Consistency and Stability of SNPP ATMS Microwave Observations and COSMIC-2 Radio Occultation over Oceans
Abstract
1. Introduction
2. Sensor Overview
2.1. COSMIC-2 Radio Occultation Sensor
2.2. SNPP ATMS Instrument
3. CRTM-Based Radiative Transfer Modeling for Inter-Comparison of COSMIC-2 and SNPP ATMS Measurements
3.1. Radiative Transfer Model Setup
3.2. Temperature and Humidity Profile Data Inputs to the CRTM Simulation
3.3. Collocation and Data Screening Scheme
4. Results
4.1. Bias and Stability between Simulated BT from COSMIC-2 Retrievals and SNPP ATMS Measurements
4.1.1. Bias and Uncertainty Analysis
4.1.2. Long-Term Stability Analysis
4.2. Latitude and Solar Zenith Angle-Dependence of COSMIC-2 vs. SNPP ATMS Biases
4.3. O-B Bias Trending between COSMIC-2 and ECMWF via ATMS
5. Discussion
5.1. Using More RO Soundings for ATMS Bias Detection
- i)
 - the CRTM forward model is a fast-radiative transfer model with a regression method based on line-by-line simulation with representative training profiles. Its simulation coefficient uncertainty under clear sky conditions come from the gaseous absorption model and training data;
 - ii)
 - surface emissivity model and surface temperature used for the simulation for surface-sensitive channels;
 - iii)
 - clear sky condition assumption for cloud sensitive channels (the comparison results may include cloudy sky);
 - iv)
 - input atmospheric profiles such as the temperature and water vapor profiles from the RO retrieval.
 - v)
 - For channels with sounding height at high altitude >35 km, the microwave absorption line shift due to the Zeeman effect was not considered in the CRTM simulation.
 
5.2. Uncertainty of Climate Monitoring Using RO Wet Profiles
5.3. Using RO Data for Reanalysis
6. Conclusions
- (1)
 - COSMIC-2 data can identify the ATMS calibration variation. The bias trending shows that COSMIC-2 data captured the calibration updates of SNPP ATMS, i.e., antenna reflector emission correction and antenna pattern correction coefficients update on 15 October 2019, very well. The bias of ATMS relative to COSMIC-2 is improved for ATMS CH10–14 and CH19–20 after the calibration update.
 - (2)
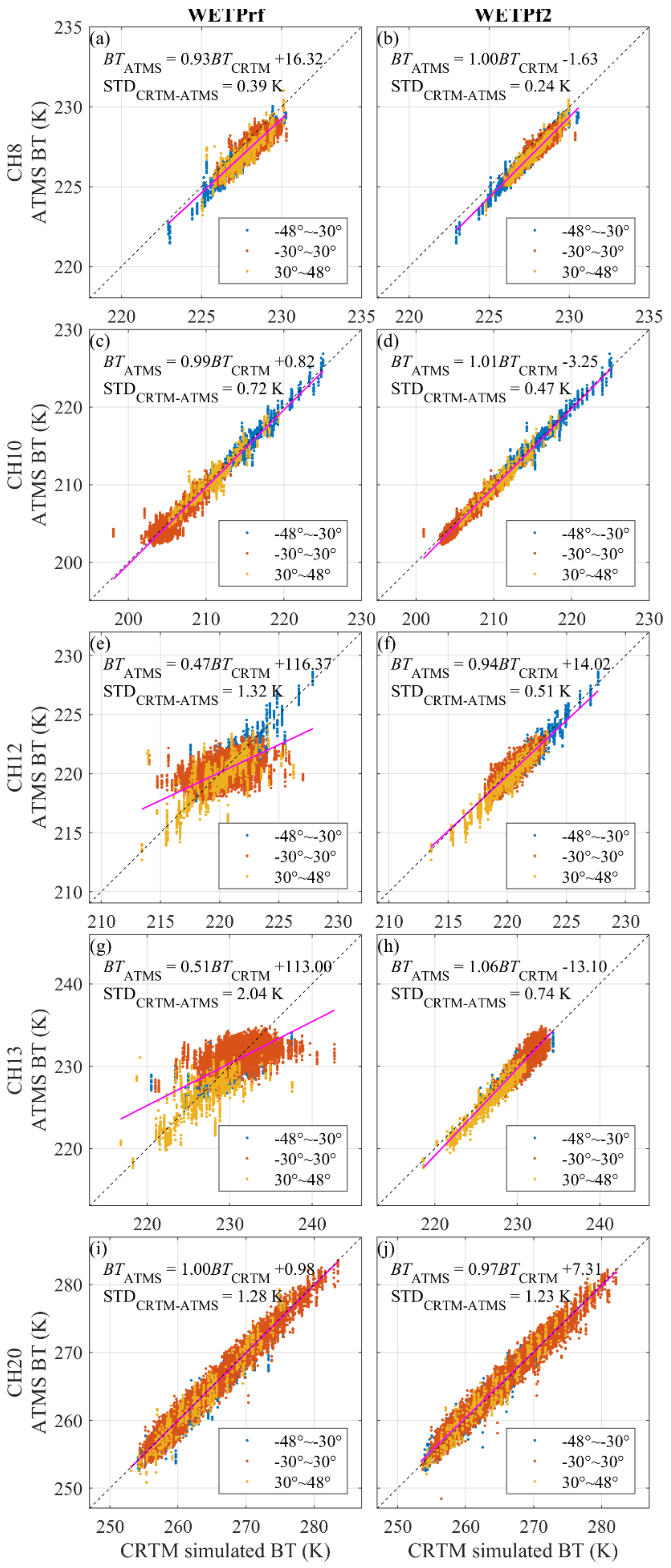
 - Differences between UCAR COSMIC-2 WETPrf and WETPf2 can be identified through comparison with ATMS. This paper shows the mean biases between BT measurements of SNPP ATMS and CRTM-simulated BT from two versions of UCAR COSMIC-2 wet profiles, e.g., WETPf2 and WETPrf, are all within 0.4 K for ATMS CH07, CH10–14, CH19, and CH20 (see Figure 6 and Table 3). The COSMIC-2 vs. ATMS BT biases of ATMS CH19 and CH20 have an opposite sign between μ(ΔBTWETPrf) and μ(ΔBTWETPf2). The direct comparison between COSMIC-2 WETPf2 and WETPrf data shows distinct differences in both temperature and humidity for the height region below 7 km (Figure 7). Therefore, the differences between UCAR COSMIC-2 WETPrf and WETPf2 1DVAR retrieval