Optical Property Model for Cirrus Clouds Based on Airborne Multi-Angle Polarization Observations
Abstract
:1. Introduction
2. Methodology
2.1. Ice Habit Models
2.2. Algorithm
3. Case Study
3.1. AirMSPI Observations
3.2. Inference of Ice Particle Shape
4. Discussions
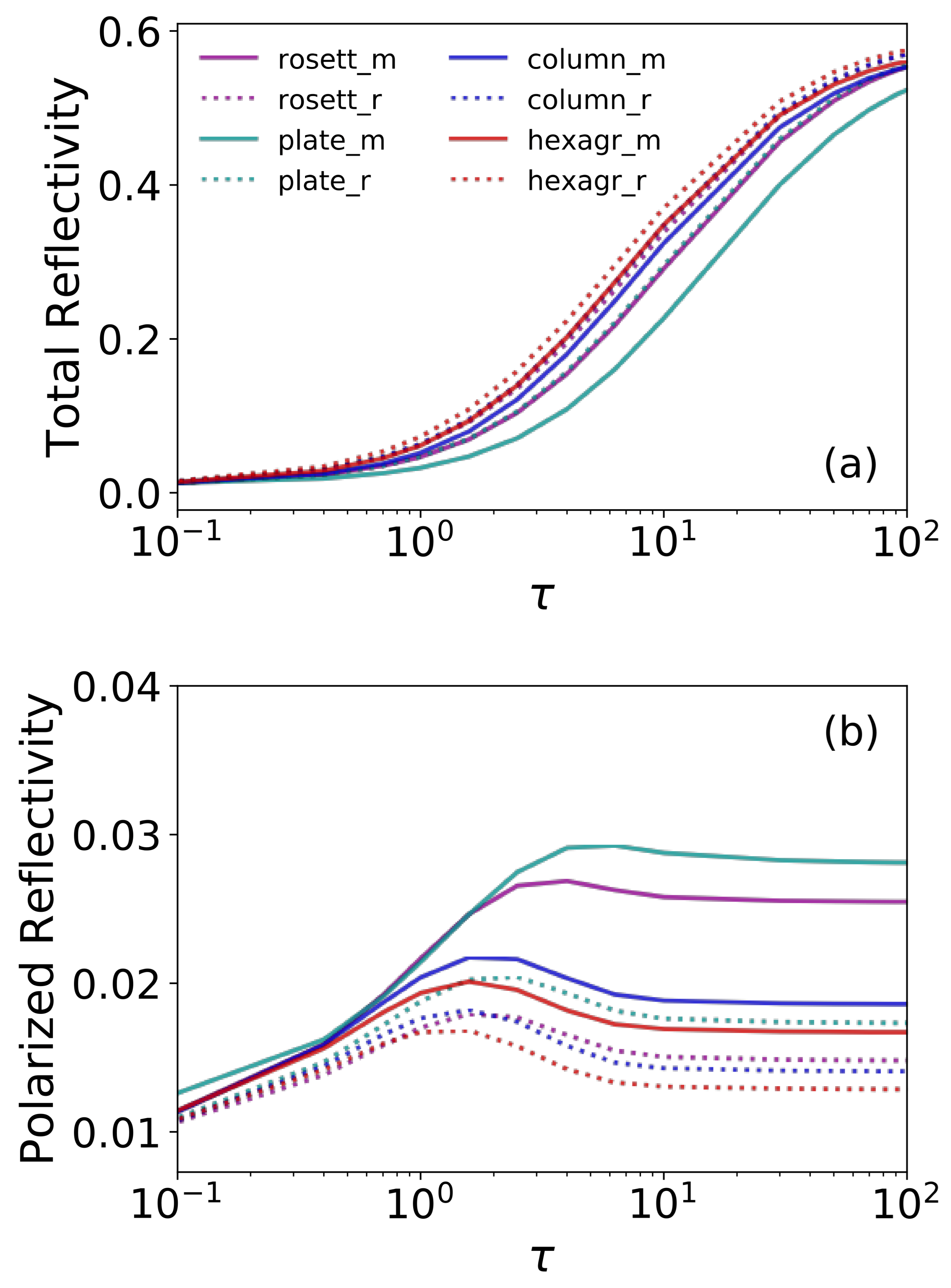
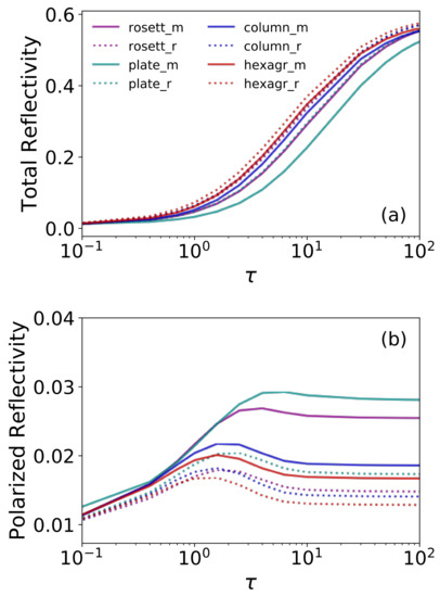
4.1. Retrievals from Total Reflectivity
4.2. Retrievals from Polarized Reflectivity
4.3. Uncertainties, Limitations, and Perspectives
5. Summary and Conclusions
Author Contributions
Funding
Institutional Review Board Statement
Informed Consent Statement
Data Availability Statement
Acknowledgments
Conflicts of Interest
References
- Mishchenko, M.I.; Rossow, W.B.; Macke, A.; Lacis, A.A. Sensitivity of cirrus cloud albedo, bidirectional reflectance and optical thickness retrieval accuracy to ice particle shape. J. Geophys. Res. Atmos. 1996, 101, 16973–16985. [Google Scholar] [CrossRef]
- Baran, A.J. A review of the light scattering properties of cirrus. J. Quant. Spectrosc. Radiat. Transf. 2009, 110, 1239–1260. [Google Scholar] [CrossRef]
- Yang, P.; Liou, K.N.; Bi, L.; Liu, C.; Yi, B.Q.; Baum, B.A. On the radiative properties of ice clouds: Light scattering, remote sensing, and radiation parameterization. Adv. Atmos. Sci. 2015, 32, 32–63. [Google Scholar] [CrossRef]
- Loeb, N.G.; Yang, P.; Rose, F.G.; Hong, G.; Sun-Mack, S.; Minnis, P.; Kato, S.; Ham, S.-H.; Smith, W.L., Jr.; Hioki, S. Impact of ice cloud microphysics on satellite cloud retrievals and broadband flux radiative transfer model calculations. J. Clim. 2018, 31, 1851–1864. [Google Scholar] [CrossRef]
- Deschamps, P.-Y.; Bréon, F.-M.; Leroy, M.; Podaire, A.; Bricaud, A.; Buriez, J.-C.; Seze, G. The POLDER mission: Instrument characteristics and scientific objectives. IEEE Trans. Geosci. Remote Sens. 1994, 32, 598–615. [Google Scholar] [CrossRef]
- Diner, D.J.; Beckert, J.C.; Reilly, T.H.; Bruegge, C.J.; Conel, J.E.; Kahn, R.A.; Martonchik, J.V.; Ackerman, T.P.; Davies, R.; Gerstl, S.A. Multi-angle Imaging SpectroRadiometer (MISR) instrument description and experiment overview. IEEE Trans. Geosci. Remote Sens. 1998, 36, 1072–1087. [Google Scholar] [CrossRef]
- Wang, Y.; Yang, P.; Hioki, S.; King, M.D.; Baum, B.A.; Di Girolamo, L.; Fu, D. Ice cloud optical thickness, effective radius, and ice water path inferred from fused MISR and MODIS measurements based on a pixel-level optimal ice particle roughness model. J. Geophys. Res. Atmos. 2019, 124, 12126–12140. [Google Scholar] [CrossRef]
