Variations in the Effects of Landscape Patterns on the Urban Thermal Environment during Rapid Urbanization (1990–2020) in Megacities
Abstract
:1. Introduction
2. Materials and Methods
2.1. Study Areas
2.2. Data Source and Pre-Processing
2.3. LST Retrieval
2.4. Interpretation of Land Cover
2.5. Spatial Analysis
2.5.1. Quantification of Landscape Composition and Configuration
2.5.2. Concentric Buffer Analysis
2.5.3. Hierarchical Ridge Regression Model
3. Results
3.1. Variation in Land Cover Classifications
3.2. Comparison of Urban Thermal Environment
4. Discussion
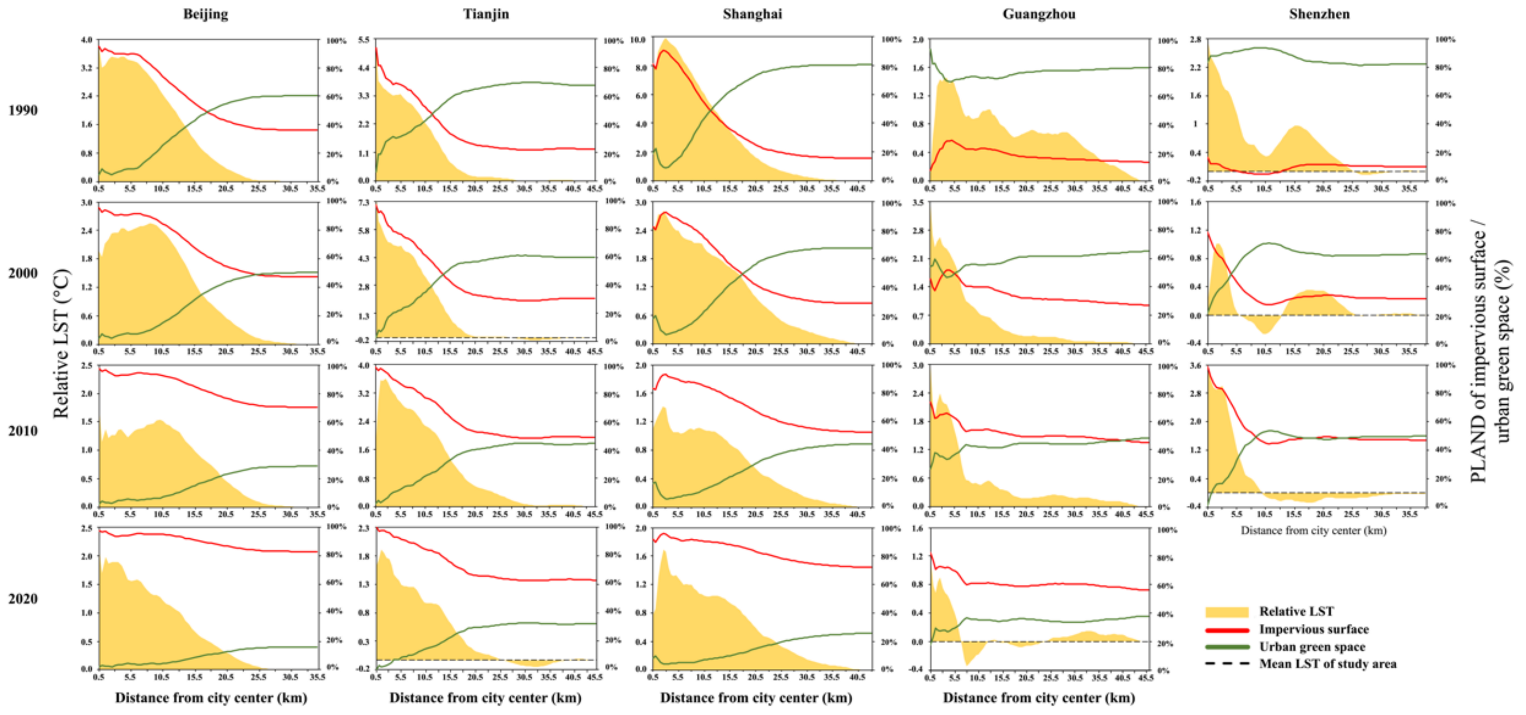
4.1. Analysis of Landscape Composition and RLST within Buffer Zones
4.2. Effects of Landscape Patterns on LST
4.3. Variations in the Effects of Landscape Patterns on the Urban Thermal Environment
4.4. Management Implications
5. Conclusions
Supplementary Materials
Author Contributions
Funding
Data Availability Statement
Acknowledgments
Conflicts of Interest
Appendix A


| Megacity | Image Acquisition Date | Maximum Air Temperature | Minimum Air Temperature | Relative Humidity | 
|---|---|---|---|---|
| Beijing | 1992/09/07 GMT 02:15 Local time 10:15 | 30.8 | 13.7 | 55 | 
| 1999/08/02 GMT 02:46 Local time 10:46 | 32.5 | 18.8 | 64 | |
| 2010/08/08 GMT 02:43 Local time 10:43 | 30.7 | 21.1 | 74 | |
| 2019/08/17 GMT 02:53 Local time 10:53 | 32.3 | 18.9 | 36 | |
| Tianjin | 1991/08/13 GMT 02:11 Local time 10:11 | 28.9 | 21.3 | 74 | 
| 1999/08/11 GMT 02:40 Local time 10:40 | 31.8 | 22.6 | 66 | |
| 2011/08/04 GMT 02:36 Local time 10:36 | 31.0 | 22.0 | 67 | |
| 2020/08/28 GMT 02:47 Local time 10:47 | 30.5 | 20.0 | 76 | |
| Shanghai | 1989/08/11 GMT 01:51 Local time 09:51 | 35.3 | 26.1 | 77 | 
| 2000/08/01 GMT 02:15 Local time 10:15 | 32.2 | 27.0 | 69 | |
| 2007/07/28 GMT 02:18 Local time 10:18 | 37.1 | 28.9 | 61 | |
| 2020/08/16 GMT 02:24 Local time 10:24 | 37.0 | 28.1 | 62 | |
| Guangzhou | 1989/07/06 GMT 02:19 Local time 10:19 | 35.6 | 26.0 | 67 | 
| 2000/09/14 GMT 02:42 Local time 10:42 | 30.7 | 20.3 | 63 | |
| 2008/07/26 GMT 02:38 Local time 10:38 | 37.7 | 27.5 | 77 | |
| 2019/09/27 GMT 02:52 Local time 10:52 | 32.6 | 19.8 | 70 | |
| Shenzhen | 1989/07/06 GMT 02:19 Local time 10:19 | 34.6 | 26.3 | 42 | 
| 2000/09/14 GMT 02:42 Local time 10:42 | 32.0 | 23.6 | 67 | |
| 2008/07/26 GMT 02:38 Local time 10:38 | 33.7 | 27.7 | 73 | |
| - | - | - | - | 
| T/°C | Beijing | Tianjin | Shanghai | Guangzhou | Shenzhen | 
|---|---|---|---|---|---|
| 1990 | 30.05 | 30.71 | 31.14 | 30.91 | 31.31 | 
| 2000 | 30.90 | 30.94 | 31.22 | 30.59 | 30.58 | 
| 2010 | 31.34 | 30.74 | 30.32 | 31.56 | 31.48 | 
| 2020 | 30.64 | 30.59 | 31.49 | 30.58 | - | 
| Landscape Patterns | Spatial Metrics | Beijing | Tianjin | Shanghai | Guangzhou | Shenzhen | ||||||||||||||
|---|---|---|---|---|---|---|---|---|---|---|---|---|---|---|---|---|---|---|---|---|
| 1990 | 2000 | 2010 | 2020 | 1990 | 2000 | 2010 | 2020 | 1990 | 2000 | 2010 | 2020 | 1990 | 2000 | 2010 | 2020 | 1990 | 2000 | 2010 | ||
