A Comparison of the Different Stages of Dust Events over Beijing in March 2021: The Effects of the Vertical Structure on Near-Surface Particle Concentration
Abstract
:1. Introduction
2. Multisource Data
2.1. Polarization Lidar
2.2. Reanalysis Datasets
2.3. Trajectory Model
2.4. FY-4A Satellite
2.5. Pollutant Data
3. Results and Discussion
3.1. Overview of Dust Events
3.2. Dust Emission Stage
3.3. Long-Range Transport Stage
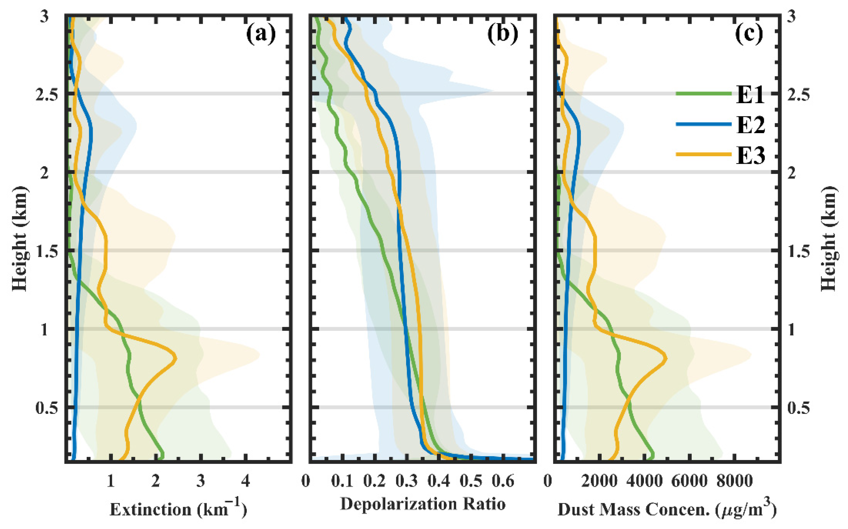
3.4. Dust Outbreak Stage
3.4.1. Regional Circulation Situation
3.4.2. Lidar Continuous Observation
4. Conclusions
Supplementary Materials
Author Contributions
Funding
Institutional Review Board Statement
Informed Consent Statement
Data Availability Statement
Acknowledgments
Conflicts of Interest
References
- Colarco, P.R.; Nowottnick, E.P.; Randles, C.A.; Yi, B.Q.; Yang, P.; Kim, K.M.; Smith, J.A.; Bardeen, C.G. Impact of radiatively interactive dust aerosols in the NASA GEOS-5 climate model: Sensitivity to dust particle shape and refractive index. J. Geophys. Res. Atmos. 2014, 119, 753–786. [Google Scholar] [CrossRef]
- Quijano, A.L.; Sokolik, I.N.; Toon, O.B. Radiative heating rates and direct radiative forcing by mineral dust in cloudy atmospheric conditions. J. Geophys. Res. Atmos. 2000, 105, 12207–12219. [Google Scholar] [CrossRef] [Green Version]
- Huang, J.; Wang, T.; Wang, W.; Li, Z.; Yan, H. Climate effects of dust aerosols over East Asian arid and semiarid regions. J. Geophys. Res. Atmos. 2014, 119, 11398–11416. [Google Scholar] [CrossRef]
- Chaibou, A.A.S.; Ma, X.Y.; Sha, T. Dust radiative forcing and its impact on surface energy budget over West Africa. Sci. Rep. 2020, 10, 18. [Google Scholar] [CrossRef] [PubMed]
- Hara, Y.; Uno, I.; Wang, Z.F. Long-term variation of Asian dust and related climate factors. Atmos. Environ. 2006, 40, 6730–6740. [Google Scholar] [CrossRef]
- Modarres, R. Dust storm frequency change in relation to climate drivers. Int. J. Climatol. 2021, 41, E187–E199. [Google Scholar] [CrossRef]
- Lin, C.Y.; Sheng, Y.F.; Chen, W.N.; Wang, Z.; Kuo, C.H.; Chen, W.C.; Yang, T. The impact of channel effect on Asian dust transport dynamics: A case in southeastern Asia. Atmos. Chem. Phys. 2012, 12, 271–285. [Google Scholar] [CrossRef] [Green Version]
- Kok, J.F.; Ward, D.S.; Mahowald, N.M.; Evan, A.T. Global and regional importance of the direct dust-climate feedback. Nat. Commun. 2018, 9, 241. [Google Scholar] [CrossRef]
- Albani, S.; Mahowald, N.M. Paleodust Insights into Dust Impacts on Climate. J. Clim. 2019, 32, 7897–7913. [Google Scholar] [CrossRef] [Green Version]
- Yin, Y.; Wurzler, S.; Levin, Z.; Reisin, T.G. Interactions of mineral dust particles and clouds: Effects on precipitation and cloud optical properties. J. Geophys. Res. Atmos. 2002, 107, 14. [Google Scholar] [CrossRef] [Green Version]
- Cziczo, D.J.; Froyd, K.D.; Hoose, C.; Jensen, E.J.; Diao, M.H.; Zondlo, M.A.; Smith, J.B.; Twohy, C.H.; Murphy, D.M. Clarifying the Dominant Sources and Mechanisms of Cirrus Cloud Formation. Science 2013, 340, 1320–1324. [Google Scholar] [CrossRef] [Green Version]
