Integrating Phenological and Geographical Information with Artificial Intelligence Algorithm to Map Rubber Plantations in Xishuangbanna
Abstract
:1. Introduction
2. Materials and Methods
2.1. Study Area
2.2. Landsat Images and Data Pre-Processing
2.3. Ground Reference Data
2.4. Seasonal Changes and Spectral Features of Rubber Plantations and Natural Forests
2.5. Classification Algorithm
2.6. Rubber Plantation Mapping in Xishuangbanna during 1990–2020
2.7. Validation and Comparison
3. Results
3.1. The Phenological Characteristics of Rubber Plantations and Natural Forests
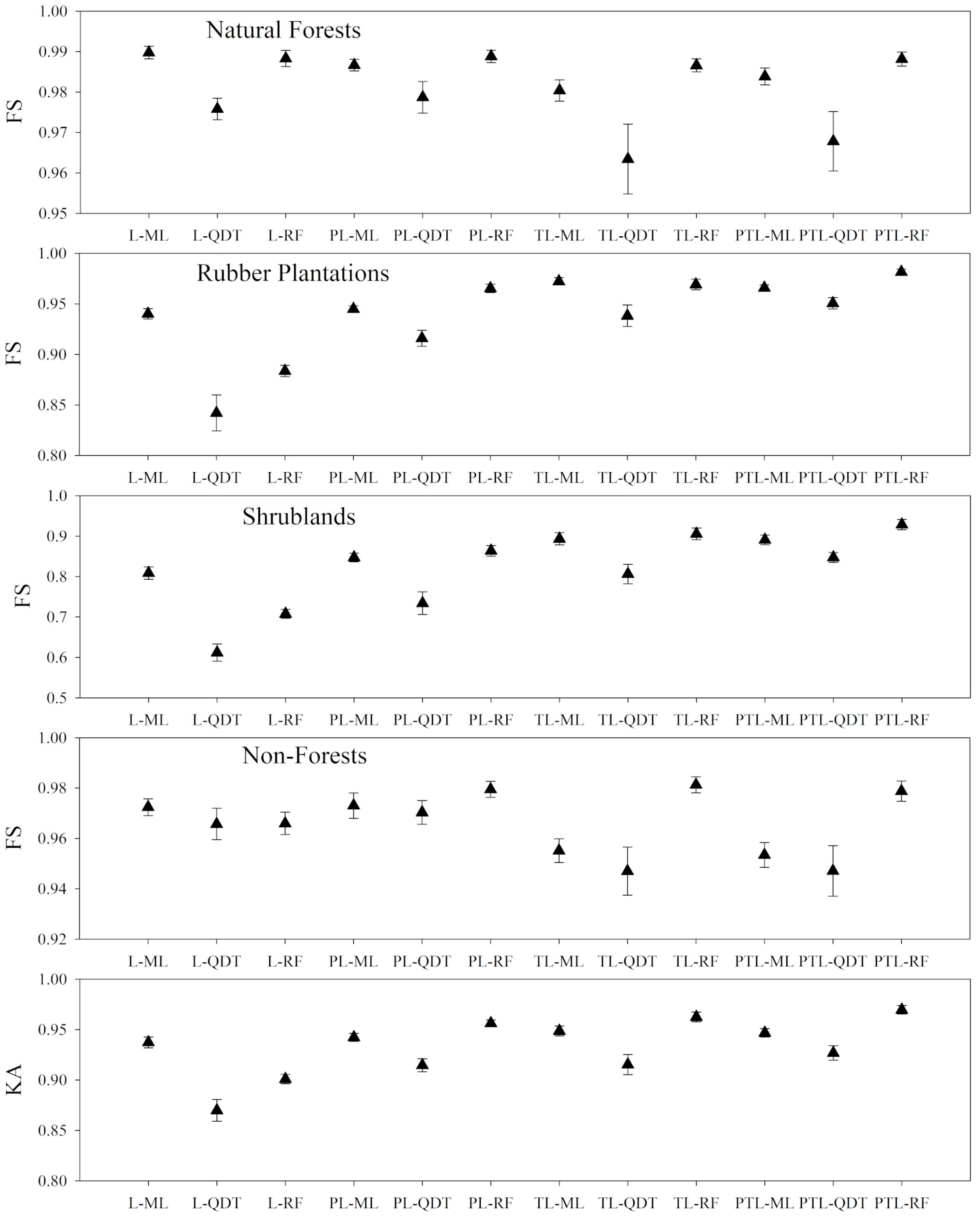
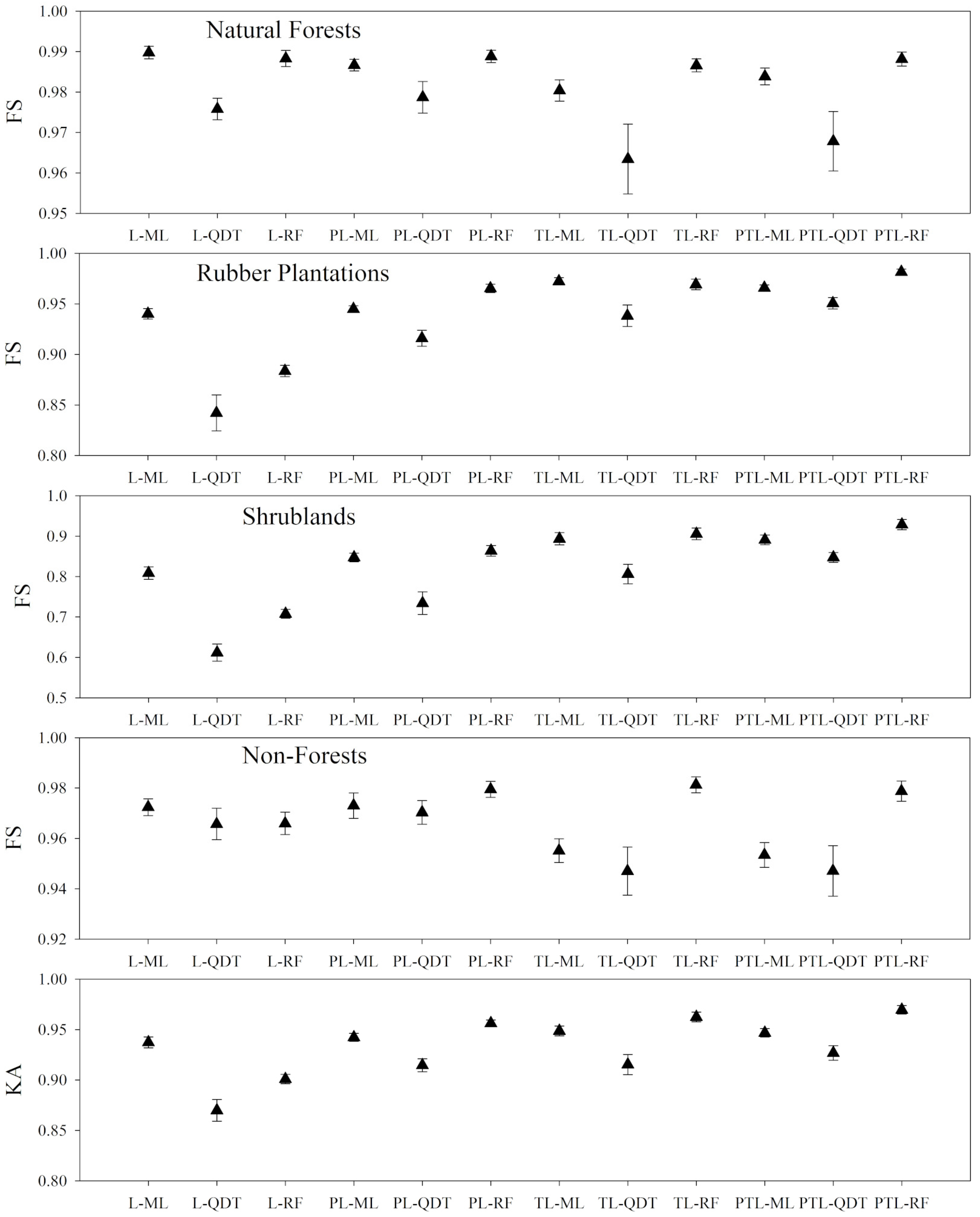
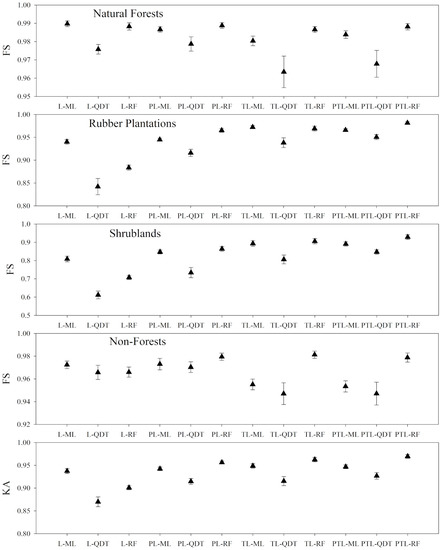
3.2. Random Forest Algorithm-Based Classifier Performs Better Than the Other Two Classifiers
3.3. Either Phenology or Topography Could Improve Mapping Accuracy
3.4. Natural Forests and Shrublands Were the Major Sources of the Increased Rubber Plantations
4. Discussion
4.1. Combining Phenological and Topographical Information to Improve the Mapping Efficiency for Rubber Plantations
4.2. Random Forest Classifier Could Improve the Accuracy and Stability for Mapping Rubber Plantations
4.3. Reversal of Rubber Plantations Expansion in Xishuangbanna
5. Conclusions
Author Contributions
Funding
Institutional Review Board Statement
Informed Consent Statement
Data Availability Statement
Acknowledgments
Conflicts of Interest
Appendix A


References
- Li, Z.; Fox, J.M. Mapping rubber tree growth in mainland Southeast Asia using time-series MODIS 250 m NDVI and statistical data. Appl. Geogr. 2012, 32, 420–432. [Google Scholar] [CrossRef]
- Bowers, J.E. Natural Rubber-Producing Plants for the United States; National Agricultural Library: Beltsville, MD, USA, 1990; p. 43. [Google Scholar]
- Warren-Thomas, E.; Dolman, P.M.; Edwards, D.P. Increasing Demand for Natural Rubber Necessitates a Robust Sustainability Initiative to Mitigate Impacts on Tropical Biodiversity. Conserv. Lett. 2015, 8, 230–241. [Google Scholar] [CrossRef]
- Warren-Thomas, E.M.; Edwards, D.P.; Bebber, D.P.; Chhang, P.; Diment, A.N.; Evans, T.D.; Lambrick, F.H.; Maxwell, J.F.; Nut, M.; O’Kelly, H.J.; et al. Protecting tropical forests from the rapid expansion of rubber using carbon payments. Nat. Commun. 2018, 9. [Google Scholar] [CrossRef] [Green Version]
- Rivano, F.; Mattos, C.R.R.; Cardoso, S.E.A.; Martinez, M.; Cevallos, V.; Le Guen, V.; Garcia, D. Breeding Hevea brasiliensis for yield, growth and SALB resistance for high disease environments. Ind. Crop. Prod. 2013, 44, 659–670. [Google Scholar] [CrossRef]