| Composition | I_PLAND | 0.941 ** | 0.700 ** | 0.814 ** | 0.820 ** | 0.905 ** | 0.871 ** | 0.882 ** | 0.682 ** | 0.964 ** | 0.869 ** | 0.874 ** | 0.669 ** | 0.838 ** | 0.844 ** | 0.767 ** | 0.595 ** | 0.846 ** | 0.702 ** | 0.471 ** | 
| G_PLAND | −0.916 ** | −0.682 ** | −0.799 ** | −0.810 ** | −0.765 ** | −0.748 ** | −0.775 ** | −0.677 ** | −0.938 ** | −0.655 ** | −0.832 ** | −0.844 ** | −0.596 ** | −0.505 ** | −0.800 ** | −0.811 ** | −0.152 | −0.582 ** | −0.823 ** | |
| Configuration | I_PD | −0.789 ** | −0.651 ** | −0.744 ** | −0.706 ** | −0.193 * | −0.492 ** | −0.668 ** | −0.617 ** | −0.468 ** | −0.625 ** | −0.813 ** | −0.787 ** | −0.021 | −0.133 | −0.346 ** | −0.373 ** | 0.466 ** | 0.073 | −0.370 ** | 
| I_ED | 0.123 | −0.081 | −0.627 ** | −0.819 ** | 0.539 ** | 0.307 ** | −0.215 * | −0.328 ** | 0.599 ** | 0.054 | −0.158 ** | −0.735 ** | 0.431 ** | 0.396 ** | 0.222 ** | 0.153 * | 0.615 ** | 0.559 ** | 0.378 ** | |
| I_AREA_MN | 0.482 ** | 0.400 ** | 0.570 ** | 0.638 ** | 0.567 ** | 0.586 ** | 0.499 ** | 0.429 ** | 0.631 ** | 0.325 ** | 0.475 ** | 0.580 ** | 0.407 ** | 0.336 ** | 0.474 ** | 0.515 ** | 0.253 * | 0.475 ** | 0.422 ** | |
| I_AREA_SD | 0.761 ** | 0.551 ** | 0.735 ** | 0.768 ** | 0.773 ** | 0.744 ** | 0.700 ** | 0.577 ** | 0.790 ** | 0.567 ** | 0.715 ** | 0.789 ** | 0.516 ** | 0.560 ** | 0.678 ** | 0.713 ** | 0.277 ** | 0.580 ** | 0.670 ** | |
| I_SHAPE_MN | 0.573 ** | 0.428 ** | 0.340 ** | 0.139 | 0.523 ** | 0.654 ** | 0.382 ** | 0.370 ** | 0.768 ** | 0.367 ** | 0.472 ** | 0.361 ** | 0.363 ** | 0.354 ** | 0.366 ** | 0.352 ** | 0.436 ** | 0.337 ** | 0.301 ** | |
| I_SHAPE_SD | 0.808 ** | 0.563 ** | 0.012 | −0.448 ** | 0.667 ** | 0.645 ** | 0.278 ** | 0.108 | 0.832 ** | 0.517 ** | 0.621 ** | 0.013 | 0.503 ** | 0.482 ** | 0.333 ** | 0.281 ** | 0.431 ** | 0.495 ** | 0.482 ** | |
| I_ENN_MN | −0.781 ** | −0.536 ** | −0.557 ** | −0.472 ** | −0.342 ** | −0.475 ** | −0.389 ** | −0.384 ** | −0.687 ** | −0.155 ** | −0.121 * | −0.021 | −0.394 ** | −0.351 ** | −0.443 ** | −0.268 ** | −0.395 ** | −0.453 ** | −0.476 ** | |
| I_ENN_SD | −0.773 ** | −0.552 ** | −0.580 ** | −0.544 ** | −0.377 ** | −0.453 ** | −0.388 ** | −0.484 ** | −0.715 ** | −0.142 * | −0.282 ** | −0.157 ** | −0.377 ** | −0.375 ** | −0.436 ** | −0.439 ** | −0.338 ** | −0.427 ** | −0.432 ** | |
| I_COHESION | 0.822 ** | 0.656 ** | 0.672 ** | 0.704 ** | 0.541 ** | 0.637 ** | 0.700 ** | 0.500 ** | 0.725 ** | 0.539 ** | 0.642 ** | 0.629 ** | 0.411 ** | 0.472 ** | 0.459 ** | 0.627 ** | 0.259 ** | 0.448 ** | 0.625 ** | |
| G_PD | 0.840 ** | 0.612 ** | 0.068 | −0.450 ** | 0.786 ** | 0.707 ** | 0.482 ** | 0.215 * | 0.873 ** | 0.553 ** | 0.710 ** | 0.090 | 0.572 ** | 0.605 ** | 0.660 ** | 0.599 ** | 0.367 ** | 0.608 ** | 0.634 ** | |
| G_ ED | 0.053 | −0.104 | −0.630 ** | −0.824 ** | 0.511 ** | 0.240 ** | −0.307 ** | −0.402 ** | 0.587 ** | 0.041 | −0.179 ** | −0.741 ** | 0.431 ** | 0.311 ** | 0.175 ** | 0.074 | 0.616 ** | 0.546 ** | 0.327 ** | |
