Summer Nighttime Anomalies of Ionospheric Electron Content at Midlatitudes: Comparing Years of Low and High Solar Activities Using Observations and Tidal/Planetary Wave Features
Abstract
1. Introduction
2. Methodology
2.1. Ionospheric Total Electron Content from F3C ROs
2.2. Modeling Constituent Tidal and Planetary Wave Components of Ionospheric MSNAs
3. Results
3.1. Quantifying the MSNA from F3C RO Observations
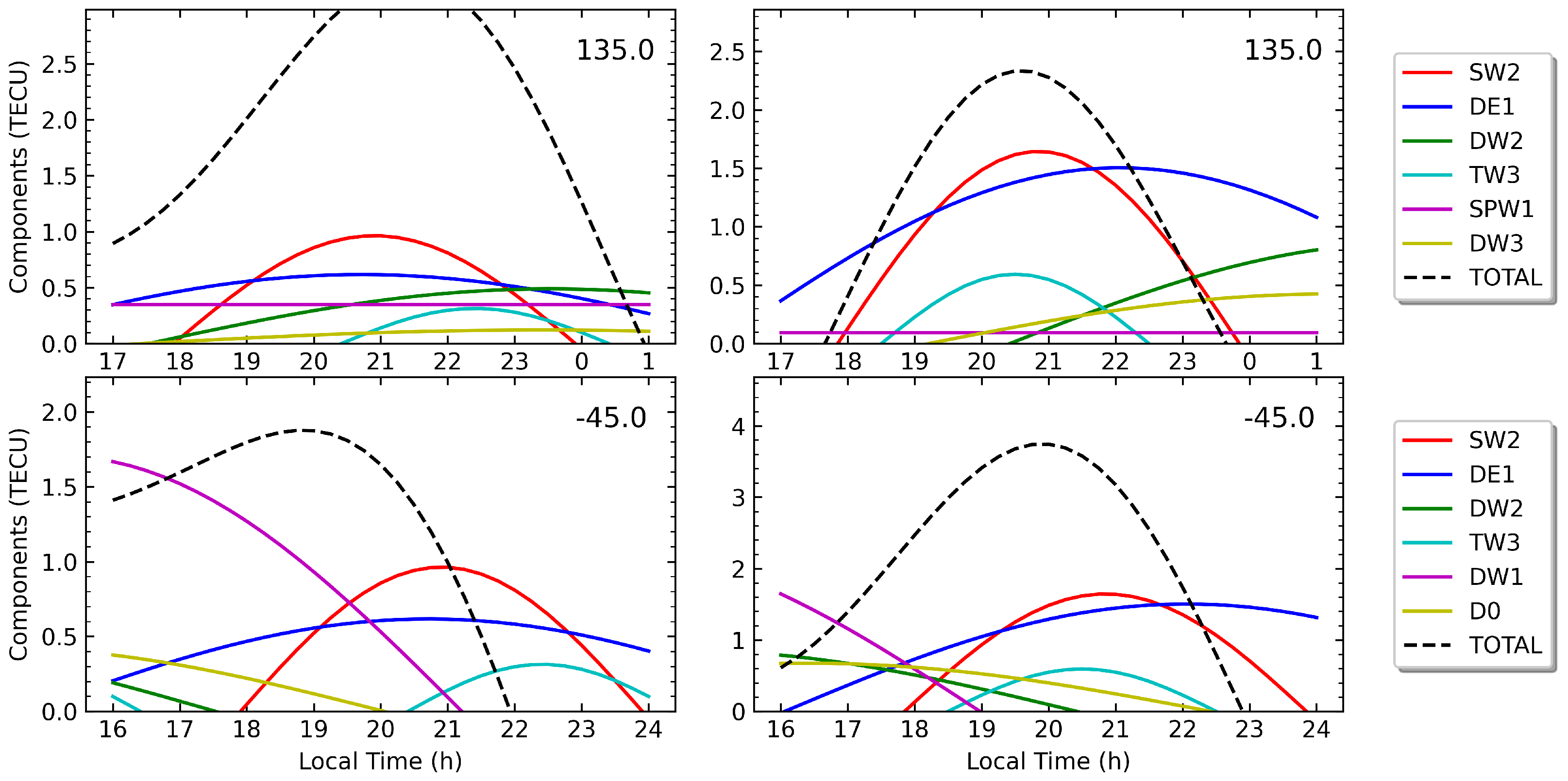
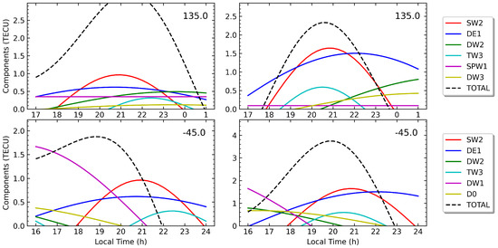
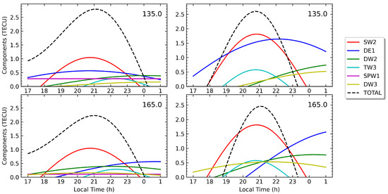
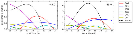
3.2. Analysis of Tidal and Planetary Wave Signatures in MSNAs
- The T/PW component must have a maximum around the LT period when an MSNA is observed, that is, when D shows positive values according to the results presented in Section 3.1.
