Continued Monitoring and Modeling of Xingfeng Solid Waste Landfill Settlement, China, Based on Multiplatform SAR Images
Abstract
:1. Introduction
2. Study Area and Datasets
2.1. The Xingfeng Landfill
2.2. Datasets
3. Method and Data Processing
3.1. SBAS-InSAR with 3D Phase Unwrapping
3.2. Settlement Model
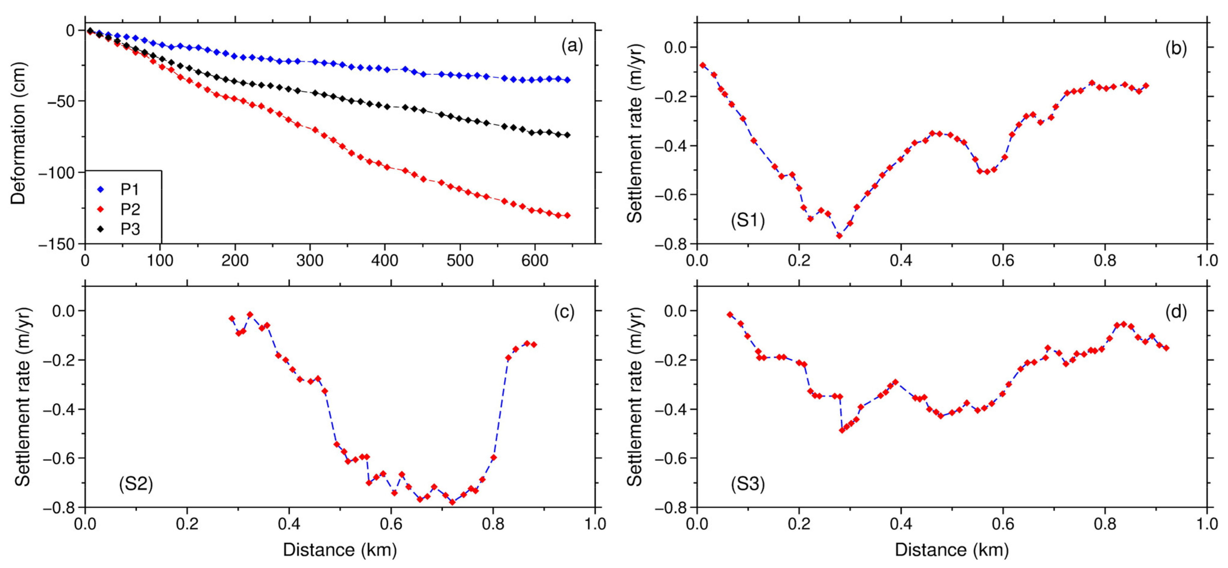
4. Results
4.1. Coherence Analysis of the XFL
4.2. Deformation Time-Series
4.3. Accuracy Evaluation
4.4. Modeling of Settlement
5. Discussion
5.1. Analysis of Coherence and Processing Procedures in the Initial Stage of MSWL after Closure
5.2. Relationship between Settlement and Fill Age
5.3. Relationship between Settlement and Landfill Thickness
6. Conclusions
Supplementary Materials
Author Contributions
Funding
Institutional Review Board Statement
Informed Consent Statement
Data Availability Statement
Acknowledgments
Conflicts of Interest
References
- Baek, W.-K.; Jung, H.-S.; Jo, M.-J.; Lee, W.-J.; Zhang, L. Ground subsidence observation of solid waste landfill park using multi-temporal radar interferometry. Int. J. Urban Sci. 2018, 23, 406–421. [Google Scholar] [CrossRef]
- Ottavianelli, G.; Hobbs, S.; Smith, R.; Morrison, K.; Bruno, D. SAR Interferometric products and hyperspectral data for monitoring solid waste landfill operations. In Proceedings of the Fourth ESA CHRIS Proba Workshop, Esrin, Frascati, Italy, 19–21 September 2006. [Google Scholar]
- Wenhong, L.; Ridong, Y.; Jiayi, L. Planning exploration of the transition from “waste landfill” to “circular economy industrial park”-Take Guangzhou Xingfeng Domestic Waste Landfill Site Closure and Reconstruction Plan as an Example. In Proceedings of the IOP Conference Series: Earth and Environmental Science, Bristol, UK, 6 June 2021; IOP Publishing: Bristol, UK, 2021; Volume 676, p. 012019. [Google Scholar]
- Ling, H.I.; Leshchinsky, D.; Mohri, Y.; Kawabata, T. Estimation of municipal solid waste landfill settlement. J. Geotech. Geoenvironmental Eng. 1998, 124, 21–28. [Google Scholar] [CrossRef]
- Watts, K.S.; Charles, J.A. Settlement characteristics of landfill wastes. Proc. Inst. Civil Eng.-Geotech. Eng. 1999, 137, 225–233. [Google Scholar] [CrossRef]
- El-Fadel, M.; Khoury, R. Modeling Settlement in MSW Landfills: A Critical Review. Crit. Rev. Environ. Sci. Technol. 2000, 30, 327–361. [Google Scholar] [CrossRef]
- Aluko, O.O.; Obafemi, T.H.; Obiajunwa, P.O.; Obiajunwa, C.J.; Obisanya, O.A.; Odanye, O.H.; Odeleye, A.O. Solid waste management and health hazards associated with residence around open dumpsites in heterogeneous urban settlements in Southwest Nigeria. Int. J. Environ. Health Res. 2021, 31, 1–16. [Google Scholar] [CrossRef]
- Ke, H.; Ma, P.; Lan, J.; Chen, Y.; He, H. Field behaviors of a geogrid reinforced MSW slope in a high-food-waste-content MSW landfill: A case study. Geotext. Geomembr. 2021, 49, 430–441. [Google Scholar] [CrossRef]
- Yang, H.; Xia, J.; Thompson, J.R.; Flower, R.J. Urban construction and demolition waste and landfill failure in Shenzhen, China. Waste Manag. 2017, 63, 393–396. [Google Scholar] [CrossRef] [PubMed]