| G_ AREA_MN | −0.688 ** | −0.636 ** | −0.704 ** | −0.635 ** | −0.605 ** | −0.575 ** | −0.708 ** | −0.492 ** | −0.683 ** | −0.395 ** | −0.518 ** | −0.680 ** | −0.375 ** | −0.328 ** | −0.449 ** | −0.540 ** | −0.212 * | −0.608 ** | −0.455 ** | |
| G_ AREA_SD | −0.803 ** | −0.679 ** | −0.682 ** | −0.595 ** | −0.754 ** | −0.742 ** | −0.771 ** | −0.584 ** | −0.847 ** | −0.577 ** | −0.739 ** | −0.706 ** | −0.531 ** | −0.394 ** | −0.646 ** | −0.695 ** | −0.258 ** | −0.674 ** | −0.711 ** | |
| G_ SHAPE_MN | −0.669 ** | −0.471 ** | −0.514 ** | −0.646 ** | −0.347 ** | −0.558 ** | −0.547 ** | −0.515 ** | −0.558 ** | −0.416 ** | −0.544 ** | −0.647 ** | −0.238 ** | −0.280 ** | −0.451 ** | −0.511 ** | 0.112 | −0.216 * | −0.272 ** | |
| G_ SHAPE_SD | −0.659 ** | −0.518 ** | −0.639 ** | −0.610 ** | −0.176 * | −0.461 ** | −0.594 ** | −0.549 ** | −0.344 ** | −0.577 ** | −0.755 ** | −0.764 ** | −0.092 | −0.115 | −0.297 ** | −0.402 ** | 0.424 ** | 0.068 | −0.210 * | |
| G_ ENN_MN | 0.707 ** | 0.489 ** | 0.589 ** | 0.648 ** | −0.159 | −0.163 * | 0.178 * | 0.413 ** | 0.435 ** | 0.434 ** | 0.400 ** | 0.468 ** | 0.094 | 0.140 | 0.377 ** | 0.416 ** | −0.323 ** | −0.049 | 0.295 ** | |
| G_ ENN_SD | 0.702 ** | 0.514 ** | 0.588 ** | 0.559 ** | 0.517 ** | 0.139 | 0.071 | 0.371 ** | 0.759 ** | 0.507 ** | 0.397 ** | 0.493 ** | 0.173 * | 0.152 * | 0.391 ** | 0.383 ** | −0.066 | 0.243 ** | 0.354 ** | |
| G_ COHESION | −0.702 ** | −0.507 ** | −0.708 ** | −0.624 ** | −0.677 ** | −0.668 ** | −0.645 ** | −0.525 ** | −0.754 ** | −0.531 ** | −0.623 ** | −0.670 ** | −0.517 ** | −0.537 ** | −0.653 ** | −0.705 ** | −0.156 | −0.478 ** | −0.575 ** | |
| R2 | Beijing | Tianjin | Shanghai | Guangzhou | Shenzhen | ||||||||||||||
|---|---|---|---|---|---|---|---|---|---|---|---|---|---|---|---|---|---|---|---|
| 1990 | 2000 | 2010 | 2020 | 1990 | 2000 | 2010 | 2020 | 1990 | 2000 | 2010 | 2020 | 1990 | 2000 | 2010 | 2020 | 1990 | 2000 | 2010 | |
| Model 1 | 0.8701 | 0.5186 | 0.6485 | 0.7557 | 0.8113 | 0.7435 | 0.7703 | 0.4687 | 0.9311 | 0.4813 | 0.7907 | 0.7585 | 0.3767 | 0.5150 | 0.6974 | 0.7012 | 0.4434 | 0.5804 | 0.6942 | 
| Model 2 | 0.8760 | 0.6023 | 0.6581 | 0.7699 | 0.8279 | 0.8305 | 0.7747 | 0.5107 | 0.9449 | 0.5235 | 0.8051 | 0.7604 | 0.4310 | 0.6072 | 0.7121 | 0.7204 | 0.5136 | 0.6781 | 0.7042 | 
| Variation | 0.0059 | 0.0837 | 0.0096 | 0.0143 | 0.0166 | 0.0870 | 0.0044 | 0.0420 | 0.0138 | 0.0422 | 0.0144 | 0.0018 | 0.0543 | 0.0922 | 0.0146 | 0.0191 | 0.0702 | 0.0977 | 0.0099 | 
References
- Kuang, W.; Chi, W.; Lu, D.; Dou, Y. A comparative analysis of megacity expansions in China and the U.S.: Patterns, rates and driving forces. Landsc. Urban Plan. 2014, 132, 121–135. [Google Scholar] [CrossRef]
 - United Nations Department of Economic and Social Affairs (UNDESA). World Urbanization Prospects: The 2017 Revision; United Nations Publications: New York, NY, USA, 2018. [Google Scholar]
 - The World Bank. Health Nutrition and Population Statistics by Wealth Quintile, World Bank Group. 2020. Available online: https://datacatalog.worldbank.org/dataset/health-nutrition-and-population-statistics-wealth-quintile (accessed on 2 July 2021).