 - The T/PW component must achieve a positive contribution, reaching near or over 10% of the sum of all components ( in Equation (3)), at least for a few hours during the LT period when the anomaly is observed.
 
4. Discussion
5. Conclusions
- Solar activity does not significantly affect the maximum relative magnitude of MSNAs measured by the maximum increase in EC at night compared with the midday period . The major T/PW components producing MSNAs also do not differ between low and maximum solar activity periods. This fact points to a mechanism related mainly to internal atmospheric processes that act similarly during all periods of the solar cycle in creating this type of anomaly. In particular, this suggests that plasma transport by effective winds that may propagate from the lower thermosphere is a potential mechanism that generates the ionospheric tides contributing to the MSNAs.
 - However, some particular behaviors of the MSNAs seem to be influenced by solar activity. The main evidence of this is the different LT evolution of the anomalies between 2007 and 2014 for fixed longitudes, which is reflected in the different months and LTs for values in the northern MSNAs and the different longitudes in the case of the WSA. The observed differences can be attributed to the locations of the maximum values of the T/PW components in the LT/longitude plane and the fact that non-migrating tides producing the MSNAs reach their maximum values 2–3 h later in 2014 than in 2007. The dependence of those features on the solar cycle indicates that a mechanism, such as in situ photoionization, which is affected by solar activity, may also be responsible for generating the neutral winds that contribute to the ionospheric T/PW signatures observed in the MSNAs.
 - MSNAs are confirmed to be detectable in three different regions. The WSA in the southern hemisphere shows increases in nighttime EC that are significantly larger, more than three times as large, than those in the other two MSNA regions in the northern hemisphere. The WSA is observed during the night from 18:00 to 8:00 LT and during several months surrounding the local summer period, particularly in the eastern longitudes between and . On the other hand, considering increases in evening and nighttime EC, the NAA and the BSA are not very different in magnitude, although the NAA appears to be slightly weaker in 2007 compared with 2014. The BSA is observed during early night, 20:00–22:00 LT in the two years, and during the early morning, 6:00–8:00 LT, in 2014, being also hinted at during the morning in 2007. The NAA is observed during the evening around 18:00 LT in 2007 and during the early night period around 20:00 LT in 2014.
 - The main tidal component that appears to give rise to the WSA is D0. Next, SPW1 and DW2 have a secondary but still relevant contribution at similar levels, followed by DE1. The BSA and NAA are clearly mainly supported by the migrating tide SW2 in combination with DE1, but in the case of the morning BSA, D0 replaces DE1 as having a secondary role. Another migrating tide, DW1, has been shown to provide a supporting contribution to the morning BSA in 2014 and to the evening NAA during 2007. Finally, a third migrating tide, TW3, appears to contribute to both the nighttime BSA and the NAA, particularly during the solar maximum period.
 - For the two years analyzed, peaks in SW2 are also observed at the LTs when the WSA is observed. Thus, this semidiurnal migrating tide also has some relevance in maintaining the WSA at certain hours of the night, although due to the use of a larger smoothing, its relevance was probably not as evident in previous studies [11]. Moreover, the importance of the SW2 migrating tide for the MSNAs in the northern hemisphere was shown to be effective in the specific interval of magnetic apex latitudes , and not only for the lower range of magnetic apex midlatitudes , as indicated by previous results [19].
