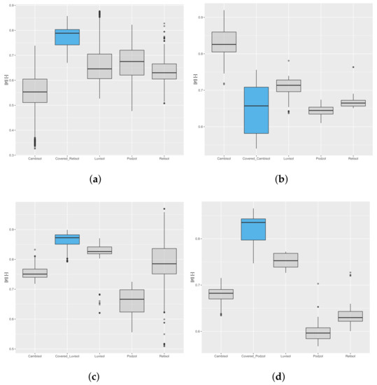
3.2. Temporary Covers on Various Soil Types
3.3. Detection of Covered Parcels by SAM and RPGI
3.4. Detailing the Crops That Utilise Artificial Covers
3.4.1. Accuracy Assessment of Artificial Cover Detection Using High Resolution Data
3.4.2. Excluding Miscellaneous Anomalies
3.4.3. Detection of Artificial Covers in the Time-Series
4. Discussion
5. Conclusions
Author Contributions
Funding
Institutional Review Board Statement
Informed Consent Statement
Data Availability Statement
Conflicts of Interest
References
- McBratney, A.; Field, D.J.; Koch, A. The dimensions of soil security. Geoderma 2014, 213, 203–213. [Google Scholar] [CrossRef] [Green Version]
- Hengl, T.; De Jesus, J.M.; Heuvelink, G.B.; Gonzalez, M.R.; Kilibarda, M.; Blagotić, A.; Shangguan, W.; Wright, M.N.; Geng, X.; Bauer-Marschallinger, B.; et al. SoilGrids250m: Global gridded soil information based on machine learning. PLoS ONE 2017, 12, e169748. [Google Scholar] [CrossRef] [PubMed] [Green Version]
- Durgun, Y.O.; Gobin, A.; Van De Kerchove, R.; Tychon, B. Crop Area Mapping Using 100-m Proba-V Time Series. Remote Sens. 2016, 8, 585. [Google Scholar] [CrossRef] [Green Version]
- Marshall, M.; Crommelinck, S.; Kohli, D.; Perger, C.; Yang, M.Y.; Ghosh, A.; Fritz, S.; de Bie, K.; Nelson, A. Crowd-driven and automated mapping of field boundaries in highly fragmented agricultural landscapes of Ethiopia with very high spatial resolution imagery. Remote Sens. 2019, 11, 2082. [Google Scholar] [CrossRef] [Green Version]
- Van Tricht, K.; Gobin, A.; Gilliams, S.; Piccard, I. Synergistic Use of Radar Sentinel-1 and Optical Sentinel-2 Imagery for Crop Mapping: A Case Study for Belgium. Remote Sens. 2018, 10, 1642. [Google Scholar] [CrossRef] [Green Version]
- Vannoppen, A.; Gobin, A. Estimating Farm Wheat Yields from NDVI and Meteorological Data. Agronomy 2021, 11, 946. [Google Scholar] [CrossRef]
- Tenkorang, F.; Lowenberg-DeBoer, J. On-Farm Profitability of Remote Sensing in Agriculture. J. Terr. Obs. 2008, 1, 6. [Google Scholar]
- Saiz-Rubio, V.; Rovira-Más, F. From smart farming towards agriculture 5.0: A review on crop data management. Agronomy 2020, 10, 207. [Google Scholar] [CrossRef] [Green Version]
- Weiss, M.; Jacob, F.; Duveiller, G. Remote sensing for agricultural applications: A meta-review. Remote Sens. Environ. 2020, 236, 111402. [Google Scholar] [CrossRef]
- Castaldi, F.; Palombo, A.; Santini, F.; Pascucci, S.; Pignatti, S.; Casa, R. Evaluation of the potential of the current and forthcoming multispectral and hyperspectral imagers to estimate soil texture and organic carbon. Remote Sens. Environ. 2016, 179, 54–65. [Google Scholar] [CrossRef]
- Demattê, J.; Troula, C.; Rizzo, R.; Lucas, J. Remote Sensing of Environment Geospatial Soil Sensing System (GEOS3): A powerful data mining procedure to retrieve soil spectral re fl ectance from satellite images. Remote Sens. Environ. 2018, 212, 161–175. [Google Scholar] [CrossRef]
- Castaldi, F.; Chabrillat, S.; Don, A.; van Wesemael, B. Soil organic carbon mapping using LUCAS topsoil database and Sentinel-2 data: An approach to reduce soil moisture and crop residue effects. Remote Sens. 2019, 11, 2121. [Google Scholar] [CrossRef] [Green Version]