 - Tenedório, J.A.; Rebelo, C.; Estanqueiro, R.; Henriques, C.D.; Marques, L.; Gonçalves, J.A. New developments in geographical information technology for urban and spatial planning. In Technologies for Urban and Spatial Planning: Virtual Cities and Territories; IGI Global: Hershey, PA, USA, 2016; pp. 196–227. [Google Scholar] [CrossRef]
 - Tenedório, J.A.; Estanqueiro, R.; Henriques, C.D. (Eds.) Methods and Applications of Geospatial Technology in Sustainable Urbanism; IGI Global: Hershey, PA, USA, 2016; pp. 34–56. [Google Scholar] [CrossRef]
 - Liu, Y.T.; He, S.J.; Wu, F.L.; Webster, C. Urban villages under China’s rapid urbanization: Unregulated assets and transitional neighbourhoods. Habitat Int. 2010, 34, 135–144. [Google Scholar] [CrossRef]
 - Gage, E.A.; Cooper, D.J. Relationships between landscape pattern metrics, vertical structure and surface urban Heat Island formation in a Colorado suburb. Urban Ecosyst. 2017, 20, 1229–1238. [Google Scholar] [CrossRef]
 - Yin, C.H.; Yuan, M.; Lu, Y.P.; Huang, Y.P.; Liu, Y.F. Effects of urban form on the urban heat island effect based on spatial regression model. Sci. Total Environ. 2018, 634, 696–704. [Google Scholar] [CrossRef]
 - Cui, Y.P.; Xu, X.L.; Dong, J.W.; Qin, Y.C. Influence of urbanization factors on surface urban heat island intensity: A comparison of countries at different developmental phases. Sustainability 2016, 8, 706. [Google Scholar] [CrossRef] [Green Version]
 - Voogt, J.A.; Oke, T.R. Thermal remote sensing of urban climates. Remote Sens. Environ. 2003, 86, 370–384. [Google Scholar] [CrossRef]
 - Luck, M.; Wu, J.G. A gradient analysis of urban landscape pattern: A case study from the Phoenix metropolitan region, Arizona, USA. Landsc. Ecol. 2002, 17, 327–339. [Google Scholar] [CrossRef]
 - Santamouris, M.; Cartalis, C.; Synnefa, A.; Kolokotsa, D. On the impact of urban heat island and global warming on the power demand and electricity consumption of buildings—A review. Energy Build. 2015, 98, 119–124. [Google Scholar] [CrossRef]
 - Yang, X.C.; Leung, L.R.; Zhao, N.Z.; Zhao, C.; Qian, Y.; Hu, K.J.; Liu, X.P.; Chen, B.D. Contribution of urbanization to the increase of extreme heat events in an urban agglomeration in east China. Geophys. Res. Lett. 2017, 44, 6940–6950. [Google Scholar] [CrossRef]
 - Zang, J.L.; Guo, Q.Z.; Wu, X.X.; Sang, X.; Wu, H.H.; Qiao, Y. Integrated evaluation on multi-scale land surface temperature grading and bio-temperature suitability-a case study in Tianjin China. Int. J. Remote Sens. 2021, 42, 343–366. [Google Scholar] [CrossRef]
 - Duneier, M. Ethnography, the ecological fallacy, and the 1995 Chicago heat wave. Am. Sociol. Rev. 2006, 71, 679–688. [Google Scholar] [CrossRef]
 - Jenerette, G.D.; Harlan, S.L.; Buyantuev, A.; Stefanov, W.L.; Declet-Barreto, J.; Ruddell, B.L.; Myint, S.W.; Kaplan, S.; Li, X.X. Micro-scale urban surface temperatures are related to land-cover features and residential heat related health impacts in Phoenix, AZ USA. Landsc. Ecol. 2016, 31, 745–760. [Google Scholar] [CrossRef]
 - Li, X.M.; Zhou, Y.Y.; Yu, S.; Jia, G.S.; Li, H.D.; Li, W.L. Urban heat island impacts on building energy consumption: A review of approaches and findings. Energy 2019, 174, 407–419. [Google Scholar] [CrossRef]
 - Grimm, N.B.; Faeth, S.H.; Golubiewski, N.E.; Redman, C.L.; Wu, J.G.; Bai, X.M.; Briggs, J.M. Global change and the ecology of cities. Science 2008, 319, 756–760. [Google Scholar] [CrossRef] [PubMed] [Green Version]
 - Gustafson, E.J. Quantifying landscape spatial pattern: What is the state of the art? Ecosystems 1998, 1, 143–156. [Google Scholar] [CrossRef]
 - Turner, M.G. Landscape ecology: What is the state of the science? Annu. Rev. Ecol. Evol. Syst. 2005, 36, 319–344. [Google Scholar] [CrossRef]
 - Arnfield, A.J. Two decades of urban climate research: A review of turbulence, exchanges of energy and water, and the urban heat island. Int. J. Clim. A J. R. Meteorol. Soc. 2003, 23, 1–26. [Google Scholar] [CrossRef]
 - Alexander, C. Influence of the proportion, height and proximity of vegetation and buildings on urban land surface temperature. Int. J. Appl. Earth Obs. 2021, 95. [Google Scholar] [CrossRef]
 - Deilami, K.; Kamruzzaman, M.; Liu, Y. Urban heat island effect: A systematic review of spatio-temporal factors, data, methods, and mitigation measures. Int. J. Appl. Earth Obs. 2018, 67, 30–42. [Google Scholar] [CrossRef]
 - Guha, S.; Govil, H. An assessment on the relationship between land surface temperature and normalized difference vegetation index. Environ. Dev. Sustain. 2021, 23, 1944–1963. [Google Scholar] [CrossRef]