algorithms cause differences in the retrieved temperature and humidity profiles identified in the COSMIC-2 vs. ATMS comparison. In terms of BT bias uncertainties of UCAR COSMIC-2 wet profile products, it is found that there are significant reductions in σ(ΔBTWETPf2) for ATMS CH07-14 in comparison with σ(ΔBTWETPrf). More than two times of reductions in σ(ΔBTWETPf2) for ATMS CH12–14 are observed. The substantial improvements in the σ(ΔBTWETPf2) can be attributed to the 1DVAR algorithm updates implemented for the UCAR WETPf2 1DVAR retrieval algorithm [53]. It is suggested that the a priori model used in the 1DVAR retrieval, such as GFS or ECMWF model that has assimilated ATMS data to a different extent, can directly impact the variation of σ(ΔBT).
 - (3)
 - Precision and stability of COSMIC-2 data were evaluated. This paper shows that the UCAR COSMIC-2 WETPrf data is less affected by the a priori reanalysis model used in the 1DVAR retrieval and is close to the direct retrieval of temperature, i.e., dry temperature, from COSMIC-2 bending angle/refractivity data. Our analysis shows that the μ(ΔBTWETPrf) varies between 0.1 and 0.3 K for ATMS CH10 to CH14 and CH19–21 with increasing uncertainty magnitude, which can be due to the increasing NEDT of these ATMS channels.The trending of COSMIC-2 vs. ATMS BT biases shows that overall long-term stability consistency between COSMIC-2 and SNPP ATMS are well maintained after 15 October 2019. The stability between modeled BT from COSMIC-2 and ATMS measurements is consistent with the drift of BT bias D(ΔBTWETPf2) < 0.02 K/year for ATMS CH07–10. For ATMS CH19–CH21, the BT bias drifts D(ΔBTWETPf2) are <0.06 K/year, which shows the promising aspect of using COSMIC-2 wet profiles for the calibration of these two ATMS water vapor channels. The drifts of BT bias of ATMS CH13–14 with peak sounding height above 30 km and ATMS moisture sounding channels CH22 have larger uncertainties, which can be reduced with more extended time series of BT biases. It is shown that the well-sustained stability of COSMIC-2 RO data makes it well serves as the reference standard to detect and monitor the stability variation of sounding channels similar to ATMS CH7–10 and CH19–20 on other microwave-sounding sensors.
 - (4)
 - Analysis of latitude and SZA dependence of COSMIC-2 vs. ATMS biases help identify the SZA-dependent bias variation of ATMS near the day–night terminator region. This paper also shows that COSMIC-2 WETPf2 data are generally consistent with ATMS measurements over three latitude regions with μ(ΔBTWETPf2) difference within 0.3 K for all of the ATMS channels of interest. It further shows the SZA-dependence of the remnant BT biases between COSMIC-2 and ATMS for the lower stratosphere sounding channels of ATMS. COSMIC-2 can identify the ATMS seasonal and latitude-dependent bias, mainly due to the SZA-dependent biases from ATMS near the day-night terminator region.