- Doutriaux-Boucher, M.; Buriez, J.C.; Brogniez, G.; C.-Labonnote, L.; Baran, A.J. Sensitivity of retrieved POLDER directional cloud optical thickness to various ice particle models. Geophys. Res. Lett. 2000, 27, 109–112. [Google Scholar] [CrossRef]
- McFarlane, S.A.; Marchand, R.T.; Ackerman, T.P. Retrieval of cloud phase and crystal habit from Multiangle Imaging Spectroradiometer (MISR) and Moderate Resolution Imaging Spectroradiometer (MODIS) data. J. Geophys. Res. Atmos. 2005, 110. [Google Scholar] [CrossRef] [Green Version]
- Xie, Y.; Yang, P.; Kattawar, G.W.; Minnis, P.; Hu, Y.; Wu, D.L. Determination of ice cloud models using MODIS and MISR data. Int. J. Remote Sens. 2012, 33, 4219–4253. [Google Scholar] [CrossRef] [Green Version]
- Wang, Y.; Hioki, S.; Yang, P.; King, M.D.; Di Girolamo, L.; Fu, D.; Baum, B.A. Inference of an optimal ice particle model through latitudinal analysis of MISR and MODIS data. Remote Sens. 2018, 10, 1981. [Google Scholar] [CrossRef] [Green Version]
- Chepfer, H.; Minnis, P.; Young, D.; Nguyen, L.; Arduini, R.F. Estimation of cirrus cloud effective ice crystal shapes using visible reflectances from dual-satellite measurements. J. Geophys. Res. Atmos. 2002, 107. [Google Scholar] [CrossRef]
- Sun, W.; Loeb, N.G.; Yang, P. On the retrieval of ice cloud particle shapes from POLDER measurements. J. Quant. Spectrosc. Radiat. Transf. 2006, 101, 435–447. [Google Scholar] [CrossRef]
- Baran, A.; Labonnote, L.C. A self-consistent scattering model for cirrus. I: The solar region. J. Quant. Spectrosc. Radiat. Transf. 2007, 133, 1899–1912. [Google Scholar] [CrossRef]
- Van Diedenhoven, B.; Cairns, B.; Geogdzhayev, I.; Fridlind, A.; Ackerman, A.; Yang, P.; Baum, B.A. Remote sensing of ice crystal asymmetry parameter using multi-directional polarization measurements–Part 1: Methodology and evaluation with simulated measurements. Atmos. Meas. Tech. 2012, 5, 2361–2374. [Google Scholar] [CrossRef] [Green Version]
- Cole, B.; Yang, P.; Baum, B.A.; Riedi, J.; C-Labonnote, L. Ice particle habit and surface roughness derived from PARASOL polarization measurements. Atmos. Chem. Phys. 2014, 14, 3739–3750. [Google Scholar] [CrossRef] [Green Version]
- Hioki, S.; Yang, P.; Baum, B.A.; Platnick, S.; Meyer, K.G.; King, M.D.; Riedi, J. Degree of ice particle surface roughness inferred from polarimetric observations. Atmos. Chem. Phys. 2016, 16, 7545–7558. [Google Scholar] [CrossRef] [Green Version]
