BFAST Lite: A Lightweight Break Detection Method for Time Series Analysis
Abstract
:1. Introduction
2. Data and Methods
2.1. The BFAST Lite Algorithm
2.2. Testing the Performance of BFAST Lite
2.2.1. Compared Algorithms
2.2.2. Satellite Data
2.2.3. Reference Data and Validation
3. Results
3.1. Accuracy Comparison
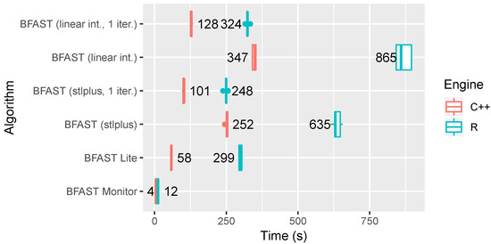
3.2. Run Time Benchmark
4. Discussion and Outlook
5. Conclusions
Author Contributions
Funding
Institutional Review Board Statement
Informed Consent Statement
Data Availability Statement
Acknowledgments
Conflicts of Interest
Abbreviations
| AIC | Akaike’s Information Criterion. 3, 11 |
| BFAST | Breaks For Additive Season and Trend. 1, 2, 3, 4, 5, 6, 8, 9, 10, 11, 12, 14 |
| BIC | Bayesian Information Criterion. 3, 5, 9, 11 |
| CCDC | Continuous Change Detection and Classification. 1, 2 |
| CGLS-LC100 | Copernicus Global Land Services Land Cover 100 m. 3, 6, 13 |
| EWMACD | Exponentially Weighted Moving Average Change Detection. 1 |
| IIASA | International Institute for Applied Systems Analysis. 6, 13 |
| JUST | Jumps Upon Spectrum and Trend. 1 |
| LWZ | information criterion of Liu,Wu and Zidek. 3, 5, 8, 9, 11, 12, 13 |
| OLS-MOSUM | ordinary least squares residual moving sum. 3, 4, 6, 8, 10 |
| RSS | residual sum of squares. 3, 11 |
| STL | Seasonal decomposition of Time series by Loess. 3, 11 |
| TSCCD | Time-Series Classification approach based on Change Detection. 1 |
Appendix A
| Parameter | BFAST | BFAST Lite |
|---|---|---|
| Minimum segment size h | 15% by default | 15% by default |
| Trend component | Always included | Included by default, can be disabled |
| Seasonality component | Either harmonics or seasonal dummies | Harmonics, seasonal dummies, both or external regressor |
| Maximum harmonic order | Preset to 3 | Customisable, defaults to 3 |
| Number of seasonal dummies | Preset to equal to observations per year | Customisable, defaults to the number of observations per year but can be fewer |
| Maximum number of iterations | 10 by default | 1 |
| Structural change test type | OLS-MOSUM by default | None, from version 1.7: optional with none by default |
| Structural change test significance threshold | 0.05 by default | None, from version 1.7: optional with 0.05 by default |
| Decomposition algorithm | STL by default or stlplus | None by default, STL or stlplus on any of the components |
| Break number selection criterion | Preset to BIC | LWZ by default, BIC, RSS |
| Autoregressive components | None (not supported) | None by default, seasonal lag, trend lag, or both |
References
- Kennedy, R.E.; Yang, Z.; Cohen, W.B. Detecting trends in forest disturbance and recovery using yearly Landsat time series: 1. LandTrendr—Temporal segmentation algorithms. Remote Sens. Environ. 2010, 114, 2897–2910. [Google Scholar] [CrossRef]
- Verbesselt, J.; Hyndman, R.; Newnham, G.; Culvenor, D. Detecting trend and seasonal changes in satellite image time series. Remote Sens. Environ. 2010, 114, 106–115. [Google Scholar] [CrossRef]
- Verbesselt, J.; Zeileis, A.; Herold, M. Near real-time disturbance detection using satellite image time series. Remote Sens. Environ. 2012, 123, 98–108. [Google Scholar] [CrossRef]
- Zhu, Z.; Woodcock, C.E. Continuous change detection and classification of land cover using all available Landsat data. Remote Sens. Environ. 2014, 144, 152–171. [Google Scholar] [CrossRef] [Green Version]
- Brooks, E.B.; Wynne, R.H.; Thomas, V.A.; Blinn, C.E.; Coulston, J.W. On-the-Fly Massively Multitemporal Change Detection Using Statistical Quality Control Charts and Landsat Data. IEEE Trans. Geosci. Remote Sens. 2014, 52. [Google Scholar] [CrossRef]
- Yan, J.; Wang, L.; Song, W.; Chen, Y.; Chen, X.; Deng, Z. A time-series classification approach based on change detection for rapid land cover mapping. ISPRS J. Photogramm. Remote Sens. 2019, 158, 249–262. [Google Scholar] [CrossRef]
- Ghaderpour, E.; Vujadinovic, T. Change Detection within Remotely Sensed Satellite Image Time Series via Spectral Analysis. Remote Sens. 2020, 12, 4001. [Google Scholar] [CrossRef]