 - Zhang, Y.; Sun, L.X. Spatial-temporal impacts of urban land use land cover on land surface temperature: Case studies of two Canadian urban areas. Int. J. Appl. Earth Obs. 2019, 75, 171–181. [Google Scholar] [CrossRef]
 - Chen, A.L.; Yao, L.; Sun, R.H.; Chen, L.D. How many metrics are required to identify the effects of the landscape pattern on land surface temperature? Ecol. Indic. 2014, 45, 424–433. [Google Scholar] [CrossRef]
 - Hart, M.; Sailor, D. Quantifying the influence of land-use and surface characteristics on spatial variability in the urban heat island. Appl. Clim. 2009, 95, 397–406. [Google Scholar] [CrossRef]
 - Zhao, X.F.; Liu, J.H.; Liu, L.L. Cool island effects of urban green open spaces in the process of urbanization: A multi-temporal study of Xiamen Island. Int. Workshop Earth Obs. Remote Sens. Appl. IEEE 2016. [Google Scholar] [CrossRef]
 - Zhao, Z.Q.; He, B.J.; Li, L.G.; Wang, H.B.; Darko, A. Profile and concentric zonal analysis of relationships between land use/land cover and land surface temperature: Case study of Shenyang, China. Energy Build. 2017, 155, 282–295. [Google Scholar] [CrossRef]
 - Bokaie, M.; Zarkesh, M.K.; Arasteh, P.D.; Hosseini, A. Assessment of urban heat island based on the relationship between land surface temperature and land use/land cover in Tehran. Sustain. Cities Soc. 2016, 23, 94–104. [Google Scholar] [CrossRef]
 - Pal, S.; Ziaul, S. Detection of land use and land cover change and land surface temperature in English Bazar urban centre. Egypt. J. Remote Sens. 2017, 20, 125–145. [Google Scholar] [CrossRef] [Green Version]
 - Zhou, W.Q.; Qian, Y.G.; Li, X.M.; Li, W.F.; Han, L.J. Relationships between land cover and the surface urban heat island: Seasonal variability and effects of spatial and thematic resolution of land cover data on predicting land surface temperatures. Landsc. Ecol. 2014, 29, 153–167. [Google Scholar] [CrossRef]
 - Connors, J.P.; Galletti, C.S.; Chow, W.T.L. Landscape configuration and urban heat island effects: Assessing the relationship between landscape characteristics and land surface temperature in Phoenix, Arizona. Landsc. Ecol. 2013, 28, 271–283. [Google Scholar] [CrossRef]
 - Li, W.F.; Cao, Q.W.; Lang, K.; Wu, J.S. Linking potential heat source and sink to urban heat island: Heterogeneous effects of landscape pattern on land surface temperature. Sci. Total Environ. 2017, 586, 457–465. [Google Scholar] [CrossRef]
 - Masoudi, M.; Tan, P.Y. Multi-year comparison of the effects of spatial pattern of urban green spaces on urban land surface temperature. Landsc. Urban Plan. 2019, 184, 44–58. [Google Scholar] [CrossRef]
 - Hung, T.; Uchihama, D.; Ochi, S.; Yasuoka, Y. Assessment with satellite data of the urban heat island effects in Asian mega cities. Int. J. Appl. Earth Obs. 2006, 8, 34–48. [Google Scholar] [CrossRef]
 - Peng, S.S.; Piao, S.L.; Ciais, P.; Friedlingstein, P.; Ottle, C.; Breon, F.M.; Nan, H.J.; Zhou, L.M.; Myneni, R.B. Response to comment on “Surface urban heat island across 419 global big cities”. Environ. Sci. Technol. 2012, 46, 6889–6890. [Google Scholar] [CrossRef]
 - Yao, R.; Wang, L.; Huang, X.; Liu, Y.; Niu, Z.; Wang, S.; Wang, L. Long-term trends of surface and canopy layer urban heat island intensity in 272 cities in the mainland of China. Sci. Total Environ. 2021, 772, 145607. [Google Scholar] [CrossRef]
 - Estoque, R.C.; Murayama, Y.; Myint, S.W. Effects of landscape composition and pattern on land surface temperature: An urban heat island study in the megacities of Southeast Asia. Sci. Total Environ. 2017, 577, 349–359. [Google Scholar] [CrossRef]
 - Morabito, M.; Crisci, A.; Guerri, G.; Messeri, A.; Congedo, L.; Munafo, M. Surface urban heat islands in Italian metropolitan cities: Tree cover and impervious surface influences. Sci. Total Environ. 2021, 751, 142334. [Google Scholar] [CrossRef] [PubMed]
 - Tran, D.X.; Pla, F.; Latorre-Carmona, P.; Myint, S.W.; Gaetano, M.; Kieu, H.V. Characterizing the relationship between land use land cover change and land surface temperature. ISPRS. J. Photogramm. 2017, 124, 119–132. [Google Scholar] [CrossRef] [Green Version]
 - Guo, L.J.; Liu, R.M.; Men, C.; Wang, Q.R.; Miao, Y.X.; Zhang, Y. Quantifying and simulating landscape composition and pattern impacts on land surface temperature: A decadal study of the rapidly urbanizing city of Beijing, China. Sci. Total Environ. 2019, 654, 430–440. [Google Scholar] [CrossRef] [PubMed]
 - Peng, J.; Xie, P.; Liu, Y.X.; Ma, J. Urban thermal environment dynamics and associated landscape pattern factors: A case study in the Beijing metropolitan region. Remote Sens. Environ. 2016, 173, 145–155. [Google Scholar] [CrossRef]