- He, C.L.; Liou, K.N.; Takano, Y.; Chen, F.; Barlage, M. Enhanced Snow Absorption and Albedo Reduction by Dust-Snow Internal Mixing: Modeling and Parameterization. J. Adv. Model. Earth Syst. 2019, 11, 3755–3776. [Google Scholar] [CrossRef] [Green Version]
- Arimoto, R. Eolian dust and climate: Relationships to sources, tropospheric chemistry, transport and deposition. Earth Sci. Rev. 2001, 54, 29–42. [Google Scholar] [CrossRef]
- Zhang, L.; Li, Q.B.; Gu, Y.; Liou, K.N.; Meland, B. Dust vertical profile impact on global radiative forcing estimation using a coupled chemical-transport-radiative-transfer model. Atmos. Chem. Phys. 2013, 13, 7097–7114. [Google Scholar] [CrossRef] [Green Version]
- Meloni, D.; di Sarra, A.; Di Iorio, T.; Fiocco, G. Influence of the vertical profile of Saharan dust on the visible direct radiative forcing. J. Quant. Spectrosc. Radiat. Transf. 2005, 93, 397–413. [Google Scholar] [CrossRef]
- Mahowald, N.M.; Scanza, R.; Brahney, J.; Goodale, C.L.; Hess, P.G.; Moore, J.K.; Neff, J. Aerosol Deposition Impacts on Land and Ocean Carbon Cycles. Curr. Clim. Chang. Rep. 2017, 3, 16–31. [Google Scholar] [CrossRef] [Green Version]
- Jickells, T.D.; An, Z.S.; Andersen, K.K.; Baker, A.R.; Bergametti, G.; Brooks, N.; Cao, J.J.; Boyd, P.W.; Duce, R.A.; Hunter, K.A.; et al. Global Iron Connections Between Desert Dust, Ocean Biogeochemistry, and Climate. Science 2005, 308, 67–71. [Google Scholar] [CrossRef] [PubMed] [Green Version]
- Zeng, L.; Miao, Q.; Gao, Q.; Gao, W.; Xiang, L. Influence of Dust Events on Atmospheric Environmental Quality and Solar Radiation in Beijing. Res. Environ. Sci. 2011, 24, 433–439. [Google Scholar]
- Kim, H.S.; Chung, Y.S. On the sandstorms and associated airborne dustfall episodes observed at Cheongwon in Korea in 2005. Air Qual. Atmos. Health 2010, 3, 83–94. [Google Scholar] [CrossRef] [PubMed] [Green Version]
- Flores, R.M.; Kaya, N.; Eser, O.; Saltan, S. The effect of mineral dust transport on PM10 concentrations and physical properties in Istanbul during 2007–2014. Atmos. Res. 2017, 197, 342–355. [Google Scholar] [CrossRef]
- Gobbi, G.P.; Angelini, F.; Barnaba, F.; Costabile, F.; Baldasano, J.M.; Basart, S.; Sozzi, R.; Bolignano, A. Changes in particulate matter physical properties during Saharan advections over Rome (Italy): A four-year study, 2001–2004. Atmos. Chem. Phys. 2013, 13, 7395–7404. [Google Scholar] [CrossRef] [Green Version]
- Meng, Z.; Lu, B. Dust events as a risk factor for daily hospitalization for respiratory and cardiovascular diseases in Minqin, China. Atmos. Environ. 2007, 41, 7048–7058. [Google Scholar] [CrossRef]
- Aghababaeian, H.; Ostadtaghizadeh, A.; Ardalan, A.; Asgary, A.; Akbary, M.; Yekaninejad, M.S.; Stephens, C. Global Health Impacts of Dust Storms: A Systematic Review. Environ. Health Insights 2021, 15, 11786302211018390. [Google Scholar] [CrossRef]
- Zhang, P.; Lu, Q.; Hu, X.; Gu, S.; Yang, L.; Min, M.; Chen, L.; Xu, N.; Sun, L.; Bai, W.; et al. Latest Progress of the Chinese Meteorological Satellite Program and Core Data Processing Technologies. Adv. Atmos. Sci. 2019, 36, 1027–1045. [Google Scholar] [CrossRef]