- Zhang, X.; Song, J.; Peng, J.; Wu, J. Landslides-oriented urban disaster resilience assessment-A case study in ShenZhen, China. Sci. Total Environ. 2019, 661, 95–106. [Google Scholar] [CrossRef] [PubMed]
- Chaussard, E.; Amelung, F.; Abidin, H.; Hong, S.-H. Sinking cities in Indonesia: ALOS PALSAR detects rapid subsidence due to groundwater and gas extraction. Remote Sens. Environ. 2013, 128, 150–161. [Google Scholar] [CrossRef]
- Cigna, F.; Tapete, D. Satellite InSAR survey of structurally-controlled land subsidence due to groundwater exploitation in the Aguascalientes Valley, Mexico. Remote Sens. Environ. 2021, 254, 112254. [Google Scholar] [CrossRef]
- Liu, Y.; Liu, J.; Xia, X.; Bi, H.; Huang, H.; Ding, R.; Zhao, L. Land subsidence of the Yellow River Delta in China driven by river sediment compaction. Sci. Total Environ. 2021, 750, 142165. [Google Scholar] [CrossRef] [PubMed]
- Shi, X.; Zhang, L.; Zhong, Y.; Zhang, L.; Liao, M. Detection and Characterization of Active Slope Deformations with Sentinel-1 InSAR Analyses in the Southwest Area of Shanxi, China. Remote Sens. 2020, 12, 392. [Google Scholar] [CrossRef] [Green Version]
- Du, Y.; Liu, L.; Feng, G.; Peng, X.; Liang, H.; Zhu, Y. Time-Series Landslide Monitoring Based on Stamps-Sbas: A Case Study in Lushan, Taiwan. In Proceedings of the IGARSS 2019-2019 IEEE International Geoscience and Remote Sensing Symposium, Yokohama, Japan, 28 July–2 August 2019; pp. 9622–9625. [Google Scholar]
- Hilley, G.E.; Bürgmann, R.; Ferretti, A.; Novali, F.; Rocca, F. Dynamics of slow-moving landslides from permanent scatterer analysis. Science 2004, 304, 1952–1955. [Google Scholar] [CrossRef] [PubMed] [Green Version]
- Hu, X.; Lu, Z.; Pierson, T.C.; Kramer, R.; George, D.L. Combining InSAR and GPS to Determine Transient Movement and Thickness of a Seasonally Active Low-Gradient Translational Landslide. Geophys. Res. Lett. 2018, 45, 1453–1462. [Google Scholar] [CrossRef]
- Hooper, A.; Segall, P.; Zebker, H. Persistent scatterer interferometric synthetic aperture radar for crustal deformation analysis, with application to Volcán Alcedo, Galápagos. J. Geophys. Res. Solid Earth 2007, 112, B07407. [Google Scholar] [CrossRef] [Green Version]
- Feng, G.; Li, Z.; Xu, B.; Shan, X.; Zhang, L.; Zhu, J. Coseismic Deformation of the 2015 M w 6.4 Pishan, China, Earthquake Estimated from Sentinel-1A and ALOS2 Data. Seismol. Res. Lett. 2016, 87, 800–806. [Google Scholar] [CrossRef]
- Chaussard, E.; Johnson, C.W.; Fattahi, H.; Bürgmann, R. Potential and limits of InSAR to characterize interseismic deformation independently of GPS data: Application to the southern San Andreas Fault system. Geochem. Geophys. Geosystems 2016, 17, 1214–1229. [Google Scholar] [CrossRef] [Green Version]
- Ferretti, A.; Prati, C.; Rocca, F. Permanent scatterers in SAR interferometry. IEEE Trans. Geosci. Remote Sens. 2001, 39, 8–20. [Google Scholar] [CrossRef]
- Berardino, P.; Fornaro, G.; Lanari, R.; Sansosti, E. A new algorithm for surface deformation monitoring based on small baseline differential SAR interferograms. IEEE Trans. Geosci. Remote Sens. 2002, 40, 2375–2383. [Google Scholar] [CrossRef] [Green Version]