 - Zhou, W.Q.; Huang, G.L.; Cadenasso, M.L. Does spatial configuration matter? Understanding the effects of land cover pattern on land surface temperature in urban landscapes. Landsc. Urban Plan. 2011, 102, 54–63. [Google Scholar] [CrossRef]
 - Li, Y.; Ye, H.; Gao, X.; Sun, D.; Li, Z.; Zhang, N.; Leng, X.; Meng, D.; Zheng, J. Spatiotemporal patterns of urbanization in the three most developed urban agglomerations in china based on continuous nighttime light data (2000–2018). Remote Sens. 2021, 13, 2245. [Google Scholar] [CrossRef]
 - Meng, Q.Y.; Zhang, L.L.; Sun, Z.H.; Meng, F.; Wang, L.; Sun, Y.X. Characterizing spatial and temporal trends of surface urban heat island effect in an urban main built-up area: A 12-year case study in Beijing, China. Remote Sens. Environ. 2018, 204, 826–837. [Google Scholar] [CrossRef]
 - Peng, J.; Jia, J.L.; Liu, Y.X.; Li, H.L.; Wu, J.S. Seasonal contrast of the dominant factors for spatial distribution of land surface temperature in urban areas. Remote Sens. Environ. 2018, 215, 255–267. [Google Scholar] [CrossRef]
 - Qiao, Z.; Liu, L.; Qin, Y.W.; Xu, X.L.; Wang, B.W.; Liu, Z.J. The Impact of urban renewal on land surface temperature changes: A case study in the main city of Guangzhou, China. Remote Sens. 2020, 12, 794. [Google Scholar] [CrossRef] [Green Version]
 - Yue, W.Z.; Liu, X.; Zhou, Y.Y.; Liu, Y. Impacts of urban configuration on urban heat island: An empirical study in China mega-cities. Sci. Total Environ. 2019, 671, 1036–1046. [Google Scholar] [CrossRef]
 - Zhou, D.C.; Bonafoni, S.; Zhang, L.X.; Wang, R.H. Remote sensing of the urban heat island effect in a highly populated urban agglomeration area in East China. Sci. Total Environ. 2018, 628, 415–429. [Google Scholar] [CrossRef]
 - Wang, M.; Zhang, Z.; Hu, T.; Liu, X. A practical single-channel algorithm for land surface temperature retrieval: Application to landsat series data. J. Geophys. Res. Atmos. 2019, 124, 299–316. [Google Scholar] [CrossRef]
 - Wang, M.; Zhang, Z.; Hu, T.; Wang, G.; He, G.; Zhang, Z.; Li, H.; Wu, Z.; Liu, X. An efficient framework for producing landsat-based land surface temperature data using Google Earth Engine. IEEE J. Sel. Top. Appl. Earth Obs. Remote Sens. 2020, 13, 4689–4701. [Google Scholar] [CrossRef]
 - Weng, Q. Thermal infrared remote sensing for urban climate and environmental studies: Methods, applications, and trends. ISPRS J. Photogramm. Remote Sens. 2009, 64, 335–344. [Google Scholar] [CrossRef]
 - Ren, H.; Du, C.; Liu, R.; Qin, Q.; Yan, G.; Li, Z.-L.; Meng, J. Atmospheric water vapor retrieval from Landsat 8 thermal infrared images. J. Geophys. Res. Atmos. 2015, 120, 1723–1738. [Google Scholar] [CrossRef]
 - Wang, M.; He, G.; Zhang, Z.; Wang, G.; Long, T. NDVI-based split-window algorithm for precipitable water vapour retrieval from Landsat-8 TIRS data over land area. Remote Sens. Lett. 2015, 6, 904–913. [Google Scholar] [CrossRef]
 - Sobrino, J.A.; Jimenez-Munoz, J.C.; Soria, G.; Romaguera, M.; Guanter, L.; Moreno, J.; Plaza, A.; Martincz, P. Land surface emissivity retrieval from different VNIR and TIR sensors. IEEE Trans. Geosci. Remote Sens. 2008, 46, 316–327. [Google Scholar] [CrossRef]
 - Huete, A.; Didan, K.; Miura, T.; Rodriguez, E.P.; Gao, X.; Ferreira, L.G. Overview of the radiometric and biophysical performance of the MODIS vegetation indices. Remote Sens. Environ. 2002, 83, 195–213. [Google Scholar] [CrossRef]
 - Sobrino, J.A.; Raissouni, N. Toward remote sensing methods for land cover dynamic monitoring: Application to Morocco. Int. J. Remote Sens. 2000, 21, 353–366. [Google Scholar] [CrossRef]
 - Seto, K.C.; Fragkias, M. Quantifying spatiotemporal patterns of urban land-use change in four cities of china with time series landscape metrics. Landsc. Ecol. 2005, 20, 871–888. [Google Scholar] [CrossRef]
 - Tian, G.; Jiang, J.; Yang, Z.; Zhang, Y. The urban growth, size distribution and spatio-temporal dynamic pattern of the Yangtze River Delta megalopolitan region, China. Ecol. Model. 2011, 222, 865–878. [Google Scholar] [CrossRef]
 - Kuang, W. 70 years of urban expansion across China: Trajectory, pattern, and national policies. Sci. Bull. 2020, 65, 1970–1974. [Google Scholar] [CrossRef]
 - Xiao, R.; Ouyang, Z.; Zheng, H.; Li, W.; Schienke, E.W.; Wang, X. Spatial pattern of impervious surfaces and their impacts on land surface temperature in Beijing, China. J. Environ. Sci. 2007, 19, 250–256. [Google Scholar] [CrossRef]
 - Fei, W.; Zhao, S. Urban land expansion in China’s six megacities from 1978 to 2015. Sci. Total Environ. 2019, 664, 60–71. [Google Scholar] [CrossRef]
 - Li, X.; Zhou, W.; Ouyang, Z.; Xu, W.; Zheng, H. Spatial pattern of greenspace affects land surface temperature: Evidence from the heavily urbanized Beijing metropolitan area, China. Landsc. Ecol. 2012, 27, 887–898. [Google Scholar] [CrossRef]