 - (5)
 - O-B bias trending can help evaluate the impacts of assimilation of COSMIC-2 RO data into ECMWF. The trending of O-B biases between COSMIC-2 and ECMWF for ATMS channels quantitatively shows the impacts of the assimilation of COSMIC-2 RO data into ECMWF on 25 March 2020. It is shown that significant reduction in the absolute O-B BT biases for ATMS CH10 to CH14 and CH19 after assimilating COSMIC-2 data into ECMWF. For ATMS CH12–14, the reduction in O-B biases is more than half (Table 4 and Figure 14). After 25 March 2020, the decrease in O-B biases confirms that the assimilation of COSMIC-2 data into ECMWF has statistically significant positive impacts on the ECMWF reanalysis and improves consistency with the data from other observing systems, as shown in [52,66].
 
Author Contributions
Funding
Institutional Review Board Statement
Informed Consent Statement
Data Availability Statement
Acknowledgments
Conflicts of Interest
References
- Spencer, R.W.; Christy, J.R.; Grody, N.C. Global Atmospheric Temperature Monitoring with Satellite Microwave Measurements: Method and Results 1979–84. J. Clim. 1990, 3, 1111–1128. [Google Scholar] [CrossRef]
 - Mo, T. Calibration of the Advanced Microwave Sounding Unit-A Radiometers for NOAA-L and NO-AA-M. NOAA Tech. Rep. NESDIS 1999, 92, 1–53. [Google Scholar]
 - Goldberg, M.D.; Crosby, D.S.; Zhou, L. The Limb Adjustment of AMSU-A Observations: Methodology and Validation. J. Appl. Meteorol. 2001, 40, 70–83. [Google Scholar] [CrossRef]
 - Mears, C.A.; Schabel, M.C.; Wentz, F.J. A Reanalysis of the MSU Channel 2 Tropospheric Temperature Record. J. Clim. 2003, 16, 3650–3664. [Google Scholar] [CrossRef]
 - Spencer, R.W.; Christy, J.R.; Braswell, W.D.; Norris, W.B. Estimation of Tropospheric Temperature Trends from MSU Channels 2 and 4. J. Atmos. Ocean. Technol. 2006, 23, 417–423. [Google Scholar] [CrossRef]
 - Wylie, D.P.; Menzel, W.P. Eight Years of High Cloud Statistics Using HIRS. J. Clim. 1999, 12, 170–184. [Google Scholar] [CrossRef]
 - Cao, C.; Xu, H.; Sullivan, J.; McMillin, L.; Ciren, P.; Hou, Y.-T. Intersatellite Radiance Biases for the High-Resolution Infrared Radiation Sounders (HIRS) on board NOAA-15, -16, and -17 from Simultaneous Nadir Observations. J. Atmos. Ocean. Technol. 2005, 22, 381–395. [Google Scholar] [CrossRef]
 - Prabhakara, C.; Iacovazzi, R.; Yoo, J.-M.; Dalu, G. Global warming: Evidence from satellite observations. Geophys. Res. Lett. 2000, 27, 3517–3520. [Google Scholar] [CrossRef]
 - Zou, C.-Z.; Goldberg, M.D.; Cheng, Z.; Grody, N.C.; Sullivan, J.T.; Cao, C.; Tarpley, D. Recalibration of microwave sounding unit for climate studies using simultaneous nadir overpasses. J. Geophys. Res. Atmos. 2006, 111, D19114. [Google Scholar] [CrossRef]
 - Solomon, S.; Qin, D.; Manning, M.; Chen, Z.; Marquis, M.; Averyt, K.B.; Tignor, M.; Miller, H.L. Climate Change 2007—The Physical Science Basis: Contribution of Working Group I to the Fourth Assessment Report of the Intergovernmental Panel on Climate Change; Cambridge University Press: Cambridge, UK, 2007. [Google Scholar]
 - Thorne, P.W.; Lanzante, J.R.; Peterson, T.C.; Seidel, D.J.; Shine, K.P. Tropospheric temperature trends: History of an ongoing controversy. Wiley Interdiscip. Rev.—Clim. Chang 2010, 2, 66–88. [Google Scholar] [CrossRef]
 - Christy, J.R.; Spencer, R.W.; Norris, W.B.; Braswell, W.D.; Parker, D.E. Error Estimates of Version 5.0 of MSU–AMSU Bulk Atmospheric Temperatures. J. Atmos. Ocean. Technol. 2003, 20, 613–629. [Google Scholar] [CrossRef]