- Di Pierro, M.; Jaegle, L.; Anderson, T.L. Satellite observations of aerosol transport from East Asia to the Arctic: Three case studies. Atmos. Chem. Phys. 2011, 11, 2225–2243. [Google Scholar] [CrossRef] [Green Version]
- Chaibou, A.A.S.; Ma, X.Y.; Kumar, K.R.; Jia, H.L.; Tang, Y.G.; Sha, T. Evaluation of dust extinction and vertical profiles simulated by WRF-Chem with CALIPSO and AERONET over North Africa. J. Atmos. Sol. Terr. Phys. 2020, 199, 12. [Google Scholar] [CrossRef]
- Huang, Z.; Huang, J.; Bi, J.; Wang, G.; Wang, W.; Fu, Q.; Li, Z.; Tsay, S.-C.; Shi, J. Dust aerosol vertical structure measurements using three MPL lidars during 2008 China-US joint dust field experiment. J. Geophys. Res. Atmos. 2010, 115, D00K15. [Google Scholar] [CrossRef] [Green Version]
- Mamouri, R.E.; Ansmann, A.; Nisantzi, A.; Solomos, S.; Kallos, G.; Hadjimitsis, D.G. Extreme dust storm over the eastern Mediterranean in September 2015: Satellite, lidar, and surface observations in the Cyprus region. Atmos. Chem. Phys. 2016, 16, 13711–13724. [Google Scholar] [CrossRef] [Green Version]
- Chaikovsky, A.; Dubovik, O.; Holben, B.; Bril, A.; Goloub, P.; Tanre, D.; Pappalardo, G.; Wandinger, U.; Chaikovskaya, L.; Denisov, S.; et al. Lidar-Radiometer Inversion Code (LIRIC) for the retrieval of vertical aerosol properties from combined lidar/radiometer data: Development and distribution in EARLINET. Atmos. Meas. Tech. 2016, 9, 1181–1205. [Google Scholar] [CrossRef] [Green Version]
- Wagner, J.; Ansmann, A.; Wandinger, U.; Seifert, P.; Schwarz, A.; Tesche, M.; Chaikovsky, A.; Dubovik, O. Evaluation of the Lidar/Radiometer Inversion Code (LIRIC) to determine microphysical properties of volcanic and desert dust. Atmos. Meas. Tech. 2013, 6, 1707–1724. [Google Scholar] [CrossRef] [Green Version]
- Lopatin, A.; Dubovik, O.; Chaikovsky, A.; Goloub, P.; Lapyonok, T.; Tanre, D.; Litvinov, P. Enhancement of aerosol characterization using synergy of lidar and sun-photometer coincident observations: The GARRLiC algorithm. Atmos. Meas. Tech. 2013, 6, 2065–2088. [Google Scholar] [CrossRef] [Green Version]
- Tesche, M.; Ansmann, A.; Mueller, D.; Althausen, D.; Engelmann, R.; Freudenthaler, V.; Gross, S. Vertically resolved separation of dust and smoke over Cape Verde using multiwavelength Raman and polarization lidars during Saharan Mineral Dust Experiment 2008. J. Geophys. Res. Atmos. 2009, 114. [Google Scholar] [CrossRef]
- Ansmann, A.; Seifert, P.; Tesche, M.; Wandinger, U. Profiling of fine and coarse particle mass: Case studies of Saharan dust and Eyjafjallajokull/Grimsvotn volcanic plumes. Atmos. Chem. Phys. 2012, 12, 9399–9415. [Google Scholar] [CrossRef] [Green Version]
- Mamouri, R.E.; Ansmann, A. Fine and coarse dust separation with polarization lidar. Atmos. Meas. Tech. 2014, 7, 3717–3735. [Google Scholar] [CrossRef] [Green Version]
- Feng, K. Spatial and temporal evolution characteristics of days of disastrous dust weather in China from 1961 to 2017. J. Arid. Land Resour. Environ. 2020, 34, 116–123. [Google Scholar]