- Chen, H.; Yi, Z.F.; Schmidt-Vogt, D.; Ahrends, A.; Beckschäfer, P.; Kleinn, C.; Ranjitkar, S.; Xu, J. Pushing the Limits: The Pattern and Dynamics of Rubber Monoculture Expansion in Xishuangbanna, SW China. PLoS ONE 2016, 11, e0150062. [Google Scholar] [CrossRef]
- Yi, Z.F.; Cannon, C.H.; Chen, J.; Ye, C.X.; Swetnam, R.D. Developing indicators of economic value and biodiversity loss for rubber plantations in Xishuangbanna, southwest China: A case study from Menglun township. Ecol. Indic. 2013, 36, 788–797. [Google Scholar] [CrossRef]
- Ali, A.A.; Fan, Y.; Corre, M.D.; Kotowska, M.M.; Hassler, E.; Moyano, F.E.; Stiegler, C.; Röll, A.; Meijide, A.; Ringeler, A.; et al. Observation-based implementation of ecophysiological processes for a rubber plant functional type in the community land model (CLM4.5-rubber_v1). Geosci. Model Dev. Discuss. 2018, 2018, 1–41. [Google Scholar] [CrossRef] [Green Version]
- Wulder, M.A.; White, J.C.; Goward, S.N.; Masek, J.G.; Irons, J.R.; Herold, M.; Cohen, W.B.; Loveland, T.R.; Woodcock, C.E. Landsat continuity: Issues and opportunities for land cover monitoring. Remote Sens. Environ. 2008, 112, 955–969. [Google Scholar] [CrossRef]
- Roy, D.P.; Wulder, M.A.; Loveland, T.R.; Woodcock, C.E.; Allen, R.G.; Anderson, M.C.; Helder, D.; Irons, J.R.; Johnson, D.M.; Kennedy, R.; et al. Landsat-8: Science and product vision for terrestrial global change research. Remote Sens. Environ. 2014, 145, 154–172. [Google Scholar] [CrossRef] [Green Version]
- Hansen, M.C.; Potapov, P.V.; Moore, R.; Hancher, M.; Turubanova, S.A.; Tyukavina, A.; Thau, D.; Stehman, S.V.; Goetz, S.J.; Loveland, T.R.; et al. High-Resolution Global Maps of 21st-Century Forest Cover Change. Science 2013, 342, 850–853. [Google Scholar] [CrossRef] [PubMed] [Green Version]
- Dong, J.; Xiao, X.; Chen, B.; Torbick, N.; Jin, C.; Zhang, G.; Biradar, C. Mapping deciduous rubber plantations through integration of PALSAR and multi-temporal Landsat imagery. Remote Sens. Environ. 2013, 134, 392–402. [Google Scholar] [CrossRef]
- Azizan, F.A.; Kiloes, A.M.; Astuti, I.S.; Abdul Aziz, A. Application of Optical Remote Sensing in Rubber Plantations: A Systematic Review. Remote Sens. 2021, 13, 429. [Google Scholar] [CrossRef]
- Kou, W.; Xiao, X.; Dong, J.; Gan, S.; Zhai, D.; Zhang, G.; Qin, Y.; Li, L. Mapping Deciduous Rubber Plantation Areas and Stand Ages with PALSAR and Landsat Images. Remote Sens. 2015, 7, 1048–1073. [Google Scholar] [CrossRef] [Green Version]