 - Mears, C.A.; Wentz, F.J. Construction of the Remote Sensing Systems V3.2 Atmospheric Temperature Records from the MSU and AMSU Microwave Sounders. J. Atmos. Ocean. Technol. 2009, 26, 1040–1056. [Google Scholar] [CrossRef]
 - Zou, C.-Z.; Wang, W. Stability of the MSU-Derived Atmospheric Temperature Trend. J. Atmos. Ocean. Technol. 2010, 27, 1960–1971. [Google Scholar] [CrossRef]
 - Weng, F.; Zou, X.; Wang, X.; Yang, S.; Goldberg, M.D. Introduction to Suomi national polar-orbiting partnership advanced technology microwave sounder for numerical weather prediction and tropical cyclone applications. J. Geophys. Res. Atmos. 2012, 117, D19112. [Google Scholar] [CrossRef]
 - Weng, F.; Zou, X.; Sun, N.; Yang, H.; Tian, M.; Blackwell, W.J.; Wang, X.; Lin, L.; Anderson, K. Calibration of Suomi national polar-orbiting partnership advanced technology microwave sounder. J. Geophys. Res. Atmos. 2013, 118, 11187–11200. [Google Scholar] [CrossRef]
 - Zou, X.; Weng, F.; Zhang, B.; Lin, L.; Qin, Z.; Tallapragada, V. Impacts of assimilation of ATMS data in HWRF on track and intensity forecasts of 2012 four landfall hurricanes. J. Geophys. Res. Atmos. 2013, 118, 11558–11576. [Google Scholar] [CrossRef]
 - Han, Y.; Weng, F.; Zou, X.; Yang, H.; Scott, D. Characterization of geolocation accuracy of Suomi NPP Advanced Technology Microwave Sounder measurements. J. Geophys. Res. Atmos. 2016, 121, 4933–4950. [Google Scholar] [CrossRef]
 - Zhou, L.; Divakarla, M.; Liu, X. An Overview of the Joint Polar Satellite System (JPSS) Science Data Product Calibration and Validation. Remote Sens. 2016, 8, 139. [Google Scholar] [CrossRef]
 - Zhou, L.; Divakarla, M.; Liu, X.; Layns, A.; Goldberg, M. An Overview of the Science Performances and Calibration/Validation of Joint Polar Satellite System Operational Products. Remote Sens. 2019, 11, 698. [Google Scholar] [CrossRef]
 - Cao, C.; Heidinger, A.K. Intercomparison of the Longwave Infrared Channels of MODIS and AVHRR/NOAA-16 Using Simultaneous Nadir Observations at Orbit Intersections. In Proceedings of the International Symposium on Optical Science and Technology, Seattle, DC, USA, 24 September 2002; Volume 4814, p. 24. [Google Scholar]
 - Iacovazzi, R.; Cao, C. Reducing Uncertainties of SNO-Estimated Intersatellite AMSU-A Brightness Temperature Biases for Surface-Sensitive Channels. J. Atmos. Ocean. Technol. 2008, 25, 1048–1054. [Google Scholar] [CrossRef]
 - Zhang, B.; Cao, C.; Lillibridge, J.; Miller, L. Assessing the Measurement Consistency Between the Jason-2/AMR and SARAL/AltiKa/DFMR Microwave Radiometers Using Simultaneous Nadir Observations. Mar. Geod. 2015, 38, 143–155. [Google Scholar] [CrossRef]
 - Yang, H.; Burgdorf, M. A Study of Lunar Microwave Radiation Based on Satellite Observations. Remote Sens. 2020, 12, 1129. [Google Scholar] [CrossRef]
 - Cucurull, L. Improvement in the Use of an Operational Constellation of GPS Radio Occultation Receivers in Weather Forecasting. Weather Forecast. 2010, 25, 749–767. [Google Scholar] [CrossRef]
 - Ware, R.; Rocken, C.; Solheim, F.; Exner, M.; Schreiner, W.; Anthes, R.; Feng, D.; Herman, B.; Gorbunov, M.; Sokolovskiy, S.; et al. GPS Sounding of the Atmosphere from Low Earth Orbit: Preliminary Results. Bull. Am. Meteorol. Soc. 1996, 77, 19–40. [Google Scholar] [CrossRef]
 - Kursinski, E.R.; Hajj, G.A.; Schofield, J.T.; Linfield, R.P.; Hardy, K.R. Observing Earth’s atmosphere with radio occultation measurements using the Global Positioning System. J. Geophys. Res. Atoms. 1997, 102, 23429–23465. [Google Scholar] [CrossRef]