- Kennedy, R.E.; Yang, Z.; Gorelick, N.; Braaten, J.; Cavalcante, L.; Cohen, W.B.; Healey, S. Implementation of the LandTrendr Algorithm on Google Earth Engine. Remote Sens. 2018, 10, 691. [Google Scholar] [CrossRef] [Green Version]
- Hamunyela, E.; Rosca, S.; Mirt, A.; Engle, E.; Herold, M.; Gieseke, F.; Verbesselt, J. Implementation of BFASTmonitor Algorithm on Google Earth Engine to Support Large-Area and Sub-Annual Change Monitoring Using Earth Observation Data. Remote Sens. 2020, 12, 2953. [Google Scholar] [CrossRef]
- De Jong, R.; Verbesselt, J.; Zeileis, A.; Schaepman, M.E. Shifts in Global Vegetation Activity Trends. Remote Sens. 2013, 5, 1117–1133. [Google Scholar] [CrossRef] [Green Version]
- Watts, L.M.; Laffan, S.W. Effectiveness of the BFAST algorithm for detecting vegetation response patterns in a semi-arid region. Remote Sens. Environ. 2014, 154, 234–245. [Google Scholar] [CrossRef]
- Fang, X.; Zhu, Q.; Ren, L.; Chen, H.; Wang, K.; Peng, C. Large-scale detection of vegetation dynamics and their potential drivers using MODIS images and BFAST: A case study in Quebec, Canada. Remote Sens. Environ. 2018, 206, 391–402. [Google Scholar] [CrossRef]
- Murillo-Sandoval, P.J.; Hilker, T.; Krawchuk, M.A.; Van Den Hoek, J. Detecting and Attributing Drivers of Forest Disturbance in the Colombian Andes Using Landsat Time-Series. Forests 2018, 9, 269. [Google Scholar] [CrossRef] [Green Version]
- Bernardino, P.N.; Keersmaecker, W.D.; Fensholt, R.; Verbesselt, J.; Somers, B.; Horion, S. Global-scale characterization of turning points in arid and semi-arid ecosystem functioning. Glob. Ecol. Biogeogr. 2020, 29, 1230–1245. [Google Scholar] [CrossRef] [Green Version]
- Burrell, A.L.; Evans, J.P.; Liu, Y. Detecting dryland degradation using Time Series Segmentation and Residual Trend analysis (TSS-RESTREND). Remote Sens. Environ. 2017, 197, 43–57. [Google Scholar] [CrossRef]
- Hamunyela, E.; Verbesselt, J.; Herold, M. Using spatial context to improve early detection of deforestation from Landsat time series. Remote Sens. Environ. 2016, 172, 126–138. [Google Scholar] [CrossRef]
- Cleveland, R.; Cleveland, W.; McRae, J.E.; Terpenning, I.J. STL: A seasonal-trend decomposition procedure based on LOESS (with discussion). J. Off. Stat. 1990, 6, 3–73. [Google Scholar]
- Bai, J.; Perron, P. Computation and analysis of multiple structural change models. J. Appl. Econom. 2003, 18, 1–22. [Google Scholar] [CrossRef] [Green Version]
- Jakubauskas, M.E.; Legates, D.R.; Kastens, J.H. Harmonic analysis of time-series AVHRR NDVI data. Photogramm. Eng. Remote Sens. 2001, 67, 461–470. [Google Scholar]
- Makridakis, S.G.; Wheelwright, S.C.; Hyndman, R.J. Forecasting: Methods and Applications, 3 ed.; Wiley: New York, NY, USA, 1997. [Google Scholar]
- Dutrieux, L.P.; Verbesselt, J.; Kooistra, L.; Herold, M. Monitoring forest cover loss using multiple data streams, a case study of a tropical dry forest in Bolivia. ISPRS J. Photogramm. Remote Sens. 2015, 107, 112–125. [Google Scholar] [CrossRef]
- Zeileis, A.; Kleiber, C.; Krämer, W.; Hornik, K. Testing and dating of structural changes in practice. Comput. Stat. Data Anal. 2003, 44, 109–123. [Google Scholar] [CrossRef] [Green Version]
- Liu, J.; Wu, S.; Zidek, J.V. On segmented multivariate regression. Stat. Sin. 1997, 7, 497–525. [Google Scholar]
- Shao, Q.; Campbell, N.A. Applications: Modelling trends in groundwater levels by segmented regression with constraints. Aust. N. Z. J. Stat. 2002, 44, 129–141. [Google Scholar] [CrossRef]
- Masiliūnas, D.; Verbesselt, J.; Zeileis, A.; Appel, M. bfast. Version 1.6.1; Zenodo: Genève, Switzerland, 2021. [Google Scholar] [CrossRef]
- Awty-Carroll, K.; Bunting, P.; Hardy, A.; Bell, G. An Evaluation and Comparison of Four Dense Time Series Change Detection Methods Using Simulated Data. Remote Sens. 2019, 11, 2779. [Google Scholar] [CrossRef] [Green Version]
- Hafen, R. Stlplus: Enhanced Seasonal Decomposition of Time Series by Loess; R Package Version 0.5.1. 2016. Available online: https://cran.r-project.org/web/packages/stlplus/stlplus.pdf (accessed on 20 August 2021).