- Liu, X.; Feng, Z.; Jiang, L.; Zhang, J. Rubber Plantations in Xishuangbanna: Remote Sensing Identification and Digital Mapping. Resour. Sci. 2012, 34, 1769–1780. [Google Scholar]
- Dong, J.; Xiao, X.; Sheldon, S.; Biradar, C.; Xie, G. Mapping tropical forests and rubber plantations in complex landscapes by integrating PALSAR and MODIS imagery. ISPRS J. Photogramm. Remote Sens. 2012, 74, 20–33. [Google Scholar] [CrossRef]
- Senf, C.; Pflugmacher, D.; van der Linden, S.; Hostert, P. Mapping Rubber Plantations and Natural Forests in Xishuangbanna (Southwest China) Using Multi-Spectral Phenological Metrics from MODIS Time Series. Remote Sens. 2013, 5, 2795–2812. [Google Scholar] [CrossRef] [Green Version]
- Chen, B.; Li, X.; Xiao, X.; Zhao, B.; Dong, J.; Kou, W.; Qin, Y.; Yang, C.; Wu, Z.; Sun, R.; et al. Mapping tropical forests and deciduous rubber plantations in Hainan Island, China by integrating PALSAR 25-m and multi-temporal Landsat images. Int. J. Appl. Earth Obs. Geoinf. 2016, 50, 117–130. [Google Scholar] [CrossRef]
- Li, P.; Zhang, J.; Feng, Z. Mapping rubber tree plantations using a Landsat-based phenological algorithm in Xishuangbanna, southwest China. Remote Sens. Lett. 2015, 6, 49–58. [Google Scholar] [CrossRef]
- Zhai, D.; Dong, J.; Cadisch, G.; Wang, M.; Kou, W.; Xu, J.; Xiao, X.; Abbas, S. Comparison of Pixel- and Object-Based Approaches in Phenology-Based Rubber Plantation Mapping in Fragmented Landscapes. Remote Sens. 2018, 10, 44. [Google Scholar] [CrossRef] [Green Version]
- Xiao, C.; Li, P.; Feng, Z.; Lin, Y.; You, Z.; Yang, Y. Mapping rubber plantations in Xishuangbanna, southwest China based on the re-normalization of two Landsat-based vegetation-moisture indices and meteorological data. Geocarto Int. 2019, 0, 1–15. [Google Scholar] [CrossRef]
- Xiao, C.; Li, P.; Feng, Z.; You, Z.; Jiang, L.; Boudmyxay, K. Is the phenology-based algorithm for mapping deciduous rubber plantations applicable in an emerging region of northern Laos? Adv. Space Res. 2020, 65, 446–457. [Google Scholar] [CrossRef]
- Xiao, C.; Li, P.; Feng, Z. Monitoring annual dynamics of mature rubber plantations in Xishuangbanna during 1987-2018 using Landsat time series data: A multiple normalization approach. Int. J. Appl. Earth Obs. Geoinf. 2019, 77, 30–41. [Google Scholar] [CrossRef]
- Liu, X.; Feng, Z.; Jiang, L.; Li, P.; Liao, C.; Yang, Y.; You, Z. Rubber plantation and its relationship with topographical factors in the border region of China, Laos and Myanmar. J. Geogr. Sci. 2013, 23, 1019–1040. [Google Scholar] [CrossRef]