 - Zou, X.; Vandenberghe, F.; Wang, B.; Gorbunov, M.E.; Kuo, Y.-H.; Sokolovskiy, S.; Chang, J.C.; Sela, J.G.; Anthes, R.A. A ray-tracing operator and its adjoint for the use of GPS/MET refraction angle measurements. J. Geophys. Res. Atoms. 1999, 104, 22301–22318. [Google Scholar] [CrossRef]
 - Ho, S.-P.; Anthes, R.A.; Ao, C.O.; Healy, S.; Horanyi, A.; Hunt, D.; Mannucci, A.J.; Pedatella, N.; Randel, W.J.; Simmons, A.; et al. The COSMIC/FORMOSAT-3 Radio Occultation Mission after 12 Years: Accomplishments, Remaining Challenges, and Potential Impacts of COSMIC-2. Bull. Am. Meteorol. Soc. 2020, 101, E1107–E1136. [Google Scholar] [CrossRef]
 - Zeng, Z.; Sokolovskiy, S.; Schreiner, W.S.; Hunt, D. Representation of Vertical Atmospheric Structures by Radio Occultation Observations in the Upper Troposphere and Lower Stratosphere: Comparison to High-Resolution Radiosonde Profiles. J. Atmos. Ocean. Technol. 2019, 36, 655–670. [Google Scholar] [CrossRef]
 - Alexander, S.P.; Tsuda, T.; Kawatani, Y.; Takahashi, M. Global distribution of atmospheric waves in the equatorial upper troposphere and lower stratosphere: COSMIC observations of wave mean flow interactions. J. Geophys. Res. Atoms. 2008, 113. [Google Scholar] [CrossRef]
 - Biondi, R.; Randel, W.J.; Ho, S.-P.; Neubert, T.; Syndergaard, S. Thermal structure of intense convective clouds derived from GPS radio occultations. Atmos. Chem. Phys. 2012, 12, 5309–5318. [Google Scholar] [CrossRef]
 - Ao, C.O.; Hajj, A.J. Monitoring the width of the tropical belt with GPS radio occultation measurements. Geophys. Res. Lett. 2013, 40, 6236–6241. [Google Scholar] [CrossRef]
 - Luna, D.; Alexander, P.; De La Torre, A. Evaluation of uncertainty in gravity wave potential energy calculations through GPS radio occultation measurements. Adv. Space Res. 2013, 52, 879–882. [Google Scholar] [CrossRef]
 - Nath, D.; Chen, W.; Guharay, A. Climatology of stratospheric gravity waves and their interaction with zonal mean wind over the tropics using GPS RO and ground-based measurements in the two phases of QBO. Theor. Appl. Clim. 2014, 119, 757–769. [Google Scholar] [CrossRef]
 - Rieckh, T.; Anthes, R.; Randel, W.; Ho, S.-P.; Foelsche, U. Evaluating tropospheric humidity from GPS radio occultation, radiosonde, and AIRS from high-resolution time series. Atmos. Meas. Tech. 2018, 11, 3091–3109. [Google Scholar] [CrossRef]
 - Healy, S.B.; Jupp, A.M.; Marquardt, C. Forecast impact experiment with GPS radio occultation measurements. Geophys. Res. Lett. 2005, 32. [Google Scholar] [CrossRef]
 - Healy, S.B. Forecast impact experiment with a constellation of GPS radio occultation receivers. Atmos. Sci. Lett. 2008, 9, 111–118. [Google Scholar] [CrossRef]
 - Poli, P.; Moll, P.; Puech, D.; Rabier, F.; Healy, S.B. Quality Control, Error Analysis, and Impact Assessment of FORMOSAT-3/COSMIC in Numerical Weather Prediction. Terr. Atmos. Ocean. Sci. 2009, 20, 101. [Google Scholar] [CrossRef][Green Version]
 - Rennie, M.P. The impact of GPS radio occultation assimilation at the Met Office. Q. J. R. Meteorol. Soc. 2010, 136, 116–131. [Google Scholar] [CrossRef]
 - Bauer, P.; Radnóti, G.; Healy, S.; Cardinali, C. GNSS Radio Occultation Constellation Observing System Experiments. Mon. Weather. Rev. 2014, 142, 555–572. [Google Scholar] [CrossRef]
 - Bonavita, M. On some aspects of the impact of GPSRO observations in global numerical weather prediction. Q. J. R. Meteorol. Soc. 2013, 140, 2546–2562. [Google Scholar] [CrossRef]
 - Anthes, R.A.; Bernhardt, P.A.; Chen, Y.; Cucurull, L.; Dymond, K.F.; Ector, D.; Healy, S.B.; Ho, S.-P.; Hunt, D.C.; Kuo, Y.-H.; et al. The COSMIC/FORMOSAT-3 Mission: Early Results. Bull. Am. Meteorol. Soc. 2008, 89, 313–334. [Google Scholar] [CrossRef]