- Mzid, N.; Pignatti, S.; Huang, W.; Casa, R. An analysis of bare soil occurrence in arable croplands for remote sensing topsoil applications. Remote Sens. 2021, 13, 474. [Google Scholar] [CrossRef]
- Nguyen, C.T.; Chidthaisong, A.; Kieu Diem, P.; Huo, L.Z. A Modified Bare Soil Index to Identify Bare Land Features during Agricultural Fallow-Period in Southeast Asia Using Landsat 8. Land 2021, 10, 231. [Google Scholar] [CrossRef]
- Rogge, D.; Bauer, A.; Zeidler, J.; Mueller, A.; Esch, T.; Heiden, U. Remote Sensing of Environment Building an exposed soil composite processor (SCMaP) for mapping spatial and temporal characteristics of soils with Landsat imagery (1984–2014). Remote Sens. Environ. 2018, 205, 1–17. [Google Scholar] [CrossRef] [Green Version]
- Aguilar, M.A.; Vallario, A.; Aguilar, F.J.; Lorca, A.G.; Parente, C. Object-based greenhouse horticultural crop identification from multi-temporal satellite imagery: A case study in Almeria, Spain. Remote Sens. 2015, 7, 7378–7401. [Google Scholar] [CrossRef] [Green Version]
- Novelli, A.; Aguilar, M.A.; Nemmaoui, A.; Aguilar, F.J.; Tarantino, E. Performance evaluation of object based greenhouse detection from Sentinel-2 MSI and Landsat 8 OLI data: A case study from Almería (Spain). Int. J. Appl. Earth Obs. Geoinf. 2016, 52, 403–411. [Google Scholar] [CrossRef] [Green Version]
- Yang, D.; Chen, J.; Zhou, Y.; Chen, X.; Chen, X.; Cao, X. Mapping plastic greenhouse with medium spatial resolution satellite data: Development of a new spectral index. ISPRS J. Photogramm. Remote Sens. 2017, 128, 47–60. [Google Scholar] [CrossRef]
- Nemmaoui, A.; Aguilar, M.A.; Aguilar, F.J.; Novelli, A.; Lorca, A.G. Greenhouse crop identification from multi-temporal multi-sensor satellite imagery using object-based approach: A case study from Almería (Spain). Remote Sens. 2018, 10, 1751. [Google Scholar] [CrossRef] [Green Version]
- González-Yebra, Ó.; Aguilar, M.A.; Nemmaoui, A.; Aguilar, F.J. Methodological proposal to assess plastic greenhouses land cover change from the combination of archival aerial orthoimages and Landsat data. Biosyst. Eng. 2018, 175, 36–51. [Google Scholar] [CrossRef]
- Jiménez-Lao, R.; Aguilar, F.J.; Nemmaoui, A.; Aguilar, M.A. Remote sensing of agricultural greenhouses and plastic-mulched farmland: An analysis of worldwide research. Remote Sens. 2020, 12, 2649. [Google Scholar] [CrossRef]
- Ou, C.; Yang, J.; Du, Z.; Liu, Y.; Feng, Q.; Zhu, D. Long-term mapping of a greenhouse in a typical protected agricultural region using landsat imagery and the google earth engine. Remote Sens. 2020, 12, 55. [Google Scholar] [CrossRef] [Green Version]
- Koc-San, D.; Sonmez, N.K. Plastic and glass greenhouses detection and delineation from WorldView-2 satellite imagery. In Proceedings of the International Archives of the Photogrammetry, Remote Sensing and Spatial Information Sciences—ISPRS, 2016 XXIII ISPRS Congress, Prague, Czech Republic, 12–19 July 2016; Archives: Prague, Czech Republic, 2016; Volume 41, pp. 257–262. [Google Scholar] [CrossRef]
- Levin, N.; Lugassi, R.; Ramon, U.; Braun, O.; Ben-Dor, E. Remote sensing as a tool for monitoring plasticulture in agricultural landscapes. Int. J. Remote Sens. 2007, 28, 183–202. [Google Scholar] [CrossRef]