- Ferretti, A.; Fumagalli, A.; Novali, F.; Prati, C.; Rocca, F.; Rucci, A. A New Algorithm for Processing Interferometric Data-Stacks: SqueeSAR. IEEE Trans. Geosci. Remote Sens. 2011, 49, 3460–3470. [Google Scholar] [CrossRef]
- Hooper, A. A multi-temporal InSAR method incorporating both persistent scatterer and small baseline approaches. Geophys. Res. Lett. 2008, 35, L16302. [Google Scholar] [CrossRef] [Green Version]
- Zhang, L.; Ding, X.; Lu, Z. Modeling PSInSAR time series without phase unwrapping. IEEE Trans. Geosci. Remote Sens. 2011, 49, 547–556. [Google Scholar] [CrossRef]
- Sandwell, D.; Mellors, R.; Tong, X.; Wei, M.; Wessel, P. Gmtsar: An Insar Processing System Based on Generic Mapping Tools; Scrips Institution of Oceanography Technical Report; University of California: Oakland, CA, USA; San Diego, CA, USA, 2011. [Google Scholar]
- Secker, J.; Mattar, K.E.; Liu, C.; Price, D.; Rowlands, D. RADARSAT-2 spotlight mode interferometry time series data for monitoring arctic DEW Line Clean Up. In Proceedings of the In 2013 IEEE Radar Conference (RadarCon13), Ottawa, ON, Canada, 29 April–3 May 2013; pp. 1–6. [Google Scholar]
- Eichel, P.H.; Ghiglia, D.C.; Jakowatz, C.V., Jr. Spotlight SAR Interferometry for Terrain Elevation Mapping and Interferometric Change Detection; Tech. SAND-93-2072; Sandia National Labs: Sandia, NM, USA, 1993. [Google Scholar]
- Karathanassi, V.; Choussiafis, C.; Grammatikou, Z. Monitoring the change in volume of waste in landfill using SAR interferometry. In Proceedings of the 32nd EARSel Symposium and 36th General Assembly, Mykonos, Greece, 21 May 2012. [Google Scholar]
- Milillo, P.; Fielding, E.J.; Masi, S.; Lundgren, P.; Serio, C. Monitoring municipal solid waste small magnitude landfill settlement with DInSAR. EARSeL eProceedings 2015, 14, 25–36. [Google Scholar] [CrossRef]
- Baek, W.K.; Jung, H.S. Measurement of Seaward Ground Displacements on Coastal Landfill Area Using Radar Interferometry. ISPRS—Int. Arch. Photogramm. Remote. Sens. Spat. Inf. Sci. 2018, XLII-3, 57–60. [Google Scholar] [CrossRef] [Green Version]
- Park, S.W.; Hong, S.H. Nonlinear Modeling of Subsidence From a Decade of InSAR Time Series. Geophys. Res. Lett. 2021, 48, e2020GL090970. [Google Scholar] [CrossRef]
- Kim, D.J.; Lee, Y.C. Comparison of SqueeSAR Analysis Method And Level Surveying for Subsidence Monitoring at Landfill Site. J. Cadastre Land Inf. 2018, 48, 137–151. [Google Scholar] [CrossRef]
- Wu, S.; Yang, Z.; Ding, X.; Zhang, B.; Zhang, L.; Lu, Z. Two decades of settlement of Hong Kong International Airport measured with multi-temporal InSAR. Remote Sens. Environ. 2020, 248, 111976. [Google Scholar] [CrossRef]
- Abdel-Hamid, A.; Dubovyk, O.; Greve, K. The potential of sentinel-1 InSAR coherence for grasslands monitoring in Eastern Cape, South Africa. Int. J. Appl. Earth Obs. Geoinf. 2021, 98, 102306. [Google Scholar] [CrossRef]
- Tampuu, T.; Praks, J.; Kull, A.; Uiboupin, R.; Tamm, T.; Voormansik, K. Detecting peat extraction related activity with multi-temporal Sentinel-1 InSAR coherence time series. Int. J. Appl. Earth Obs. Geoinf. 2021, 98, 102309. [Google Scholar] [CrossRef]