 - Li, Y.; Ye, H.; Sun, X.; Zheng, J.; Meng, D. Coupling analysis of the thermal landscape and environmental carrying capacity of urban expansion in Beijing (China) over the past 35 years. Sustainability 2021, 13, 584. [Google Scholar] [CrossRef]
 - Santamouris, M.; Ban-Weiss, G.; Osmond, P.; Paolini, R.; Synnefa, A.; Cartalis, C.; Muscio, A.; Zinzi, M.; Morakinyo, T.E.; Ng, E.; et al. Progress in urban greenery mitigation science—Assessment methodologies advanced technologies and impact on cities. J. Civ. Eng. Manag. 2018, 24, 638–671. [Google Scholar] [CrossRef] [Green Version]
 - Yu, Z.; Yao, Y.; Yang, G.; Wang, X.; Vejre, H. Spatiotemporal patterns and characteristics of remotely sensed region heat islands during the rapid urbanization (1995–2015) of Southern China. Sci. Total Environ. 2019, 674, 242–254. [Google Scholar] [CrossRef]
 - Fan, H.; Yu, Z.; Yang, G.; Liu, T.Y.; Liu, T.Y.; Hung, C.H.; Vejre, H. How to cool hot-humid (Asian) cities with urban trees? An optimal landscape size perspective. Agric. For. Meteorol. 2019, 265, 338–348. [Google Scholar] [CrossRef]
 - Lin, W.; Yu, T.; Chang, X.; Wu, W.; Zhang, Y. Calculating cooling extents of green parks using remote sensing: Method and test. Landsc. Urban Plan. 2015, 134, 66–75. [Google Scholar] [CrossRef]
 - Yu, Z.; Guo, X.; Jorgensen, G.; Vejre, H. How can urban green spaces be planned for climate adaptation in subtropical cities? Ecol. Indic. 2017, 82, 152–162. [Google Scholar] [CrossRef]
 - Maimaitiyiming, M.; Ghulam, A.; Tiyip, T.; Pla, F.; Latorre-Carmona, P.; Halik, U.; Sawut, M.; Caetano, M. Effects of green space spatial pattern on land surface temperature: Implications for sustainable urban planning and climate change adaptation. ISPRS J. Photogramm. 2014, 89, 59–66. [Google Scholar] [CrossRef] [Green Version]
 - Song, Y.; Song, X.; Shao, G. Effects of green space patterns on urban thermal environment at multiple spatial-temporal scales. Sustainability 2020, 12, 6850. [Google Scholar] [CrossRef]
 - Chen, A.L.; Sun, R.H.; Chen, L.D. Applicability of traditional landscape metrics in evaluating urban heat island effect. J. Appl. Ecol. 2012, 23, 2077–2086. (in Chinese). [Google Scholar]
 - Zhou, W.; Cao, F. Effects of changing spatial extent on the relationship between urban forest patterns and land surface temperature. Ecol. Indic. 2020, 109. [Google Scholar] [CrossRef]
 - Asgarian, A.; Amiri, B.J.; Sakieh, Y. Assessing the effect of green cover spatial patterns on urban land surface temperature using landscape metrics approach. Urban Ecosyst. 2015, 18, 209–222. [Google Scholar] [CrossRef]
 - Cao, X.; Onishi, A.; Chen, J.; Imura, H. Quantifying the cool island intensity of urban parks using ASTER and IKONOS data. Landsc. Urban Plan. 2010, 96, 224–231. [Google Scholar] [CrossRef]
 







| Megacity | Image Acquisition Date | Datasets | Path-Row | Population (Million) | GDP (Billion $) | 
|---|---|---|---|---|---|
| Beijing | 1992/09/07 GMT 02:15 Local time 10:15 | Landsat 5 TM | 123-32 | 10.86 | 10.47 | 
| 1999/08/02 GMT 02:46 Local time 10:46 | Landsat 7 ETM | 123-32 | 13.64 | 38.80 | |
| 2010/08/08 GMT 02:43 Local time 10:43 | Landsat 5 TM | 123-32 | 19.62 | 211.50 | |
| 2019/08/17 GMT 02:53 Local time 10:53 | Landsat 8 TIRSI | 123-32 | 21.54 | 512.82 | |
| Tianjin | 1991/08/13 GMT 02:11 Local time 10:11 | Landsat 5 TM | 122-33 | 8.84 | 6.50 | 
| 1999/08/11 GMT 02:40 Local time 10:40 | Landsat 7 ETM | 122-33 | 10.01 | 20.56 | |
| 2011/08/04 GMT 02:36 Local time 10:36 | Landsat 5 TM | 122-33 | 12.99 | 135.10 | |
| 2020/08/28 GMT 02:47 Local time 10:47 | Landsat 8 TIRSI | 122-33 | 15.62 | 204.49 | |
| Shanghai | 1989/08/11 GMT 01:51 Local time 09:51 | Landsat 5 TM | 118-38 | 13.34 | 16.34 | 
| 2000/08/01 GMT 02:15 Local time 10:15 | Landsat 7 ETM | 118-38 | 16.09 | 58.12 | |
| 2007/07/28 GMT 02:18 Local time 10:18 | Landsat 5 TM | 118-38 | 23.03 | 255.37 | |
| 2020/08/16 GMT 02:24 Local time 10:24 | Landsat 8 TIRSI | 118-38 | 24.28 | 553.18 | |
| Guangzhou | 1989/07/06 GMT 02:19 Local time 10:19 | Landsat 5 TM | 122-44 | 5.92 | 6.68 | 
| 2000/09/14 GMT 02:42 Local time 10:42 | Landsat 7 ETM | 122-44 | 9.95 | 30.26 | |
| 2008/07/26 GMT 02:38 Local time 10:38 | Landsat 5 TM | 122-44 | 12.71 | 155.84 | |
| 2019/09/27 GMT 02:52 Local time 10:52 | Landsat 8 TIRSI | 122-44 | 28.74 | 342.57 | |
| Shenzhen | 1989/07/06 GMT 02:19 Local time 10:19 | Landsat 5 TM | 122-44 | 1.68 | 3.59 | 
| 2000/09/14 GMT 02:42 Local time 10:42 | Landsat 7 ETM | 122-44 | 7.01 | 26.80 | |
| 2008/07/26 GMT 02:38 Local time 10:38 | Landsat 5 TM | 122-44 | 10.37 | 147.47 | |
| - | - | - | 12.52 | 392.97 | 
| Spatial Metrics | Abbreviation | Description | 