- Lanorte, A.; De Santis, F.; Nolè, G.; Blanco, I.; Loisi, R.V.; Schettini, E.; Vox, G. Agricultural plastic waste spatial estimation by Landsat 8 satellite images. Comput. Electron. Agric. 2017, 141, 35–45. [Google Scholar] [CrossRef]
- Pereira, A.R.; Hernandez, A.; James, B.; Lemoine, B.; Carranca, C.; Rayns, F.; Cornelis, G.; Erälinna, L.; Czech, L.; Minipaper A: The Actual Uses of Plastics in Agriculture across EU: An Overview and the Environmental Problems. Technical Report February, EIP-AGRI Focus Group Reducing the Plastic Footprint of Agriculture Overview and the Environmental Problems. 2021. Available online: https://ec.europa.eu/eip/agriculture/en/publications/eip-agri-focus-group-plastic-footprint-final (accessed on 19 October 2021).
- Lu, L.; Di, L.; Ye, Y. A decision-tree classifier for extracting transparent plastic-mulched Landcover from landsat-5 TM images. IEEE J. Sel. Top. Appl. Earth Obs. Remote Sens. 2014, 7, 4548–4558. [Google Scholar] [CrossRef]
- Xiong, Y.; Zhang, Q.; Chen, X.; Bao, A.; Zhang, J.; Wang, Y. Large scale agricultural plastic mulch detecting and monitoring with multi-source remote sensing data: A case study in Xinjiang, China. Remote Sens. 2019, 11, 2088. [Google Scholar] [CrossRef] [Green Version]
- Lu, L.; Tao, Y.; Di, L. Object-based plastic-mulched landcover extraction using integrated Sentinel-1 and Sentinel-2 data. Remote Sens. 2018, 10, 1820. [Google Scholar] [CrossRef] [Green Version]
- Vannoppen, A.; Degerickx, J.; Gobin, A. Evaluating Landscape Attractiveness with Geospatial Data, A Case Study in Flanders, Belgium. Land 2021, 10, 703. [Google Scholar] [CrossRef]
- Platteau, J.; Lambrechts, G.; Roels, K.; Van Bogaert, T.; Luypaert, G.; Merckaert, B. Challenges for Flemish Agriculture and Horticulture, Technical Report; Department of Agriculture and Fisheries: Brussels, Belgium, 2018. [Google Scholar]
- Dondeyne, S.; Vanierschot, L.; Langohr, R.; Ranst, E.V.; Deckers, J. The Soil Map of the Flemish Region Converted to the 3rd Edition of the World Reference Base for soil Resources; Technical Report; Onderzoek Uitgevoerd in Opdracht van de Vlaamse Overheid; Departement Leefmilieu, Natuur en Energie Afdeling Land en Bodembescherming, Ondergrond, Natuurlijke Rijkdommen: Brussels, Belgium., 2014. [Google Scholar]
- Drusch, M.; Del Bello, U.; Carlier, S.; Colin, O.; Fernandez, V.; Gascon, F.; Hoersch, B.; Isola, C.; Laberinti, P.; Martimort, P.; et al. Sentinel-2: ESA’s Optical High-Resolution Mission for GMES Operational Services. Remote Sens. Environ. 2012, 120, 25–36. [Google Scholar] [CrossRef]
- Gorelick, N.; Hancher, M.; Dixon, M.; Ilyushchenko, S.; Thau, D.; Moore, R. Google Earth Engine: Planetary-scale geospatial analysis for everyone. Remote Sens. Environ. 2017, 202, 18–27. [Google Scholar] [CrossRef]
- Pebesma, E. Simple Features for R: Standardized Support for Spatial Vector Data. R J. 2018, 10, 439–446. [Google Scholar] [CrossRef] [Green Version]
- Pebesma, E.J.; Bivand, R.S. Classes and methods for spatial data in R. R News 2005, 5, 9–13. [Google Scholar]
- Bivand, K.; Keitt, T.; Rowlingson, B.; Pebesma, E.; Sumner, M.; Hijmans, R.; Baston, D.; Rouault, E.; Warmerdam, F.; Ooms, J.; et al. Rrgdal: Bindings for the ’Geospatial’ Data Abstraction Library. 2021. Available online: https://cran.r-project.org/web/packages/rgdal/index.html (accessed on 19 October 2021).