 
Author Contributions
Funding
Institutional Review Board Statement
Informed Consent Statement
Data Availability Statement
Acknowledgments
Conflicts of Interest
Abbreviations
| BSA | Bering Sea Anomaly | 
| EC | Electron content | 
| ED | Electron density | 
| F3C | Formosat-3/Constellation Observing System for Meteorology, Ionosphere, and Climate | 
| GAIA | Ground-to-Topside Model of Atmosphere and Ionosphere for Aeronomy | 
| GIM | Global ionospheric map | 
| GNSS | Global navigation satellite system | 
| LT | Local time | 
| MSNA | Midlatitude summer nighttime anomaly | 
| NAA | North Atlantic Anomaly | 
| RO | Radio occultation | 
| SM | Separability method | 
| TEC | Total electron content | 
| TIEGCM | Thermosphere–Ionosphere Electrodynamics General Circulation Model | 
| TIP | Topside ionosphere plus bottom-side plasmasphere | 
| T/PW | Tidal and planetary wave | 
| WSA | Weddell Sea Anomaly | 
References
- Lin, C.H.; Liu, C.H.; Liu, J.Y.; Chen, C.H.; Burns, A.G.; Wang, W. Midlatitude summer nighttime anomaly of the ionospheric electron density observed by FORMOSAT-3/COSMIC. J. Geophys. Res. 2010, 115, A03308. [Google Scholar] [CrossRef]
 - Liu, H.; Thampi, S.V.; Yamamoto, M. Phase reversal of the diurnal cycle in the midlatitude ionosphere. J. Geophys. Res. 2010, 115, A01305. [Google Scholar] [CrossRef]
 - Xiong, C.; Lühr, H. The Midlatitude Summer Night Anomaly as observed by CHAMP and GRACE: Interpreted as tidal features. J. Geophys. Res. Space Phys. 2014, 119, 4905–4915. [Google Scholar] [CrossRef]
 - Chang, F.Y.; Liu, J.Y.; Chang, L.C.; Lin, C.H.; Chen, C.H. Three-dimensional electron density along the WSA and MSNA latitudes probed by FORMOSAT-3/COSMIC. Earth Planet Space 2015, 67, 156. [Google Scholar] [CrossRef]
 - Bellchambers, W.; Piggott, W. Ionospheric Measurements made at Halley Bay. Nature 1958, 182, 1596–1597. [Google Scholar] [CrossRef]
 - Jee, G.; Burns, A.G.; Kim, Y.-H.; Wang, W. Seasonal and solar activity variations of the Weddell Sea Anomaly observed in the TOPEX total electron content measurements. J. Geophys. Res. 2009, 114, A04307. [Google Scholar] [CrossRef]
 - Zakharenkova, I.; Cherniak, I.; Shagimuratov, I. Observations of the Weddell Sea Anomaly in the ground-based and space-borne TEC measurements. J. Atmos. Sol.-Terr. Phys. 2017, 161, 105–117. [Google Scholar] [CrossRef]
 - Chen, P.; Li, Q.; Yao, Y.; Yao, W. Study on the plasmaspheric Weddell Sea Anomaly based on COSMIC onboard GPS measurements. J. Atmos. Sol.-Terr. Phys. 2019, 192, 104923. [Google Scholar] [CrossRef]
 - Meza, A.; Natali, M.P.; Fernández, L.I. PCA analysis of the nighttime anomaly in far-from-geomagnetic pole regions from VTEC GNSS data. Earth Planet Space 2015, 67, 106. [Google Scholar] [CrossRef][Green Version]
 - Yan, R.; Parrot, M.; Pinçon, J.L. Variations of the main nighttime ionospheric density anomalies observed by DEMETER during the descending phase of solar cycle 23. J. Atmos. Sol.-Terr. Phys. 2018, 178, 66–73. [Google Scholar] [CrossRef]
 - Chang, L.C.; Liu, H.; Miyoshi, Y.; Chen, C.-H.; Chang, F.-Y.; Lin, C.-H.; Liu, J.-Y.; Sun, Y.-Y. Structure and origins of the Weddell Sea Anomaly from tidal and planetary wave signatures in FORMOSAT-3/COSMIC observations and GAIA GCM simulations. J. Geophys. Res. Space Phys. 2015, 120, 1325–1340. [Google Scholar] [CrossRef]
 - Dudeney, J.R.; Piggott, W.R. Antarctic ionospheric research. Up. Atmos. Res. Antarct. 1978, 29, 200–235. [Google Scholar]
 - Lin, C.H.; Liu, J.Y.; Cheng, C.Z.; Chen, C.H.; Liu, C.H.; Wang, W.; Burns, A.G.; Lei, J. Three-dimensional ionospheric electron density structure of the Weddell Sea Anomaly. J. Geophys. Res. 2009, 114, A02312. [Google Scholar] [CrossRef]