|---|---|---|
| Composition | ||
| Percent of landscape | PLAND | The percentage of each landscape type | 
| Configuration | ||
| Patch density | PD | The patch number of each landscape per unit area | 
| Edge density | ED | The total length of each landscape per unit area | 
| Mean patch area | AREA_MN | Reflecting the patch area or size of each landscape type | 
| Standard deviation of patch area | AREA_SD | A measure of the variability of patch area or size | 
| Mean shape index | SI_MN | A straightforward measure of shape complexity | 
| Standard deviation of shape index | SI_SD | A measure of the variability of shape complexity | 
| Mean Euclidian nearest neighbor distance | ENN_MN | The average distance of one landscape patch to its nearest neighbor patch of the same landscape | 
| Standard deviation of Euclidian nearest neighbor distance | ENN_SD | A measure of the variability of nearest neighbor distance | 
| Patch cohesion | CI | Reflecting the dispersion and interspersion of the landscape | 
| Beijing | Tianjin | Shanghai | Guangzhou | Shenzhen | |
|---|---|---|---|---|---|
| Proportion of urban green space | |||||
| 1990 | 60.44% | 60.26% | 80.43% | 79.62% | 82.34% | 
| 2000 | 50.33% | 67.21% | 67.59% | 65.04% | 63.73% | 
| 2010 | 28.85% | 44.45% | 44.49% | 48.12% | 50.97% | 
| 2020 | 15.52% | 32.63% | 25.76% | 37.88% | 44.33% | 
| Annual growth rate of urban green space | |||||
| 1990–2000 | −1.81% | 1.10% | −1.72% | −2.00% | −2.53% | 
| 2000–2010 | −5.41% | −4.05% | −4.10% | −2.97% | −2.21% | 
| 2010–2020 | −6.01% | −3.04% | −5.32% | −2.36% | −1.39% | 
| 1990–2020 | −4.43% | −2.02% | −3.72% | −2.45% | −2.04% | 
| Proportion of impervious surface | |||||
| 1990 | 36.00% | 22.43% | 15.74% | 13.36% | 10.04% | 
| 2000 | 47.19% | 30.47% | 28.47% | 27.24% | 31.88% | 
| 2010 | 70.20% | 48.68% | 52.87% | 45.25% | 48.01% | 
| 2020 | 83.12% | 63.06% | 72.44% | 56.15% | 55.21% | 
| Annual growth rate of impervious surface | |||||
| 1990–2000 | 2.74% | 3.11% | 6.11% | 5.38% | 12.25% | 
| 2000–2010 | 4.05% | 4.80% | 6.39% | 7.21% | 4.18% | 
| 2010–2020 | 1.70% | 2.62% | 3.20% | 2.18% | 1.41% | 
| 1990–2020 | 2.83% | 3.51% | 5.22% | 4.90% | 5.85% | 
| Metric | Correlation between Spatial Metrics and LST | Study Area | Acquisition Year of Data | Reference | |
|---|---|---|---|---|---|
| Impervious Surface | Urban Green Space | ||||
| Edge density (ED) | P | N | Bangkok, Jakarta, Manila, Southeast Asia | 2014 | [39] | 
| N | N | Baltimore, USA | 1999 | [44] | |
| - | N | Aksu, China | 2011 | [71] | |
| P | P | Hangzhou, China | 2016 | [72] | |
| - | P | Beijing, China | 2002 | [73] | |
| Patch density (PD) | - | N | Aksu, China | 2011 | [71] | 
| P | N | Bangkok, Jakarta, Manila, Southeast Asia | 2014 | [39] | |
| - | P | Beijing, China | 2002 | [73] | |
| - | P | Shanghai, China | 2017 | [74] | |
| Shape index (SI) | - | N | Baltimore, USA | 1999 | [44] | 
| - | N | Isfahan, Iran | 2002 | [75] | |
| - | N | Nagoya, Japan | 2004 | [76] | |
| - | P | Hangzhou, China | 2016 | [72] | |
| - | P | Shanghai, China | 2016 | [74] | |
| - | P | Beijing, China | 2002 | [73] | |
Publisher’s Note: MDPI stays neutral with regard to jurisdictional claims in published maps and institutional affiliations.  | 
© 2021 by the authors. Licensee MDPI, Basel, Switzerland. This article is an open access article distributed under the terms and conditions of the Creative Commons Attribution (CC BY) license (https://creativecommons.org/licenses/by/4.0/).
Share and Cite
Ye, H.; Li, Z.; Zhang, N.; Leng, X.; Meng, D.; Zheng, J.; Li, Y. Variations in the Effects of Landscape Patterns on the Urban Thermal Environment during Rapid Urbanization (1990–2020) in Megacities. Remote Sens. 2021, 13, 3415. https://doi.org/10.3390/rs13173415
Ye H, Li Z, Zhang N, Leng X, Meng D, Zheng J, Li Y. Variations in the Effects of Landscape Patterns on the Urban Thermal Environment during Rapid Urbanization (1990–2020) in Megacities. Remote Sensing. 2021; 13(17):3415. https://doi.org/10.3390/rs13173415
Chicago/Turabian StyleYe, Haipeng, Zehong Li, Ninghui Zhang, Xuejing Leng, Dan Meng, Ji Zheng, and Yu Li. 2021. "Variations in the Effects of Landscape Patterns on the Urban Thermal Environment during Rapid Urbanization (1990–2020) in Megacities" Remote Sensing 13, no. 17: 3415. https://doi.org/10.3390/rs13173415
APA StyleYe, H., Li, Z., Zhang, N., Leng, X., Meng, D., Zheng, J., & Li, Y. (2021). Variations in the Effects of Landscape Patterns on the Urban Thermal Environment during Rapid Urbanization (1990–2020) in Megacities. Remote Sensing, 13(17), 3415. https://doi.org/10.3390/rs13173415
        
                                                