 - Ho, S.-P.; He, W.; Kuo, Y.-H. Construction of Consistent Temperature Records in the Lower Stratosphere Using Global Positioning System Radio Occultation Data and Microwave Sounding Measurements. In New Horizons in Occultation Research: Studies in Atmosphere and Climate; Steiner, A., Pirscher, B., Foelsche, U., Kirchengast, G., Eds.; Springer: Berlin/Heidelberg, Germany, 2009; pp. 207–217. ISBN 978-3-642-00321-9. [Google Scholar]
 - Ho, S.-P.; Goldberg, M.; Kuo, Y.-H.; Zou, C.-Z.; Schreiner, W. Calibration of Temperature in the Lower Stratosphere from Microwave Measurements Using COSMIC Radio Occultation Data: Preliminary Results. Terr. Atmos. Ocean. Sci. 2009, 20, 87. [Google Scholar] [CrossRef]
 - Ho, S.-P.; Kuo, Y.-H.; Zeng, Z.; Peterson, T.C. A comparison of lower stratosphere temperature from microwave measurements with CHAMP GPS RO data. Geophys. Res. Lett. 2007, 34. [Google Scholar] [CrossRef]
 - Iacovazzi, R.; Lin, L.; Sun, N.; Liu, Q. NOAA Operational Microwave Sounding Radiometer Data Quality Monitoring and Anomaly Assessment Using COSMIC GNSS Radio-Occultation Soundings. Remote Sens. 2020, 12, 828. [Google Scholar] [CrossRef]
 - Zou, X.; Lin, L.; Weng, F. Absolute Calibration of ATMS Upper Level Temperature Sounding Channels Using GPS RO Observations. IEEE Trans. Geosci. Remote Sens. 2013, 52, 1397–1406. [Google Scholar] [CrossRef]
 - Schreiner, W.S.; Weiss, J.P.; Anthes, R.A.; Braun, J.; Chu, V.; Fong, J.; Hunt, D.; Kuo, Y.-H.; Meehan, T.; Serafino, W.; et al. COSMIC-2 Radio Occultation Constellation: First Results. Geophys. Res. Lett. 2020, 47, e2019GL086841. [Google Scholar] [CrossRef]
 - Ho, S.-P.; Zhou, X.; Shao, X.; Zhang, B.; Adhikari, L.; Kireev, S.; He, Y.; Yoe, J.; Xia-Serafino, W.; Lynch, E. Initial Assessment of the COSMIC-2/FORMOSAT-7 Neutral Atmosphere Data Quality in NESDIS/STAR Using In Situ and Satellite Data. Remote Sens. 2020, 12, 4099. [Google Scholar] [CrossRef]
 - Chen, S.-Y.; Liu, C.-Y.; Huang, C.-Y.; Hsu, S.-C.; Li, H.-W.; Lin, P.-H.; Cheng, J.-P.; Huang, C.-Y. An Analysis Study of FORMOSAT-7/COSMIC-2 Radio Occultation Data in the Troposphere. Remote Sens. 2021, 13, 717. [Google Scholar] [CrossRef]
 - Healy, S. ECMWF Starts Assimilating COSMIC-2 Data. Available online: https://www.ecmwf.int/en/newsletter/163/news/ecmwf-starts-assimilating-cosmic-2-data (accessed on 29 October 2020).
 - Wee, T.-K. A variational regularization of Abel transform for GPS radio occultation. Atmos. Meas. Tech. 2018, 11, 1947–1969. [Google Scholar] [CrossRef]
 - Shao, H. JCSDA Support Leading to the Implementation of Operational Assimilation of COSMIC-2 Data. Available online: https://www.jcsda.org/news-blog/2020/6/2/jcsda-support-leading-to-the-implementation-of-operational-assimilation-of-cosmic-2-datanbsp (accessed on 1 November 2020).
 - Han, Y.; Van Delst, P.; Weng, F.; Liu, Q.; Groff, D.; Yan, B.; Chen, Y.; Vogel, R. Current Status of the JCSDA Community Radiative Transfer Model (CRTM). In Proceedings of the International Advanced Television and Infrared Observation Satellite Operational Vertical Sounder (ATOVS) Study Conference, Monterey, CA, USA, 14–20 April 2010. [Google Scholar]
 - Chen, Y.; Han, Y.; van Delst, P.; Weng, F. Assessment of Shortwave Infrared Sea Surface Reflection and Nonlocal Thermodynamic Equilibrium Effects in the Community Radiative Transfer Model Using IASI Data. J. Atmos. Ocean. Technol. 2013, 30, 2152–2160. [Google Scholar] [CrossRef]