- Liu, X.; Feng, Z.; Jiang, L. Application of decision tree classification to rubber plantations extraction with remote sensing. Trans. Chin. Soc. Agric. Eng. 2013, 29, 163–172+365. [Google Scholar]
- Gao, S.; Liu, X.; Bo, Y.; Shi, Z.; Zhou, H. Rubber Identification Based on Blended High Spatio-Temporal Resolution Optical Remote Sensing Data: A Case Study in Xishuangbanna. Remote Sens. 2019, 11, 496. [Google Scholar] [CrossRef] [Green Version]
- Zhu, H.; Cao, M.; Hu, H.B. Geological history, flora, and vegetation of Xishuangbanna, southern Yunnan, China. Biotropica 2006, 38, 310–317. [Google Scholar] [CrossRef]
- Yu, H.; Hammond, J.; Ling, S.; Zhou, S.; Mortimer, P.E.; Xu, J. Greater diurnal temperature difference, an overlooked but important climatic driver of rubber yield. Ind. Crop. Prod. 2014, 62, 14–21. [Google Scholar] [CrossRef]
- Cao, M.; Zou, X.M.; Warren, M.; Zhu, H. Tropical forests of Xishuangbanna, China. Biotropica 2006, 38, 306–309. [Google Scholar] [CrossRef]
- Zhang, J.; Cao, M. Tropical forest vegetation of Xishuangbanna, SW China and its secondary changes, with special reference to some problems in local nature conservation. Biol. Conserv. 1995, 73, 229–238. [Google Scholar] [CrossRef]
- Zhai, D.L.; Yu, H.; Chen, S.C.; Ranjitkar, S.; Xu, J. Responses of rubber leaf phenology to climatic variations in Southwest China. Int. J. Biometeorol. 2019, 63, 607–616. [Google Scholar] [CrossRef]
- Liyanage, K.K.; Khan, S.; Ranjitkar, S.; Yu, H.; Xu, J.; Brooks, S.; Beckschäfer, P.; Hyde, K.D. Evaluation of key meteorological determinants of wintering and flowering patterns of five rubber clones in Xishuangbanna, Yunnan, China. Int. J. Biometeorol. 2019, 63, 617–625. [Google Scholar] [CrossRef]
- Rouse, J.W.; Haas, R.W.; Schell, J.A.; Deering, D.W.; Harlan, J.C. Monitoring the Vernal Advancement and Retrogradation (Greenwave Effect) of Natural Vegetation, Type III Final Report.; Texas A & M University, Remote Sensing Center: College Station, TX, USA, 1974; p. 114. [Google Scholar]
- Huete, A.R.; Liu, H.Q.; Batchily, K.; van Leeuwen, W. A comparison of vegetation indices global set of TM images for EOS-MODIS. Remote Sens. Environ. 1997, 59, 440–451. [Google Scholar] [CrossRef]
- Xiao, X.; Hollinger, D.; Aber, J.; Goltz, M.; Davidson, E.A.; Zhang, Q.; Moore Iii, B. Satellite-based modeling of gross primary production in an evergreen needleleaf forest. Remote Sens. Environ. 2004, 89, 519–534. [Google Scholar] [CrossRef]