 - Thampi, S.V.; Balan, N.; Lin, C.; Liu, H.; Yamamoto, M. Mid-latitude Summer Nighttime Anomaly (MSNA)—Observations and model simulations. Ann. Geophys. 2011, 29, 157–165. [Google Scholar] [CrossRef]
 - Richards, P.G.; Meier, R.R.; Chen, S.-P.; Drob, D.P.; Dandenault, P. Investigation of the causes of the longitudinal variation of the electron density in the Weddell Sea Anomaly. J. Geophys. Res. Space Phys. 2017, 122, 6562–6583. [Google Scholar] [CrossRef]
 - Richards, P.G.; Meier, R.R.; Chen, S.; Dandenault, P. Investigation of the causes of the longitudinal and solar cycle variation of the electron density in the Bering Sea and Weddell Sea anomalies. J. Geophys. Res. Space Phys. 2018, 123, 7825–7842. [Google Scholar] [CrossRef]
 - Pancheva, D.; Mukhtarov, P. Strong evidence for the tidal control on the longitudinal structure of the ionospheric F-region. Geophys. Res. Lett. 2010, 37, L14105. [Google Scholar] [CrossRef]
 - Pancheva, D.; Mukhtarov, P. Global Response of the Ionosphere to Atmospheric Tides Forced from Below: Recent Progress Based on Satellite Measurements. Space Sci. Rev. 2012, 168, 175–209. [Google Scholar] [CrossRef]
 - Chang, L.C.; Lin, C.-H.; Liu, J.-Y.; Balan, N.; Yue, J.; Lin, J.-T. Seasonal and local time variation of ionospheric migrating tides in 2007–2011 FORMOSAT-3/COSMIC and TIE-GCM total electron content. J. Geophys. Res. Space Phys. 2013, 118, 2545–2564. [Google Scholar] [CrossRef]
 - Mukhtarov, P.; Pancheva, D.; Andonov, B.; Pashova, L. Global TEC maps based on GNSS data: 1. Empirical background TEC model. J. Geophys. Res. Space Phys. 2013, 118, 4594–4608. [Google Scholar] [CrossRef]
 - Chen, C.H.; Lin, C.H.; Chang, L.C.; Huba, J.D.; Lin, J.T.; Saito, A.; Liu, J.Y. Thermospheric tidal effects on the ionospheric midlatitude summer nighttime anomaly using SAMI3 and TIEGCM. J. Geophys. Res. Space Phys. 2013, 118, 3836–3845. [Google Scholar] [CrossRef]
 - Jones, M., Jr.; Forbes, J.M.; Hagan, M.E.; Maute, A. Non-migrating tides in the ionosphere-thermosphere: In situ versus tropospheric sources. J. Geophys. Res. Space Phys. 2013, 118, 2438–2451. [Google Scholar] [CrossRef]
 - Reinisch, B.W.; Nsumei, P.; Huang, X.; Bilitza, D.K. Modeling the F2 topside and plasmasphere for IRI using IMAGE/RPI and ISIS data. Adv. Space Res. 2007, 39, 731–738. [Google Scholar] [CrossRef]
 - Yue, X.; Schreiner, W.S.; Lei, J.; Rocken, C.; Kuo, Y.-H.; Wan, W. Climatology of ionospheric upper transition height derived from COSMIC satellites during the solar minimum of 2008. J. Atmos. Solar-Terr. Phys. 2010, 72, 1270–1274. [Google Scholar] [CrossRef]
 - González-Casado, G.; Juan, J.M.; Hernández-Pajares, M.; Sanz, J. Two-component model of topside-ionosphere electron density profiles retrieved from Global Navigation Satellite Systems radio occultations. J. Geophys. Res. Space Phys. 2013, 118, 7348–7359. [Google Scholar] [CrossRef]
 - González-Casado, G.; Juan, J.M.; Sanz, J.; Rovira-Garcia, A.; Aragon-Angel, A. Ionospheric and plasmaspheric electron contents inferred from radio occultations and global ionospheric maps. J. Geophys. Res. Space Phys. 2015, 120, 5983–5997. [Google Scholar] [CrossRef]
 - Yizengaw, E.; Moldwin, M.B.; Galvan, D.; Iijima, B.A.; Komjathy, A.; Mannucci, A.J. Global plasmaspheric TEC and its relative contribution to GPS TEC. J. Atmos. Solar-Terr. Phys. 2008, 70, 1541–1548. [Google Scholar] [CrossRef]
 - Shao, Y. World-Wide Analysis and Modelling of the Ionospheric and Plasmaspheric Electron Contents by Means of Radio Occultations. Ph.D. Thesis, Universitat Politècnica de Catalunya (UPC), Barcelona, Spain, 2019. Available online: http://hdl.handle.net/2117/130008 (accessed on 7 February 2022).
