Regional Evaluation of Minor Tidal Constituents for Improved Estimation of Ocean Tides
Abstract
:1. Introduction
2. Data and Methodology
2.1. Estimation of Minor Tides Using the EOT Approach
2.2. Inference of Minor Tides Using Admittance Theory
2.3. Aliasing Periods
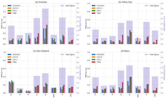
3. Results and Discussion
3.1. Tide Gauge Analysis
3.2. Regional Sea Level Variance Analysis
4. Summary and Outlook
Author Contributions
Funding
Institutional Review Board Statement
Informed Consent Statement
Data Availability Statement
Conflicts of Interest
References
- Ablain, M.; Legeais, J.; Prandi, P.; Marcos, M.; Fenoglio-Marc, L.; Dieng, H.; Benveniste, J.; Cazenave, A. Satellite altimetry-based sea level at global and regional scales. Surv. Geophys. 2017, 38, 7–31. [Google Scholar] [CrossRef]
- The Climate Change Initiative Coastal Sea Level Team. Coastal sea level anomalies and associated trends from Jason satellite altimetry over 2002–2018. Sci. Data 2020, 7, 357. [Google Scholar] [CrossRef]
- Passaro, M.; Müller, F.L.; Oelsmann, J.; Rautiainen, L.; Dettmering, D.; Hart-Davis, M.G.; Abulaitijiang, A.; Andersen, O.B.; Høyer, J.L.; Madsen, K.S.; et al. Absolute Baltic Sea Level Trends in the Satellite Altimetry Era: A Revisit. Front. Mar. Sci. 2021, 8, 546. [Google Scholar] [CrossRef]
- Andersen, O.B. Global ocean tides from ERS 1 and TOPEX/POSEIDON altimetry. J. Geophys. Res. Oceans 1995, 100, 25249–25259. [Google Scholar] [CrossRef]
- Shum, C.; Woodworth, P.; Andersen, O.; Egbert, G.D.; Francis, O.; King, C.; Klosko, S.; Le Provost, C.; Li, X.; Molines, J.M.; et al. Accuracy assessment of recent ocean tide models. J. Geophys. Res. Oceans 1997, 102, 25173–25194. [Google Scholar] [CrossRef]
- Savcenko, R.; Bosch, W. EOT11a-Empirical Ocean Tide Model from Multi-Mission Satellite Altimetry; DGFI Report No. 89; Deutsches Geodätisches Forschungsinstitut (DGFI): München, Germany, 2012. [Google Scholar] [CrossRef]
- Stammer, D.; Ray, R.; Andersen, O.B.; Arbic, B.; Bosch, W.; Carrère, L.; Cheng, Y.; Chinn, D.; Dushaw, B.; Egbert, G.; et al. Accuracy assessment of global barotropic ocean tide models. Rev. Geophys. 2014, 52, 243–282. [Google Scholar] [CrossRef] [Green Version]
- Birol, F.; Léger, F.; Passaro, M.; Cazenave, A.; Niño, F.; Calafat, F.M.; Shaw, A.; Legeais, J.F.; Gouzenes, Y.; Schwatke, C.; et al. The X-TRACK/ALES multi-mission processing system: New advances in altimetry towards the coast. Adv. Space Res. 2021, 67, 2398–2415. [Google Scholar] [CrossRef]
- Piccioni, G.; Dettmering, D.; Passaro, M.; Schwatke, C.; Bosch, W.; Seitz, F. Coastal improvements for tide models: The impact of ALES retracker. Remote Sens. 2018, 10, 700. [Google Scholar] [CrossRef] [Green Version]
- Hart-Davis, M.G.; Piccioni, G.; Dettmering, D.; Schwatke, C.; Passaro, M.; Seitz, F. EOT20: A global ocean tide model from multi-mission satellite altimetry. Earth Syst. Sci. Data 2021, 13, 3869–3884. [Google Scholar] [CrossRef]
- Lyard, F.H.; Allain, D.J.; Cancet, M.; Carrère, L.; Picot, N. FES2014 global ocean tide atlas: Design and performance. Ocean Sci. 2021, 17, 615–649. [Google Scholar] [CrossRef]
- Hart-Davis, M.; Piccioni, G.; Dettmering, D.; Schwatke, C.; Passaro, M.; Seitz, F. EOT20—A Global Empirical Ocean Tide Model from Multi-Mission Satellite Altimetry. SEANOE [Dataset]. 2021. Available online: https://doi.org/10.17882/79489 (accessed on 1 July 2021).