- Zhang, J.Q.; Corlett, R.T.; Zhai, D. After the rubber boom: Good news and bad news for biodiversity in Xishuangbanna, Yunnan, China. Reg. Environ. Chang. 2019, 19, 1713–1724. [Google Scholar] [CrossRef]
- Li, H.M.; Aide, T.M.; Ma, Y.X.; Liu, W.J.; Cao, M. Demand for rubber is causing the loss of high diversity rain forest in SW China. Biodivers. Conserv. 2007, 16, 1731–1745. [Google Scholar] [CrossRef]
- Lyons, M.B.; Keith, D.A.; Phinn, S.R.; Mason, T.J.; Elith, J. A comparison of resampling methods for remote sensing classification and accuracy assessment. Remote Sens. Environ. 2018, 208, 145–153. [Google Scholar] [CrossRef]
- Ding, H.; Na, J.; Jiang, S.; Zhu, J.; Liu, K.; Fu, Y.; Li, F. Evaluation of Three Different Machine Learning Methods for Object-Based Artificial Terrace Mapping—A Case Study of the Loess Plateau, China. Remote Sens. 2021, 13, 1021. [Google Scholar] [CrossRef]
- Xiao, C.; Li, P.; Feng, Z.; Liu, X. An updated delineation of stand ages of deciduous rubber plantations during 1987-2018 using Landsat-derived bi-temporal thresholds method in an antichronological strategy. Int. J. Appl. Earth Obs. Geoinf. 2019, 76, 40–50. [Google Scholar] [CrossRef]
- Ahrends, A.; Hollingsworth, P.M.; Ziegler, A.D.; Fox, J.M.; Chen, H.; Su, Y.; Xu, J. Current trends of rubber plantation expansion may threaten biodiversity and livelihoods. Glob. Environ. Chang. 2015, 34, 48–58. [Google Scholar] [CrossRef]
- Yi, Z.F.; Wong, G.; Cannon, C.H.; Xu, J.; Beckschäfer, P.; Swetnam, R.D. Can carbon-trading schemes help to protect China’s most diverse forest ecosystems? A case study from Xishuangbanna, Yunnan. Land Use Pol. 2014, 38, 646–656. [Google Scholar] [CrossRef]
- Zhai, D.-L.; Cannon, C.H.; Slik, J.W.F.; Zhang, C.-P.; Dai, Z.-C. Rubber and pulp plantations represent a double threat to Hainan’s natural tropical forests. J. Environ. Manag. 2012, 96, 64–73. [Google Scholar] [CrossRef]
- Tan, Z.; Zhang, Y.; Song, Q.; Yu, G.; Liang, N. Leaf shedding as an adaptive strategy for water deficit: A case study in Xishuangbannas rainforest. J. Yunnan Univ. Nat. Sci. 2014, 36, 273–280. [Google Scholar]
- Xu, M.; Watanachaturaporn, P.; Varshney, P.K.; Arora, M.K. Decision tree regression for soft classification of remote sensing data. Remote Sens. Environ. 2005, 97, 322–336. [Google Scholar] [CrossRef]