 - Shao, Y.; González-Casado, G.; Juan, J.M.; Sanz, J.; Rovira-Garcia, A. Improvement of the ionospheric radio occultation retrievals by means of accurate global ionospheric maps. J. Geophys. Res. Space Phys. 2018, 123, 10331–10344. [Google Scholar] [CrossRef]
 - Webb, P.A.; Essex, E.A. A dynamic diffusive equilibrium model of the ion densities along plasmaspheric magnetic flux tubes. J. Atmos. Sol.-Terr. Phys. 2001, 63, 1249–1260. [Google Scholar] [CrossRef]
 - Richmond, A.D. Ionospheric Electrodynamics Using Magnetic Apex Coordinates. J. Geomag. Geoelectr. 1995, 47, 191–212. [Google Scholar] [CrossRef]
 - Jhuang, H.K.; Tsai, T.C.; Lee, L.C.; Ho, Y.Y. Ionospheric tidal waves observed from global ionosphere maps: Analysis of total electron content. J. Geophys. Res. Space Phys. 2018, 123, 6776–6797. [Google Scholar] [CrossRef]
 











| MSNA | Year | Month | LT (h) | LON (deg) | Dmax | 
|---|---|---|---|---|---|
| WSA | 2007 | January | 22:00 | 73% | |
| BSA | 2007 | July | 20:00 | 17% | |
| NAA | 2007 | July | 18:00 | 9% | |
| WSA | 2014 | January | 22:00 | 67% | |
| BSA | 2014 | June | 8:00 | 21% | |
| NAA | 2014 | June | 20:00 | 21% | 
Publisher’s Note: MDPI stays neutral with regard to jurisdictional claims in published maps and institutional affiliations.  | 
© 2022 by the authors. Licensee MDPI, Basel, Switzerland. This article is an open access article distributed under the terms and conditions of the Creative Commons Attribution (CC BY) license (https://creativecommons.org/licenses/by/4.0/).
Share and Cite
Yin, Y.; González-Casado, G.; Rovira-Garcia, A.; Juan, J.M.; Sanz, J.; Shao, Y. Summer Nighttime Anomalies of Ionospheric Electron Content at Midlatitudes: Comparing Years of Low and High Solar Activities Using Observations and Tidal/Planetary Wave Features. Remote Sens. 2022, 14, 1237. https://doi.org/10.3390/rs14051237
Yin Y, González-Casado G, Rovira-Garcia A, Juan JM, Sanz J, Shao Y. Summer Nighttime Anomalies of Ionospheric Electron Content at Midlatitudes: Comparing Years of Low and High Solar Activities Using Observations and Tidal/Planetary Wave Features. Remote Sensing. 2022; 14(5):1237. https://doi.org/10.3390/rs14051237
Chicago/Turabian StyleYin, Yu, Guillermo González-Casado, Adrià Rovira-Garcia, José Miguel Juan, Jaume Sanz, and Yixie Shao. 2022. "Summer Nighttime Anomalies of Ionospheric Electron Content at Midlatitudes: Comparing Years of Low and High Solar Activities Using Observations and Tidal/Planetary Wave Features" Remote Sensing 14, no. 5: 1237. https://doi.org/10.3390/rs14051237
APA StyleYin, Y., González-Casado, G., Rovira-Garcia, A., Juan, J. M., Sanz, J., & Shao, Y. (2022). Summer Nighttime Anomalies of Ionospheric Electron Content at Midlatitudes: Comparing Years of Low and High Solar Activities Using Observations and Tidal/Planetary Wave Features. Remote Sensing, 14(5), 1237. https://doi.org/10.3390/rs14051237
        
                                                