- Schrama, E.; Ray, R. A preliminary tidal analysis of TOPEX/POSEIDON altimetry. J. Geophys. Res. Oceans 1994, 99, 24799–24808. [Google Scholar] [CrossRef]
- Foreman, M.G.G.; Henry, R.F. The harmonic analysis of tidal model time series. Adv. Water Resour. 1989, 12, 109–120. [Google Scholar] [CrossRef]
- Egbert, G.D.; Ray, R.D. Tidal prediction. J. Mar. Res. 2017, 75, 189–237. [Google Scholar] [CrossRef]
- Ray, R. On tidal inference in the diurnal band. J. Atmos. Ocean. Technol. 2017, 34, 437–446. [Google Scholar] [CrossRef]
- Petit, G.; Luzum, B. IERS Conventions (2010); Technical Report; Verlag des Bundesamts für Kartographie und Geodäsie: Frankfurt am Main, France, 2010. [Google Scholar]
- Rieser, D.; Mayer-Gürr, T.; Savcenko, R.; Bosch, W.; Wünsch, J.; Dahle, C.; Flechtner, F. The Ocean Tide Model EOT11a in Spherical Harmonics Representation; Technical Note; Institute of Theoretical Geodesy and Satellite Geodesy (ITSG): Graz, Austria, 2012. [Google Scholar]
- Munk, W.H.; Cartwright, D.E. Tidal spectroscopy and prediction. Philos. Trans. R. Soc. Lond. Ser. A Math. Phys. Sci. 1966, 259, 533–581. [Google Scholar]
- Karbon, M.; Balidakis, K.; Belda, S.; Nilsson, T.; Hagedoorn, J.; Schuh, H. Long-term evaluation of ocean tidal variation models of polar motion and UT1. In Geodynamics and Earth Tides Observations from Global to Micro Scale; Springer: Cham, Switzerland, 2019; pp. 17–35. [Google Scholar]
- Piccioni, G.; Dettmering, D.; Schwatke, C.; Passaro, M.; Seitz, F. Design and regional assessment of an empirical tidal model based on FES2014 and coastal altimetry. Adv. Space Res. 2021, 68, 1013–1022. [Google Scholar] [CrossRef]
- Sulzbach, R.; Dobslaw, H.; Thomas, M. High-Resolution Numerical Modeling of Barotropic Global Ocean Tides for Satellite Gravimetry. J. Geophys. Res. Oceans 2021, 126. [Google Scholar] [CrossRef]
- Le Provost, C.; Lyard, F.; Molines, J.M. Improving ocean tide predictions by using additional semidiurnal constituents from spline interpolation in the frequency domain. Geophys. Res. Lett. 1991, 18, 845–848. [Google Scholar] [CrossRef]
- Wang, Y. Ocean Tide Modeling in the Southern Ocean; Technical Report; Division of Geodetic Science, Ohio State University: Columbus, OH, USA, 2004. [Google Scholar]
- Savcenko, R.; Bosch, W. Residual Tide Analysis in Shallow Water-Contributions of ENVISAT and ERS Altimetry. In Proceedings of the Envisat Symposium, Montreux, Switzerland, 23–27 April 2007. [Google Scholar]
- Piccioni, G.; Dettmering, D.; Bosch, W.; Seitz, F. TICON: TIdal CONstants based on GESLA sea-level records from globally located tide gauges. Geosci. Data J. 2019, 6, 97–104. [Google Scholar] [CrossRef] [Green Version]
- Andersen, O.B.; Scharroo, R. Range and geophysical corrections in coastal regions: And implications for mean sea surface determination. In Coastal Altimetry; Springer: Berlin/Heidelberg, Germany, 2011; pp. 103–145. [Google Scholar]
- Zaron, E.D. Mapping the nonstationary internal tide with satellite altimetry. J. Geophys. Res. Oceans 2017, 122, 539–554. [Google Scholar] [CrossRef]
- Ray, R.D.; Byrne, D.A. Bottom pressure tides along a line in the southeast Atlantic Ocean and comparisons with satellite altimetry. Ocean Dyn. 2010, 60, 1167–1176. [Google Scholar] [CrossRef] [Green Version]
- Ray, R.D. First global observations of third-degree ocean tides. Sci. Adv. 2020, 6, eabd4744. [Google Scholar] [CrossRef] [PubMed]








| Scenario | Australia | New Zealand | Yellow Sea | Mean Difference |
|---|---|---|---|---|
| modTiME–EOT-R | 0.081089 | 0.110182 | 0.058563 | 0.083278 |
| modTiME–EOT-I | 0.046603 | 0.075467 | 0.022314 | 0.048128 |
| modTiME–modFES | 0.010556 | 0.062240 | 0.026581 | 0.033126 |
| modFES–EOT-R | 0.076972 | 0.047942 | 0.031982 | 0.052299 |
| modFES–EOT-I | 0.036719 | 0.013227 | −0.004267 | 0.015226 |
| EOT-R–EOT-I | −0.040252 | −0.034715 | −0.037577 | −0.037515 |
| EOT-H–EOT-R | 0.000348 | −0.001323 | −0.005408 | −0.002128 |
Publisher’s Note: MDPI stays neutral with regard to jurisdictional claims in published maps and institutional affiliations. |
© 2021 by the authors. Licensee MDPI, Basel, Switzerland. This article is an open access article distributed under the terms and conditions of the Creative Commons Attribution (CC BY) license (https://creativecommons.org/licenses/by/4.0/).
Share and Cite
Hart-Davis, M.G.; Dettmering, D.; Sulzbach, R.; Thomas, M.; Schwatke, C.; Seitz, F. Regional Evaluation of Minor Tidal Constituents for Improved Estimation of Ocean Tides. Remote Sens. 2021, 13, 3310. https://doi.org/10.3390/rs13163310
Hart-Davis MG, Dettmering D, Sulzbach R, Thomas M, Schwatke C, Seitz F. Regional Evaluation of Minor Tidal Constituents for Improved Estimation of Ocean Tides. Remote Sensing. 2021; 13(16):3310. https://doi.org/10.3390/rs13163310
Chicago/Turabian StyleHart-Davis, Michael G., Denise Dettmering, Roman Sulzbach, Maik Thomas, Christian Schwatke, and Florian Seitz. 2021. "Regional Evaluation of Minor Tidal Constituents for Improved Estimation of Ocean Tides" Remote Sensing 13, no. 16: 3310. https://doi.org/10.3390/rs13163310
APA StyleHart-Davis, M. G., Dettmering, D., Sulzbach, R., Thomas, M., Schwatke, C., & Seitz, F. (2021). Regional Evaluation of Minor Tidal Constituents for Improved Estimation of Ocean Tides. Remote Sensing, 13(16), 3310. https://doi.org/10.3390/rs13163310