- Han, H.; Lee, S.; Im, J.; Kim, M.; Lee, M.I.; Ahn, M.H.; Chung, S.-R. Detection of Convective Initiation Using Meteorological Imager Onboard Communication, Ocean, and Meteorological Satellite Based on Machine Learning Approaches. Remote Sens. 2015, 7, 9184–9204. [Google Scholar] [CrossRef] [Green Version]
- Barr, M. A Novel Technique for Segmentation of High Resolution Remote Sensing Images Based on Neural Networks. Neural. Process. Lett. 2020, 52, 679–692. [Google Scholar] [CrossRef]
- Mariana, B.; Lucian, D. Random forest in remote sensing: A review of applications and future directions. ISPRS J. Photogramm. Remote Sens. 2016, 114, 24–31. [Google Scholar] [CrossRef]
- Rodriguez-Galiano, V.F.; Ghimire, B.; Rogan, J.; Chica-Olmo, M.; Rigol-Sanchez, J.P. An assessment of the effectiveness of a random forest classifier for land-cover classification. ISPRS J. Photogramm. Remote Sens. 2012, 67, 93–104. [Google Scholar] [CrossRef]
- Gibson, R.; Danaher, T.; Hehir, W.; Collins, L. A remote sensing approach to mapping fire severity in south-eastern Australia using sentinel 2 and random forest. Remote Sens. Environ. 2020, 240, 111702. [Google Scholar] [CrossRef]
- Lawrence, R.L.; Wood, S.D.; Sheley, R.L. Mapping invasive plants using hyperspectral imagery and Breiman Cutler classifications (randomForest). Remote Sens. Environ. 2006, 100, 356–362. [Google Scholar] [CrossRef]
- Beckschäfer, P. Obtaining rubber plantation age information from very dense Landsat TM & ETM+ time series data and pixel-based image compositing. Remote Sens. Environ. 2017, 196, 89–100. [Google Scholar] [CrossRef]
- Min, S.; Wang, X.; Bai, J.; Huang, J. Asymmetric response of farmers’ production adjustment to the expected price volatility: Evidence from smallholder rubber farmers in Xishuangbanna. Res. Agric. Mod. 2017, 38, 475–483. [Google Scholar] [CrossRef]
- Xiao, C.; Li, P.; Feng, Z. How Did Deciduous Rubber Plantations Expand Spatially in China’s Xishuangbanna Dai Autonomous Prefecture During 1991-2016? Photogramm. Eng. Remote Sens. 2019, 85, 687–697. [Google Scholar] [CrossRef]
- He, C.; Mo, Y.; Liu, R. Forecasting of Natural Rubber Production Capacity in China (2019-2025). Issues For. Econ. 2020, 40, 320–327. [Google Scholar] [CrossRef]
- Min, S.; Bai, J.; Huang, J.; Waibel, H. Willingness of smallholder rubber farmers to participate in ecosystem protection: Effects of household wealth and environmental awareness. For. Policy Econ. 2018, 87, 70–84. [Google Scholar] [CrossRef]