- Ivanova, L.K.; Richards, D.J.; Smallman, D.J. The long-term settlement of landfill waste. Proc. Inst. Civil. Eng. -Waste Resour. Manag. 2008, 161, 121–133. [Google Scholar] [CrossRef]
- Liu, C.N.; Chen, R.H.; Chen, K.S. Unsaturated consolidation theory for the prediction of long-term municipal solid waste landfill settlement. Waste Manag. Res. 2006, 24, 80–91. [Google Scholar] [CrossRef]
- Ering, P.; Sivakumar Babu, G.L. Slope Stability and Deformation Analysis of Bangalore MSW Landfills Using Constitutive Model. Int. J. Geomech. 2016, 16, 04015092. [Google Scholar] [CrossRef]
- Chakma, S.; Mathur, S. Postclosure Long-Term Settlement for MSW Landfills. J. Hazard. Toxic Radioact. Waste 2013, 17, 81–88. [Google Scholar] [CrossRef]
- Park, H.I.; Park, B.; Lee, S.R. Analysis of long-term settlement of municipal solid waste landfills as determined by various settlement estimation methods. J. Air Waste Manag. Assoc. 2007, 57, 243–251. [Google Scholar] [CrossRef]
- Tan, T.S.; Inoue, T.; Lee, S.L. Hyperbolic method for consolidation analysis. J. Geotech. Eng. 1991, 117, 1723–1737. [Google Scholar] [CrossRef]
- Kim, S.W.; Lee, C.W.; Song, K.Y.; Min, K.D.; Won, J.S. Application of L-band differential SAR interferometry to subsidence rate estimation in reclaimed coastal land. Int. J. Remote Sens. 2007, 26, 1363–1381. [Google Scholar] [CrossRef]
- Wang, G. The Process Design of Expansion Project for Guangzhou Xingfeng Landfill Leachate Treatment. Guangdong Chem. Ind. 2013, 13. [Google Scholar]
- Pan, Y.; Li, Y. Expansion Engineering Design of Guangzhou Xingfeng Domestic Waste Sanitary Landfill Site. Environ. Sanit. Eng. 2015, 23, 69–72. (In Chinese) [Google Scholar]
- Hooper, A.; Zebker, H.A. Phase unwrapping in three dimensions with application to InSAR time series. JOSA A 2007, 24, 2737–2747. [Google Scholar] [CrossRef] [Green Version]
- Du, Y.; Xu, Q.; Zhang, L.; Feng, G.; Li, Z.; Chen, R.-F.; Lin, C.-W. Recent Landslide Movement in Tsaoling, Taiwan Tracked by TerraSAR-X/TanDEM-X DEM Time Series. Remote Sens. 2017, 9, 353. [Google Scholar] [CrossRef] [Green Version]
- Jiang, M.; Ding, X.; Hanssen, R.F.; Malhotra, R.; Chang, L. Fast statistically homogeneous pixel selection for covariance matrix estimation for multitemporal InSAR. IEEE Trans. Geosci. Remote Sens. 2015, 53, 1213–1224. [Google Scholar] [CrossRef]
- Du, Y.; Fu, H.; Liu, L.; Feng, G.; Peng, X.; Wen, D. Orbit error removal in InSAR/MTInSAR with a patch-based polynomial model. Int. J. Appl. Earth Obs. Geoinf. 2021, 102, 102438. [Google Scholar] [CrossRef]
- Zebker, H.A.; Villasenor, J. Decorrelation in interferometric radar echoes. IEEE Trans. Geosci. Remote Sens. 1992, 30, 950–959. [Google Scholar] [CrossRef] [Green Version]
- Wright, T.J. Toward mapping surface deformation in three dimensions using InSAR. Geophys. Res. Lett. 2004, 31, L01607. [Google Scholar] [CrossRef] [Green Version]
- Samsonov, S.V.; d’Oreye, N. Multidimensional Small Baseline Subset (MSBAS) for Two-Dimensional Deformation Analysis: Case Study Mexico City. Can. J. Remote Sens. 2017, 43, 318–329. [Google Scholar] [CrossRef]