- Bivand, R.; Rundel, C.; Rgeos: Interface to Geometry Engine—Open Source (’GEOS’). R Package Version 0.5-3. 2020. Available online: https://CRAN.R-project.org/package=rgeos (accessed on 19 October 2021).
- Van Etten, R.J.H.J. Raster: Geographic Analysis and Modeling with Raster Data. R Package Version 2.0-12. 2012. [Google Scholar]
- Evans, J.S. spatialEco, R Package Version 1.3-6. 2021. Available online: https://cran.r-project.org/web/packages/spatialEco/index.html (accessed on 19 October 2021).
- Cooley, D. Geojsonsf: GeoJSON to Simple Feature Converter. 2019. Available online: https://CRAN.R-project.org/package=geojsonsf (accessed on 19 October 2021).
- Wickham, H.; Averick, M.; Bryan, J.; Chang, W.; McGowan, L.D.; François, R.; Grolemund, G.; Hayes, A.; Henry, L.; Hester, J.; et al. Welcome to the tidyverse. J. Open Source Softw. 2019, 4, 1686. [Google Scholar] [CrossRef]
- Beleites, C.; Sergo, V. hyperSpec: A Package to Handle Hyperspectral Data Sets in R. version 0.100. Available online: https://cran.r-project.org/web/packages/hyperSpec/hyperSpec.pdf (accessed on 19 October 2021).
- Vajsová, B.; Fasbender, D.; Wirnhardt, C.; Lemajic, S.; Devos, W. Assessing spatial limits of Sentinel-2 data on arable crops in the context of checks by monitoring. Remote Sens. 2020, 12, 2195. [Google Scholar] [CrossRef]
- Comber, A.J.; Birnie, R.V.; Hodgson, M. A retrospective analysis of land cover change using a polygon shape index. Glob. Ecol. Biogeogr. 2003, 12, 207–215. [Google Scholar] [CrossRef] [Green Version]
- Louis, J.; Debaecker, V.; Pflug, B.; Main-Knorn, M.; Bieniarz, J.; Mueller-Wilm, U.; Cadau, E.; Gascon, F. Sentinel-2 SEN2COR: L2A Processor for Users; European Space Agency, (Special Publication) ESA SP:, 2016; Volume SP-740, pp. 9–13. Available online: https://elib.dlr.de/107381/1/LPS2016_sm10_3louis.pdf (accessed on 19 October 2021).
- Ibrahim, E.; Jiang, J.; Lema, L.; Barnab, P.; Giuliani, G.; Lacroix, P.; Pirard, E. Cloud and Cloud-Shadow Detection for Applications in Mapping Small-Scale Mining in Colombia Using Sentinel-2 Imagery. Remote Sens. 2021, 13, 736. [Google Scholar] [CrossRef]
- Coluzzi, R.; Imbrenda, V.; Lanfredi, M.; Simoniello, T. A first assessment of the Sentinel-2 Level 1-C cloud mask product to support informed surface analyses. Remote Sens. Environ. 2018, 217, 426–443. [Google Scholar] [CrossRef]
- Nguyen, M.D.; Baez-Villanueva, O.M.; Bui, D.D.; Nguyen, P.T.; Ribbe, L. Harmonization of landsat and sentinel 2 for crop monitoring in drought prone areas: Case studies of Ninh Thuan (Vietnam) and Bekaa (Lebanon). Remote Sens. 2020, 12, 281. [Google Scholar] [CrossRef] [Green Version]
- Baetens, L.; Desjardins, C.; Hagolle, O. Validation of Copernicus Sentinel-2 Cloud Masks Obtained from MAJA, Sen2Cor, and FMask Processors Using Reference Cloud Masks Generated with a Supervised Active Learning Procedure. Remote Sens. 2019, 11, 433. [Google Scholar] [CrossRef] [Green Version]
- Hagolle, O.; Huc, M.; Desjardins, C.; Auer, S.; Richter, R. MAJA Algorithm Theoretical Basis Document. 2017. Available online: https://doi.org/10.5281/zenodo.1209633 (accessed on 19 October 2021).