- Wigboldus, S.; Hammond, J.; Xu, J.; Yi, Z.F.; He, J.; Klerkx, L.; Leeuwis, C. Scaling green rubber cultivation in Southwest China—An integrative analysis of stakeholder perspectives. Sci. Total Environ. 2017, 580, 1475–1482. [Google Scholar] [CrossRef] [PubMed]







| Year | Path/Row | |||
|---|---|---|---|---|
| 129/045 | 130/044 | 130/045 | 131/045 | |
| 1989 | 1 | 1 | 1 | 3 |
| 1990 | 0 | 0 | 1 | 1 |
| 1991 | 3 | 3 | 2 | 0 |
| 1998 | 1 | 0 | 1 | 0 |
| 2000 | 1 | 2 | 3 | 0 |
| 2001 | 0 | 1 | 3 | 0 |
| 2009 | 1 | 1 | 1 | 1 |
| 2010 | 0 | 2 | 3 | 1 |
| 2011 | 1 | 0 | 1 | 1 |
| 2018 | 1 | 2 | 4 | 1 |
| 2019 | 2 | 1 | 5 | 1 |
| 2020 | 0 | 0 | 4 | 0 |
| ML | PA | UA | |||||||
| Land use types | L | PL | TL | PTL | L | PL | TL | PTL | |
| Natural Forests | 99.29% | 98.43% | 99.77% | 99.47% | 98.66% | 98.91% | 96.37% | 97.33% | |
| Rubber Plantations | 92.84% | 92.43% | 96.38% | 95.83% | 95.22% | 96.64% | 98.11% | 97.36% | |
| Shrublands | 87.18% | 95.92% | 95.98% | 98.68% | 75.43% | 75.90% | 83.61% | 81.23% | |
| Non-Forests | 95.60% | 95.48% | 92.13% | 91.66% | 98.93% | 99.20% | 99.17% | 99.36% | |
| QDT | PA | UA | |||||||
| Land use types | L | PL | TL | PTL | L | PL | TL | PTL | |
| Natural Forests | 98.75% | 98.55% | 98.64% | 98.94% | 96.45% | 97.21% | 94.16% | 94.73% | |
| Rubber Plantations | 79.02% | 89.51% | 92.72% | 94.52% | 90.19% | 93.82% | 94.98% | 95.63% | |
| Shrublands | 70.29% | 76.78% | 84.25% | 88.05% | 54.28% | 70.43% | 77.41% | 81.87% | |
| Non-Forests | 95.97% | 96.81% | 91.76% | 91.62% | 97.19% | 97.27% | 97.86% | 98.05% | |
| RF | PA | UA | |||||||
| Land use types | L | PL | TL | PTL | L | PL | TL | PTL | |
| Natural Forests | 99.49% | 99.53% | 99.58% | 99.73% | 98.18% | 98.24% | 97.76% | 97.92% | |
| Rubber Plantations | 83.76% | 95.46% | 95.60% | 97.53% | 93.50% | 97.64% | 98.28% | 98.80% | |
| Shrublands | 81.95% | 88.51% | 94.66% | 95.86% | 62.30% | 84.35% | 86.81% | 90.04% | |
| Non-Forests | 95.51% | 97.40% | 96.86% | 96.40% | 97.71% | 98.50% | 99.43% | 99.39% | |
| KA | OA | ||||||||
| Classifiers | L | PL | TL | PTL | L | PL | TL | PTL | |
| ML | 93.73% | 94.23% | 94.87% | 94.69% | 95.41% | 95.76% | 96.24% | 96.10% | |
| QDT | 86.99% | 91.47% | 91.54% | 92.68% | 90.22% | 93.70% | 93.72% | 94.59% | |
| RF | 90.10% | 95.63% | 96.25% | 96.96% | 92.63% | 96.83% | 97.28% | 97.80% | |
| Area (1000 km2) | Change Rate (% yr) | |||||||
|---|---|---|---|---|---|---|---|---|
| Land Use Types | 1990 | 2000 | 2010 | 2020 | 1990–2000 | 2000–2010 | 2010–2020 | 1990–2020 |
| Natural Forests | 12.91 | 11.87 | 10.50 | 10.69 | −0.81% | −1.15% | 0.18% | −0.57% |