- Guan, Q.; Sun, X.; Yang, J.; Pan, B.; Zhao, S.; Wang, L. Dust Storms in Northern China: Long-Term Spatiotemporal Characteristics and Climate Controls. J. Clim. 2017, 30, 6683–6700. [Google Scholar] [CrossRef]
- Yang Jie, Z.T.; Xugeng, C.; Zhihua, R.; Qing, H.; Chenghao, T.; Yan, Z.; Congzhen, Z.; Zhaoye, W. Interannual variations and trends of sandstorm days averaged in the northern region of China from 2000 to 2019. J. Environ. Sci. 2021, 41, 2966–2975. [Google Scholar] [CrossRef]
- Karyampudi, V.M.; Palm, S.P.; Reagen, J.A.; Fang, H.; Grant, W.B.; Hoff, R.M.; Moulin, C.; Pierce, H.F.; Torres, O.; Browell, E.V.; et al. Validation of the Saharan dust plume conceptual model using lidar, Meteosat, and ECMWF data. Bull. Amer. Meteorol. Soc. 1999, 80, 1045–1075. [Google Scholar] [CrossRef] [Green Version]
- Wei, W.; Pi, D.; Yan, P.; Xiao, L.; Zhang, W.; Chen, T.; Luo, B.; Ding, J.; Li, J. Study on a typical dust pollution process in North China in spring in 2017. Acta Sci. Circumstantiae 2018, 38, 1699–1707. [Google Scholar]
- Chen, S.; Zhao, C.; Qian, Y.; Leung, L.R.; Huang, J.; Huang, Z.; Bi, J.; Zhang, W.; Shi, J.; Yang, L.; et al. Regional modeling of dust mass balance and radiative forcing over East Asia using WRF-Chem. Aeolian Res. 2014, 15, 15–30. [Google Scholar] [CrossRef]
- Zhang, X.Y.; Gong, S.L.; Zhao, T.L.; Arimoto, R.; Wang, Y.Q.; Zhou, Z.J. Sources of Asian dust and role of climate change versus desertification in Asian dust emission. Geophys. Res. Lett. 2003, 30, 2272. [Google Scholar] [CrossRef] [Green Version]
- Zhang, X.Y.; Arimoto, R.; An, Z.S. Dust emission from Chinese desert sources linked to variations in atmospheric circulation. J. Geophys. Res. Atmos. 1997, 102, 28041–28047. [Google Scholar] [CrossRef]
- Lachatre, M.; Foret, G.; Laurent, B.; Siour, G.; Cuesta, J.; Dufour, G.; Meng, F.; Tang, W.; Zhang, Q.; Beekmann, M. Air Quality Degradation by Mineral Dust over Beijing, Chengdu and Shanghai Chinese Megacities. Atmosphere 2020, 11, 708. [Google Scholar] [CrossRef]
- Lyu, Y.; Qu, Z.; Liu, L.; Guo, L.; Yang, Y.; Hu, X.; Xiong, Y.; Zhang, G.; Zhao, M.; Liang, B.; et al. Characterization of dustfall in rural and urban sites during three dust storms in northern China, 2010. Aeolian Res. 2017, 28, 29–37. [Google Scholar] [CrossRef]
- Zheng, S.; Singh, R.P. Aerosol and Meteorological Parameters Associated with the Intense Dust Event of 15 April 2015 over Beijing, China. Remote. Sens. 2018, 10, 957. [Google Scholar] [CrossRef] [Green Version]
- Sugimoto, N.; Matsui, I.; Shimizu, A.; Uno, I.; Asai, K.; Endoh, T.; Nakajima, T. Observation of dust and anthropogenic aerosol plumes in the Northwest Pacific with a two-wavelength polarization lidar on board the research vessel Mirai. Geophys. Res. Lett. 2002, 29, 1901. [Google Scholar] [CrossRef] [Green Version]
- Yang, T.; Wang, Z.; Zhang, B.; Wang, X.; Wang, W.; Gbauidi, A.; Gong, Y. Evaluation of the effect of air pollution control during the Beijing 2008 Olympic Games using Lidar data. Chin. Sci. Bull. 2010, 55, 1311–1316. [Google Scholar] [CrossRef]