- Dutrieux, L.P.; Jakovac, C.C.; Latifah, S.H.; Kooistra, L. Reconstructing land use history from Landsat time-series: Case study of a swidden agriculture system in Brazil. Int. J. Appl. Earth Obs. Geoinf. 2016, 47, 112–124. [Google Scholar] [CrossRef]
- Mersmann, O. Microbenchmark: Accurate Timing Functions; R Package Version 1.4-7. 2019. Available online: https://cran.r-project.org/web/packages/microbenchmark/microbenchmark.pdf (accessed on 20 August 2021).
- Badgley, G.; Field, C.B.; Berry, J.A. Canopy near-infrared reflectance and terrestrial photosynthesis. Sci. Adv. 2017, 3. [Google Scholar] [CrossRef] [Green Version]
- Buchhorn, M.; Bertels, L.; Smets, B.; Roo, B.D.; Lesiv, M.; Tsendbazar, N.E.; Masiliūnas, D.; Li, L. Copernicus Global Land Service: Land Cover 100 m: Version 3 Globe 2015–2019: Algorithm Theoretical Basis Document; Zenodo: Genève, Switzerland, 2021. [Google Scholar] [CrossRef]
- Zhou, X.; Del Valle, A. Range Based Confusion Matrix for Imbalanced Time Series Classification. In Proceedings of the 2020 6th Conference on Data Science and Machine Learning Applications (CDMA), Riyadh, Saudi Arabia, 4–5 March 2020; pp. 1–6. [Google Scholar] [CrossRef]
- Cohen, W.B.; Healey, S.P.; Yang, Z.; Stehman, S.V.; Brewer, C.K.; Brooks, E.B.; Gorelick, N.; Huang, C.; Hughes, M.J.; Kennedy, R.E.; et al. How similar are forest disturbance maps derived from different Landsat time series algorithms? Forests 2017, 8, 98. [Google Scholar] [CrossRef]
- Xu, L.; Herold, M.; Tsendbazar, N.E.; Masiliūnas, D.; Li, L.; Lesiv, M.; Fritz, S.; Verbesselt, J. Time series analysis for global land cover change monitoring: A comparison across sensors. in review.





| Algorithm | Sensitivity | Specificity | Precision | F1 score | OA | Beta |
|---|---|---|---|---|---|---|
| BFAST Lite (BIC) | 0.737 | 0.881 | 0.607 | 0.666 | 0.852 | 0.130 |
| BFAST Lite (LWZ) | 0.569 | 0.943 | 0.715 | 0.633 | 0.868 | 0.146 |
| BFAST (linear int.) | 0.880 | 0.807 | 0.518 | 0.653 | 0.821 | 0.362 |
| BFAST (stlplus) | 0.811 | 0.832 | 0.540 | 0.648 | 0.827 | 0.271 |
| BFAST Monitor | 0.852 | 0.851 | 0.587 | 0.695 | 0.851 | 0.265 |
| Algorithm | Advantages | Disadvantages |
|---|---|---|
| BFAST [2] | Detects breaks in trends and seasonality separately | Slow, limited number of parameters, overestimates change |
| BFAST Monitor [3] | Designed to detect breaks at the end of time series (near real-time), fastest, many tunable parameters | By default not designed for multiple breakpoints, overestimates change |
| BFAST Lite (this study) | Faster than BFAST, designed for multiple breakpoints, many tunable parameters, lowest bias between sensitivity and precision, highest OA | Needs parameter tuning to optimise performance, does not differentiate between breaks in seasonality and trend |
Publisher’s Note: MDPI stays neutral with regard to jurisdictional claims in published maps and institutional affiliations. |
© 2021 by the authors. Licensee MDPI, Basel, Switzerland. This article is an open access article distributed under the terms and conditions of the Creative Commons Attribution (CC BY) license (https://creativecommons.org/licenses/by/4.0/).
Share and Cite
Masiliūnas, D.; Tsendbazar, N.-E.; Herold, M.; Verbesselt, J. BFAST Lite: A Lightweight Break Detection Method for Time Series Analysis. Remote Sens. 2021, 13, 3308. https://doi.org/10.3390/rs13163308
Masiliūnas D, Tsendbazar N-E, Herold M, Verbesselt J. BFAST Lite: A Lightweight Break Detection Method for Time Series Analysis. Remote Sensing. 2021; 13(16):3308. https://doi.org/10.3390/rs13163308
Chicago/Turabian StyleMasiliūnas, Dainius, Nandin-Erdene Tsendbazar, Martin Herold, and Jan Verbesselt. 2021. "BFAST Lite: A Lightweight Break Detection Method for Time Series Analysis" Remote Sensing 13, no. 16: 3308. https://doi.org/10.3390/rs13163308
APA StyleMasiliūnas, D., Tsendbazar, N.-E., Herold, M., & Verbesselt, J. (2021). BFAST Lite: A Lightweight Break Detection Method for Time Series Analysis. Remote Sensing, 13(16), 3308. https://doi.org/10.3390/rs13163308