- Bayramov, E.; Buchroithner, M.; Kada, M.; Zhuniskenov, Y. Quantitative Assessment of Vertical and Horizontal Deformations Derived by 3D and 2D Decompositions of InSAR Line-of-Sight Measurements to Supplement Industry Surveillance Programs in the Tengiz Oilfield (Kazakhstan). Remote Sens. 2021, 13, 2579. [Google Scholar] [CrossRef]
- Guzzetti, F.; Manunta, M.; Ardizzone, F.; Pepe, A.; Cardinali, M.; Zeni, G.; Reichenbach, P.; Lanari, R. Analysis of Ground Deformation Detected Using the SBAS-DInSAR Technique in Umbria, Central Italy. Pure Appl. Geophys. 2009, 166, 1425–1459. [Google Scholar] [CrossRef]















| ALOS2 Image Pairs (Ascending) | TSX/TDX Pairs (Descending) | |||
|---|---|---|---|---|
| Image Pairs | Perpendicular Baseline (m) | Temporal Baseline (Days) | Image Pairs | Perpendicular Baseline (m) |
| 20150715–20151202 | −53.8 | 140 | 20131024–20131024 | −169.2 |
| 20170715–20171115 | −2.0 | 126 | 20180717–20180717 | −252.4 |
| District Name | Beginning of Measurement | Beginning Time/Vertical Expansion | Completion Time/Vertical Expansion | Fill Age (year) | LOS Maximum Settlement Rate (cm/year) |
|---|---|---|---|---|---|
| 1 | August 2018 | August 2002 | June 2012 | 11.08 | −31.38 |
| 2 | August 2018 | July 2003 | June 2012 | 10.62 | −28.65 |
| 3 | August 2018 | September 2004 | June 2012 | 10.04 | −22.55 |
| 4 | August 2018 | June 2006/November 2017 | June 2012/October 2018 | 9.17/0.42 | −55.65 |
| 5 | August 2018 | June 2006/November 2017 | June 2012/October 2018 | 9.17/0.42 | −62.30 |
| 6 | August 2018 | June 2012 | October 2018 | 3.08 | −80.80 |
| 7 | August 2018 | June 2015 | October 2018 | 1.58 | −56.40 |
Publisher’s Note: MDPI stays neutral with regard to jurisdictional claims in published maps and institutional affiliations. |
© 2021 by the authors. Licensee MDPI, Basel, Switzerland. This article is an open access article distributed under the terms and conditions of the Creative Commons Attribution (CC BY) license (https://creativecommons.org/licenses/by/4.0/).
Share and Cite
Du, Y.; Fu, H.; Liu, L.; Feng, G.; Wen, D.; Peng, X.; Ding, H. Continued Monitoring and Modeling of Xingfeng Solid Waste Landfill Settlement, China, Based on Multiplatform SAR Images. Remote Sens. 2021, 13, 3286. https://doi.org/10.3390/rs13163286
Du Y, Fu H, Liu L, Feng G, Wen D, Peng X, Ding H. Continued Monitoring and Modeling of Xingfeng Solid Waste Landfill Settlement, China, Based on Multiplatform SAR Images. Remote Sensing. 2021; 13(16):3286. https://doi.org/10.3390/rs13163286
Chicago/Turabian StyleDu, Yanan, Haiqiang Fu, Lin Liu, Guangcai Feng, Debao Wen, Xing Peng, and Huaxiang Ding. 2021. "Continued Monitoring and Modeling of Xingfeng Solid Waste Landfill Settlement, China, Based on Multiplatform SAR Images" Remote Sensing 13, no. 16: 3286. https://doi.org/10.3390/rs13163286
APA StyleDu, Y., Fu, H., Liu, L., Feng, G., Wen, D., Peng, X., & Ding, H. (2021). Continued Monitoring and Modeling of Xingfeng Solid Waste Landfill Settlement, China, Based on Multiplatform SAR Images. Remote Sensing, 13(16), 3286. https://doi.org/10.3390/rs13163286