- Fernald, F.G. Analysis of atmospheric lidar observations: Some comments. Appl. Opt. 1984, 23, 652–653. [Google Scholar] [CrossRef]
- Burton, S.P.; Ferrare, R.A.; Hostetler, C.A.; Hair, J.W.; Rogers, R.R.; Obland, M.D.; Butler, C.F.; Cook, A.L.; Harper, D.B.; Froyd, K.D. Aerosol classification using airborne High Spectral Resolution Lidar measurements–methodology and examples. Atmos. Meas. Tech. 2012, 5, 73–98. [Google Scholar] [CrossRef] [Green Version]
- Murayama, T.; Muller, D.; Wada, K.; Shimizu, A.; Sekiguchi, M.; Tsukamoto, T. Characterization of Asian dust and Siberian smoke with multiwavelength Raman lidar over Tokyo, Japan in spring 2003. Geophys. Res. Lett. 2004, 31. [Google Scholar] [CrossRef] [Green Version]
- Hofer, J.; Ansmann, A.; Althausen, D.; Engelmann, R.; Baars, H.; Fomba, K.W.; Wandinger, U.; Abdullaev, S.F.; Makhmudov, A.N. Optical properties of Central Asian aerosol relevant for spaceborne lidar applications and aerosol typing at 355 and 532 nm. Atmos. Chem. Phys. 2020, 20, 9265–9280. [Google Scholar] [CrossRef]
- Shimizu, A.; Sugimoto, N.; Matsui, I.; Arao, K.; Uno, I.; Murayama, T.; Kagawa, N.; Aoki, K.; Uchiyama, A.; Yamazaki, A. Continuous observations of Asian dust and other aerosols by polarization lidars in China and Japan during ACE-Asia. J. Geophys. Res. Atmos. 2004, 109, D19S17. [Google Scholar] [CrossRef]
- Mamouri, R.E.; Ansmann, A.; Nisantzi, A.; Kokkalis, P.; Schwarz, A.; Hadjimitsis, D. Low Arabian dust extinction-to-backscatter ratio. Geophys. Res. Lett. 2013, 40, 4762–4766. [Google Scholar] [CrossRef]
- Burton, S.P.; Hair, J.W.; Kahnert, M.; Ferrare, R.A.; Hostetler, C.A.; Cook, A.L.; Harper, D.B.; Berkoff, T.A.; Seaman, S.T.; Collins, J.E.; et al. Observations of the spectral dependence of linear particle depolarization ratio of aerosols using NASA Langley airborne High Spectral Resolution Lidar. Atmos. Chem. Phys. 2015, 15, 13453–13473. [Google Scholar] [CrossRef] [Green Version]
- Sugimoto, N.; Nishizawa, T.; Shimizu, A.; Matsui, I.; Kobayashi, H. Detection of internally mixed Asian dust with air pollution aerosols using a polarization optical particle counter and a polarization-sensitive two-wavelength lidar. J. Quant. Spectrosc. Radiat. Transf. 2015, 150, 107–113. [Google Scholar] [CrossRef]
- Sugimoto, N.; Uno, I.; Nishikawa, M.; Shimizu, A.; Matsui, I.; Dong, X.H.; Chen, Y.; Quan, H. Record heavy Asian dust in Beijing in 2002: Observations and model analysis of recent events. Geophys. Res. Lett. 2003, 30, 16–1834. [Google Scholar] [CrossRef]
- Wu, S.; Ma, X. Analysis of dust vertical and horizontal distribution during dust events in northwest China based on FY-4A,MODIS and CALIPSO satellite data. Acta Sci. Circumstantiae 2020, 40, 2892–2901. [Google Scholar]
- Sun, J.; Zhao, L. Numerical simulation of two East Asian dust storms in spring 2006. Earth Surf. Process. Landforms 2008, 33, 1892–1911. [Google Scholar] [CrossRef]
- Lei, H.; Wang, J.X.L. Observed characteristics of dust storm events over the western United States using meteorological, satellite, and air quality measurements. Atmos. Chem. Phys. 2014, 14, 7847–7857. [Google Scholar] [CrossRef] [Green Version]