- Zhu, Z.; Woodcock, C. Object-based cloud and cloud shadow detection in LANDSAT imagery. Remote Sens. Environ. 2012, 118, 83–94. [Google Scholar] [CrossRef]
- Shabou, M.; Mougenot, B.; Chabaane, Z.L.; Walter, C.; Boulet, G.; Aissa, N.B.; Zribi, M. Soil clay content mapping using a time series of Landsat TM data in semi-arid lands. Remote Sens. 2015, 7, 6059–6078. [Google Scholar] [CrossRef] [Green Version]
- Safanelli, J.L.; Chabrillat, S.; Ben-Dor, E.; Demattê, J.A. Multispectral models from bare soil composites for mapping topsoil properties over Europe. Remote Sens. 2020, 12, 1369. [Google Scholar] [CrossRef]
- Koroleva, P.V.; Rukhovich, D.I.; Rukhovich, A.D.; Rukhovich, D.D.; Kulyanitsa, A.L.; Trubnikov, A.V.; Kalinina, N.V.; Simakova, M.S. Location of Bare Soil Surface and Soil Line on the RED—NIR Spectral Plane. Eurasian Soil Sci. 2017, 50, 1375–1385. [Google Scholar] [CrossRef]
- Lehnert, L.W.; Meyer, H.; Obermeier, W.A.; Silva, B.; Regeling, B.; Thies, B.; Bendix, J. Hyperspectral Data Analysis in R: The hsdar Package. J. Stat. Softw. 2019, 89, 1–23. [Google Scholar] [CrossRef] [Green Version]
- Sayão, V.M.; Demattê, J.A. Soil texture and organic carbon mapping using surface temperature and reflectance spectra in Southeast Brazil. Geoderma Reg. 2018, 14, e00174. [Google Scholar] [CrossRef]
- Zeng, R.; Rossiter, D.G.; Zhao, Y.G.; Li, D.C.; Zhang, G.L. Forensic soil source identification: Comparing matching by color, vis-NIR spectroscopy and easily-measured physio-chemical properties. Forensic Sci. Int. 2020, 317, 110544. [Google Scholar] [CrossRef] [PubMed]
- Xu, Y.; Shi, J.; Du, J. An improved endmember selection method based on vector length for MODIS reflectance channels. Remote Sens. 2015, 7, 6280–6295. [Google Scholar] [CrossRef] [Green Version]
- Silvero, N.E.Q.; Demattê, J.A.M.; Amorim, M.T.A.; dos Santos, N.V.; Rizzo, R.; Safanelli, J.L.; Poppiel, R.R.; de Sousa Mendes, W.; Bonfatti, B.R. Soil variability and quantification based on Sentinel-2 and Landsat-8 bare soil images: A comparison. Remote Sens. Environ. 2021, 252, 112117. [Google Scholar] [CrossRef]
- Casa, R.; Castaldi, F.; Pascucci, S.; Palombo, A.; Pignatti, S. A comparison of sensor resolution and calibration strategies for soil texture estimation from hyperspectral remote sensing. Geoderma 2013, 197–198, 17–26. [Google Scholar] [CrossRef]
- Demattê, J.A.M.; Safanelli, J.L.; Poppiel, R.R.; Rizzo, R.; Silvero, N.E.Q.; Mendes, W.D.S.; Bonfatti, B.R.; Dotto, A.C.; Salazar, D.F.U.; Mello, F.A.D.O.; et al. Bare Earth’s Surface Spectra as a Proxy for Soil Resource Monitoring. Sci. Rep. 2020, 10, 4461. [Google Scholar] [CrossRef]