| Rubber Plantations | 1.45 | 2.65 | 4.32 | 4.46 | 8.23% | 6.31% | 0.31% | 6.89% |
| Shrublands | 3.04 | 2.46 | 2.98 | 2.14 | −1.91% | 2.10% | −2.81% | −0.99% |
| Non- Forests | 1.77 | 2.19 | 1.37 | 1.88 | 2.41% | −3.76% | 3.76% | 0.22% |
| 1990 | |||||
| 2000 | Land Use Types | Natural Forests | Rubber Plantations | Shrublands | Non-Forests |
| Natural Forests | 53.99 | 0.98 | 5.31 | 1.62 | |
| Rubber Plantations | 5.21 | 4.85 | 2.33 | 1.43 | |
| Shrublands | 5.39 | 0.61 | 5.47 | 1.37 | |
| Non-Forests | 2.74 | 1.14 | 2.76 | 4.79 | |
| 2000 | |||||
| 2010 | Land Use Types | Natural Forests | Rubber Plantations | Shrublands | Non-Forests |
| Natural Forests | 48.12 | 2.00 | 3.31 | 1.34 | |
| Rubber Plantations | 7.13 | 9.95 | 2.89 | 2.58 | |
| Shrublands | 5.81 | 1.23 | 5.75 | 2.75 | |
| Non-Forests | 0.85 | 0.63 | 0.89 | 4.77 | |
| 2010 | |||||
| 2020 | Land Use Types | Natural Forests | Rubber Plantations | Shrublands | Non-Forests |
| Natural Forests | 45.30 | 4.30 | 5.20 | 0.96 | |
| Rubber Plantations | 3.79 | 14.83 | 3.55 | 1.08 | |
| Shrublands | 4.16 | 1.42 | 4.52 | 1.07 | |
| Non-Forests | 1.53 | 2.01 | 2.26 | 4.03 | |
Publisher’s Note: MDPI stays neutral with regard to jurisdictional claims in published maps and institutional affiliations. |
© 2021 by the authors. Licensee MDPI, Basel, Switzerland. This article is an open access article distributed under the terms and conditions of the Creative Commons Attribution (CC BY) license (https://creativecommons.org/licenses/by/4.0/).
Share and Cite
Yang, J.; Xu, J.; Zhai, D.-L. Integrating Phenological and Geographical Information with Artificial Intelligence Algorithm to Map Rubber Plantations in Xishuangbanna. Remote Sens. 2021, 13, 2793. https://doi.org/10.3390/rs13142793
Yang J, Xu J, Zhai D-L. Integrating Phenological and Geographical Information with Artificial Intelligence Algorithm to Map Rubber Plantations in Xishuangbanna. Remote Sensing. 2021; 13(14):2793. https://doi.org/10.3390/rs13142793
Chicago/Turabian StyleYang, Jianbo, Jianchu Xu, and De-Li Zhai. 2021. "Integrating Phenological and Geographical Information with Artificial Intelligence Algorithm to Map Rubber Plantations in Xishuangbanna" Remote Sensing 13, no. 14: 2793. https://doi.org/10.3390/rs13142793
APA StyleYang, J., Xu, J., & Zhai, D.-L. (2021). Integrating Phenological and Geographical Information with Artificial Intelligence Algorithm to Map Rubber Plantations in Xishuangbanna. Remote Sensing, 13(14), 2793. https://doi.org/10.3390/rs13142793