 - Liu, Q.; Boukabara, S.A. Community Radiative Transfer Model (CRTM) applications in supporting the Suomi National Polar-orbiting Partnership (SNPP) mission validation and verification. Remote Sens. Environ. 2014, 140, 744–754. [Google Scholar] [CrossRef]
 - Ho, S.; Shao, X.; Chen, Y.; Zhang, B.; Adhikari, L.; Zhou, X. NESDIS STAR GNSS RO Processing, Validation, and Monitoring System: Initial Validation of the STAR COSMIC-2 Data Products. Terr. Atmos. Ocean. Sci. 2021. [Google Scholar]
 - Shao, X.; Ho, S.-P.; Zhang, B.; Zhou, X.; Kireev, S.; Chen, Y.; Cao, C. Comparison of COSMIC-2 Radio Occultation Retrieval Products with Vaisala RS41 and RS92 Radiosonde Water Vapor and Upper-Air Temperature Measurements. Terr. Atmos. Ocean. Sci. 2021. [Google Scholar]
 - Kim, E.; Lyu, C.-H.J.; Anderson, K.; Leslie, R.V.; Blackwell, W.J. S-NPP ATMS instrument prelaunch and on-orbit performance evaluation. J. Geophys. Res. Atmos. 2014, 119, 5653–5670. [Google Scholar] [CrossRef]
 - Xie, F.; Syndergaard, S.; Kursinski, E.R.; Herman, B.M. An Approach for Retrieving Marine Boundary Layer Refractivity from GPS Occultation Data in the Presence of Superrefraction. J. Atmos. Ocean. Technol. 2006, 23, 1629–1644. [Google Scholar] [CrossRef]
 - Xie, F.; Wu, D.L.; Ao, C.O.; Kursinski, E.R.; Mannucci, A.J.; Syndergaard, S. Super-refraction effects on GPS radio occultation refractivity in marine boundary layers. Geophys. Res. Lett. 2010, 37. [Google Scholar] [CrossRef]
 - Cao, C.; Wang, W.; Lynch, E.; Bai, Y.; Ho, S.-P.; Zhang, B. Simultaneous Radio Occultation for Intersatellite Comparison of Bending Angles toward More Accurate Atmospheric Sounding. J. Atmos. Ocean. Technol. 2020, 37, 2307–2320. [Google Scholar] [CrossRef]
 - Chen, Y.; Shao, X.; Cao, C.; Ho, S.-P. Simultaneous Radio Occultation Predictions for Inter-Satellite Comparison of Bending Angle Profiles from COSMIC-2 and GeoOptics. Remote Sens. 2021, 13, 3644. [Google Scholar] [CrossRef]
 - Kishore, P.; Namboothiri, S.P.; Jiang, J.H.; Sivakumar, V.; Igarashi, K. Global temperature estimates in the troposphere and stratosphere: A validation study of COSMIC/FORMOSAT-3 measurements. Atmos. Chem. Phys. Discuss. 2009, 9, 897–908. [Google Scholar] [CrossRef]
 - Ruston, B.; Healy, S. Forecast Impact of FORMOSAT-7/COSMIC-2 GNSS Radio Occultation Measurements. Atmos. Sci. Lett. 2020, 22, e1019. [Google Scholar] [CrossRef]
 














| ATMS Channel | Central Frequency (GHz) | Peak Sounding Height (km) | 3 dB Beam Width (°) | Specified Accuracy and NEDT (K) | 
|---|---|---|---|---|
| CH07 | 54.40 | 8.06 | 2.2 | 0.75/0.7 | 
| CH08 | 54.94 | 10.61 | 2.2 | 0.75/0.7 | 
| CH09 | 55.50 | 13.08 | 2.2 | 0.75/0.7 | 
| CH10 | 57.290344 | 17.10 | 2.2 | 0.75/0.75 | 
| CH11 | 57.290344 ± 0.217 | 20.89 | 2.2 | 0.75/1.2 | 
| CH12 | 57.290344 ± 0.3222 ± 0.048 | 25.84 | 2.2 | 0.75/1.2 | 
| CH13 | 57.290344 ± 0.3222 ± 0.022 | 30.87 | 2.2 | 0.75/1.5 | 
| CH14 | 57.290344 ± 0.3222 ± 0.010 | 35.66 | 2.2 | 0.75/2.4 | 
| CH19 | 183.31 ± 4.5 | 3.18 | 1.1 | 1/0.8 | 
| CH20 | 183.31 ± 3.0 | 4.27 | 1.1 | 1/0.8 | 
| CH21 | 183.31 ± 1.8 | 5.58 | 1.1 | 1/0.8 | 
| CH22 | 183.31 ± 1.0 | 6.66 | 1.1 | 1/0.9 | 
| Data Set Name | Provided by | Time Coverage | 
|---|---|---|
| UCAR-WETPrf. | UCAR | 1 October 2019 to 31 October 2019 | 
| UCAR-WETPf2 | UCAR | 1 October 2019 to 31 December 2020 | 
| ERA5 (background) | ECMWF | 1 October 2019 to 31 December 2020 | 
| ATMS Channel | Peak Sounding Height (km) | μ(ΔBTWETPrf) ± σ(ΔBTWETPrf) (K) | μ(ΔBTWETPf2) ± σ(ΔBTWETPf2) (K) | μ(ΔBTWETPf2) ± σ(ΔBTWETPf2) (K) | D(ΔBTWETPf2) ± 95% CI (K/year) | 
|---|---|---|---|---|---|