- Dennison, P.E.; Halligan, K.Q.; Roberts, D.A. A comparison of error metrics and constraints for multiple endmember spectral mixture analysis and spectral angle mapper. Remote Sens. Environ. 2004, 93, 359–367. [Google Scholar] [CrossRef]
- Picuno, P.; Tortora, A.; Capobianco, R.L. Analysis of plasticulture landscapes in Southern Italy through remote sensing and solid modelling techniques. Landsc. Urban Plan. 2011, 100, 45–56. [Google Scholar] [CrossRef]
- Sun, H.; Wang, L.; Lin, R.; Zhang, Z.; Zhang, B. Mapping plastic greenhouses with two-temporal sentinel-2 images and 1d-cnn deep learning. Remote Sens. 2021, 13, 2820. [Google Scholar] [CrossRef]
- Tan, K.; Cheng, X. Specular reflection effects elimination in terrestrial laser scanning intensity data using Phong model. Remote Sens. 2017, 9, 853. [Google Scholar] [CrossRef] [Green Version]
- Wu, C.F.; Deng, J.S.; Wang, K.; Ma, L.G.; Tahmassebi, A.R.S. Object-based classification approach for greenhouse mapping using Landsat-8 imagery. Int. J. Agric. Biol. Eng. 2016, 9, 79–88. [Google Scholar] [CrossRef]





















| Band | Resolution (m) | S2A | S2B | ||
|---|---|---|---|---|---|
| (nm) | (nm) | (nm) | (nm) | ||
| B1 | 60 | 442.7 | 21 | 442.2 | 21 |
| B2 | 10 | 492.4 | 66 | 492.1 | 66 |
| B3 | 10 | 559.8 | 36 | 559.0 | 36 |
| B4 | 10 | 664.6 | 31 | 664.9 | 31 |
| B5 | 20 | 704.1 | 15 | 703.8 | 16 |
| B6 | 20 | 740.5 | 15 | 739.1 | 15 |
| B7 | 20 | 782.8 | 20 | 779.7 | 20 |
| B8 | 10 | 832.8 | 106 | 832.9 | 106 |
| B8a | 20 | 864.7 | 21 | 864.0 | 22 |
| B9 | 60 | 945.1 | 20 | 943.2 | 21 |
| B10 | 60 | 1373.5 | 31 | 1376.9 | 30 |
| B11 | 20 | 1613.7 | 91 | 1610.4 | 94 |
| B12 | 20 | 2202.4 | 175 | 2185.7 | 185 |
Publisher’s Note: MDPI stays neutral with regard to jurisdictional claims in published maps and institutional affiliations. |
© 2021 by the authors. Licensee MDPI, Basel, Switzerland. This article is an open access article distributed under the terms and conditions of the Creative Commons Attribution (CC BY) license (https://creativecommons.org/licenses/by/4.0/).
Share and Cite
Ibrahim, E.; Gobin, A. Sentinel-2 Recognition of Uncovered and Plastic Covered Agricultural Soil. Remote Sens. 2021, 13, 4195. https://doi.org/10.3390/rs13214195
Ibrahim E, Gobin A. Sentinel-2 Recognition of Uncovered and Plastic Covered Agricultural Soil. Remote Sensing. 2021; 13(21):4195. https://doi.org/10.3390/rs13214195
Chicago/Turabian StyleIbrahim, Elsy, and Anne Gobin. 2021. "Sentinel-2 Recognition of Uncovered and Plastic Covered Agricultural Soil" Remote Sensing 13, no. 21: 4195. https://doi.org/10.3390/rs13214195
APA StyleIbrahim, E., & Gobin, A. (2021). Sentinel-2 Recognition of Uncovered and Plastic Covered Agricultural Soil. Remote Sensing, 13(21), 4195. https://doi.org/10.3390/rs13214195