- Stensrud, D.J. Importance of low-level jets to climate: A review. J. Clim. 1996, 9, 1698–1711. [Google Scholar] [CrossRef]
- Van Beelen, A.J.; Roelofs, G.J.H.; Hasekamp, O.P.; Henzing, J.S.; Rockmann, T. Estimation of aerosol water and chemical composition from AERONET Sun-sky radiometer measurements at Cabauw, the Netherlands. Atmos. Chem. Phys. 2014, 14, 5969–5987. [Google Scholar] [CrossRef] [Green Version]
- Wang, F.; Yang, T.; Wang, Z.; Chen, X.; Wang, H.; Guo, J. A comprehensive evaluation of planetary boundary layer height retrieval techniques using lidar data under different pollution scenarios. Atmos. Res. 2021, 253, 105483. [Google Scholar] [CrossRef]










| Laser | Flashlamp Pumped ND:YAG Laser | ||
| Output power | 532 nm | 30 mJ/pulse | |
| 1064 nm | 20 mJ/pulse | ||
| Telescope | Schmidt Cassegrain | ||
| Repetition rate | 10 Hz | ||
| Diameter | 20 cm | ||
| Field of view | 1 mrad | ||
| Detector | Photomultiplier tubes (532 nm dual polarization) | ||
| Dust Emission | Dust Outbreak | ||||||
|---|---|---|---|---|---|---|---|
| E1 | E2 | E3 | E1 | E2 | E3 | ||
| Wind Speed 1 | Horizontal 2 | 50.8 | 30.5 | 43.4 | 33.7 | 21.1 | 34.5 |
| Vertical 3 | −50.5 | −29.8 | −37.1 | 28.4 | 24.5 | 28.7 | |
| Vertical Divergence 4 | −54.1 | −31.0 | −46.9 | 29.5 | 28.4 | 26.7 | |
| Duration Time (h) | - | - | - | 16 | 8 | 6 | |
Publisher’s Note: MDPI stays neutral with regard to jurisdictional claims in published maps and institutional affiliations. |
© 2021 by the authors. Licensee MDPI, Basel, Switzerland. This article is an open access article distributed under the terms and conditions of the Creative Commons Attribution (CC BY) license (https://creativecommons.org/licenses/by/4.0/).
Share and Cite
Wang, F.; Yang, T.; Wang, Z.; Cao, J.; Liu, B.; Liu, J.; Chen, S.; Liu, S.; Jia, B. A Comparison of the Different Stages of Dust Events over Beijing in March 2021: The Effects of the Vertical Structure on Near-Surface Particle Concentration. Remote Sens. 2021, 13, 3580. https://doi.org/10.3390/rs13183580
Wang F, Yang T, Wang Z, Cao J, Liu B, Liu J, Chen S, Liu S, Jia B. A Comparison of the Different Stages of Dust Events over Beijing in March 2021: The Effects of the Vertical Structure on Near-Surface Particle Concentration. Remote Sensing. 2021; 13(18):3580. https://doi.org/10.3390/rs13183580
Chicago/Turabian StyleWang, Futing, Ting Yang, Zifa Wang, Jie Cao, Benli Liu, Jianbao Liu, Shengqian Chen, Shulin Liu, and Binghao Jia. 2021. "A Comparison of the Different Stages of Dust Events over Beijing in March 2021: The Effects of the Vertical Structure on Near-Surface Particle Concentration" Remote Sensing 13, no. 18: 3580. https://doi.org/10.3390/rs13183580
APA StyleWang, F., Yang, T., Wang, Z., Cao, J., Liu, B., Liu, J., Chen, S., Liu, S., & Jia, B. (2021). A Comparison of the Different Stages of Dust Events over Beijing in March 2021: The Effects of the Vertical Structure on Near-Surface Particle Concentration. Remote Sensing, 13(18), 3580. https://doi.org/10.3390/rs13183580