| 16 October 2019–31 October 2019 | 1 October 2019–15 October 2019 | 16 October 2019–20 September 2020 | 16 October 2019–20 September 2020 | ||
| CH07 | 8.06 | −0.31 ± 0.64 | −0.53 ± 0.34 | −0.12 ± 0.39 | 0.003 ± 0.019 | 
| CH08 | 10.61 | 0.63 ± 0.39 | 0.54 ± 0.23 | 0.68 ± 0.24 | −0.003 ± 0.008 | 
| CH09 | 13.08 | 0.58 ± 0.47 | 0.64 ± 0.28 | 0.64 ± 0.30 | 0.011 ± 0.012 | 
| CH10 | 17.10 | 0.32 ± 0.72 | 0.65 ± 0.44 | 0.42 ± 0.47 | 0.004 ± 0.021 | 
| CH11 | 20.89 | 0.21 ± 0.91 | 0.54 ± 0.46 | 0.29 ± 0.48 | 0.064 ± 0.021 | 
| CH12 | 25.84 | 0.13 ± 1.32 | 0.36 ± 0.48 | 0.24 ± 0.53 | 0.146 ± 0.026 | 
| CH13 | 30.87 | 0.18 ± 2.04 | 0.41 ± 0.71 | 0.31 ± 0.74 | 0.193 ± 0.033 | 
| CH14 | 35.66 | 0.35 ± 2.92 | 0.57 ± 1.02 | 0.33 ± 1.05 | 0.208 ± 0.054 | 
| CH19 | 3.18 | 0.30 ± 0.97 | 0.23 ± 0.87 | −0.14 ± 0.87 | 0.056 ± 0.035 | 
| CH20 | 4.27 | 0.04 ± 1.28 | 0.29 ± 1.21 | −0.27 ± 1.16 | 0.018 ± 0.051 | 
| CH21 | 5.58 | −0.35 ± 1.71 | 0.02 ± 1.66 | −0.47 ± 1.62 | −0.006 ± 0.080 | 
| CH22 | 6.66 | −1.01 ± 2.16 | −0.45 ± 2.15 | −0.99 ± 2.15 | −0.066 ± 0.115 | 
| Channel | μ(ΔBTC2-ECMWF) ± σ(ΔBTC2-ECMWF) (K) (15 October 2019 to 24 March 2020) | D(ΔBTC2-ECMWF) ± 95% CI (K/year) (15 October 2019 to 24 March 2020) | μ(ΔBTC2-ECMWF) ± σ(ΔBTC2-ECMWF) (K) (15 May 2020 to 31 May 2020) | D(ΔBTC2-ECMWF) ± 95% CI (K/year) (25 March 2020 to 31 May 2020) | 
|---|---|---|---|---|
| CH07 | −0.22 ± 0.42 | 0.06 ± 0.05 | −0.25 ± 0.41 | 0.14 ± 0.18 | 
| CH08 | −0.04 ± 0.31 | 0.06 ± 0.03 | −0.06 ± 0.30 | 0.12 ± 0.10 | 
| CH09 | −0.12 ± 0.40 | 0.05 ± 0.04 | −0.13 ± 0.39 | 0.10 ± 0.14 | 
| CH10 | −0.35 ± 0.64 | −0.06 ± 0.06 | −0.30 ± 0.66 | 0.40 ± 0.22 | 
| CH11 | −0.38 ± 0.66 | −0.04 ± 0.06 | −0.26 ± 0.66 | 1.01 ± 0.25 | 
| CH12 | −0.48 ± 0.71 | 0.03 ± 0.08 | −0.23 ± 0.75 | 2.05 ± 0.35 | 
| CH13 | −0.64 ± 0.98 | −0.12 ± 0.09 | −0.22 ± 1.03 | 3.21 ± 0.45 | 
| CH14 | −0.80 ± 1.35 | −0.31 ± 0.15 | −0.28 ± 1.40 | 4.02 ± 0.55 | 
| CH19 | −0.11 ± 1.09 | 0.22 ± 0.12 | −0.08 ± 1.09 | 0.01 ± 0.36 | 
| CH20 | 0.17 ± 1.45 | 0.08 ± 0.17 | 0.21 ± 1.43 | 0.25 ± 0.57 | 
| CH21 | 0.38 ± 1.96 | −0.01 ± 0.24 | 0.41 ± 1.94 | 0.35 ± 0.96 | 
| CH22 | 0.60 ± 2.55 | −0.11 ± 0.35 | 0.63 ± 2.53 | 0.50 ± 1.33 | 
Publisher’s Note: MDPI stays neutral with regard to jurisdictional claims in published maps and institutional affiliations.  | 
© 2021 by the authors. Licensee MDPI, Basel, Switzerland. This article is an open access article distributed under the terms and conditions of the Creative Commons Attribution (CC BY) license (https://creativecommons.org/licenses/by/4.0/).
Share and Cite
Shao, X.; Ho, S.-p.; Zhang, B.; Cao, C.; Chen, Y. Consistency and Stability of SNPP ATMS Microwave Observations and COSMIC-2 Radio Occultation over Oceans. Remote Sens. 2021, 13, 3754. https://doi.org/10.3390/rs13183754
Shao X, Ho S-p, Zhang B, Cao C, Chen Y. Consistency and Stability of SNPP ATMS Microwave Observations and COSMIC-2 Radio Occultation over Oceans. Remote Sensing. 2021; 13(18):3754. https://doi.org/10.3390/rs13183754
Chicago/Turabian StyleShao, Xi, Shu-peng Ho, Bin Zhang, Changyong Cao, and Yong Chen. 2021. "Consistency and Stability of SNPP ATMS Microwave Observations and COSMIC-2 Radio Occultation over Oceans" Remote Sensing 13, no. 18: 3754. https://doi.org/10.3390/rs13183754
APA StyleShao, X., Ho, S.-p., Zhang, B., Cao, C., & Chen, Y. (2021). Consistency and Stability of SNPP ATMS Microwave Observations and COSMIC-2 Radio Occultation over Oceans. Remote Sensing, 13(18), 3754. https://doi.org/10.3390/rs13183754
        
                                                