- Masuda, K.; Takashima, T. Feasibility study of derivation of cirrus information using polarimetric measurements from satellite. Remote Sens. Environ. 1992, 39, 45–59. [Google Scholar] [CrossRef]
- Diner, D.J.; Xu, F.; Garay, M.J.; Martonchik, J.V.; Rheingans, B.E.; Geier, S.; Davis, A.; Hancock, B.; Jovanovic, V.; Bull, M. The Airborne Multiangle SpectroPolarimetric Imager (AirMSPI): A new tool for aerosol and cloud remote sensing. Atmos. Meas. Tech. 2013, 6, 2007–2025. [Google Scholar] [CrossRef] [Green Version]
- McFarlane, S.A.; Marchand, R.T. Analysis of ice crystal habits derived from MISR and MODIS observations over the ARM Southern Great Plains site. J. Geophys. Res. Atmos. 2008, 113. [Google Scholar] [CrossRef]
- Zhang, Z.; Yang, P.; Kattawar, G.; Riedi, J.; Labonnote, L.; Baum, B.A.; Platnick, S.; Huang, H.-L. Influence of ice particle model on satellite ice cloud retrieval: Lessons learned from MODIS and POLDER cloud product comparison. Atmos. Chem. Phys. 2009, 9, 7115–7129. [Google Scholar] [CrossRef] [Green Version]
- Yang, P.; Bi, L.; Baum, B.A.; Liou, K.-N.; Kattawar, G.W.; Mishchenko, M.I.; Cole, B. Spectrally consistent scattering, absorption, and polarization properties of atmospheric ice crystals at wavelengths from 0.2 to 100 μm. J. Atmos. Sci. 2013, 70, 330–347. [Google Scholar] [CrossRef]
- Yang, P.; Liou, K. Single-scattering properties of complex ice crystals in terrestrial atmosphere. Beitr. Phys. Atmosphare-Contrib. Atmos. Phys. 1998, 71, 223–248. [Google Scholar]
- Platnick, S.; Meyer, K.G.; King, M.D.; Wind, G.; Amarasinghe, N.; Marchant, B.; Arnold, G.T.; Zhang, Z.; Hubanks, P.A.; Holz, R.E.; et al. The MODIS cloud optical and microphysical products: Collection 6 updates and examples from Terra and Aqua. IEEE Trans. Geosci. Remote Sens. 2016, 55, 502–525. [Google Scholar] [CrossRef] [PubMed] [Green Version]
- Yang, P.; Hioki, S.; Saito, M.; Kuo, C.P.; Baum, B.A.; Liou, K.-N. A review of ice cloud optical property models for passive satellite remote sensing. Atmosphere 2018, 9, 499. [Google Scholar] [CrossRef] [Green Version]
- Nakajima, T.; King, M.D. Determination of the optical thickness and effective particle radius of clouds from reflected solar radiation measurements. Part I: Theory. J. Atmos. Sci. 1990, 47, 1878–1893. [Google Scholar] [CrossRef] [Green Version]
- Huang, X.; Yang, P.; Kattawar, G.; Liou, K.-N. Effect of mineral dust aerosol aspect ratio on polarized reflectance. J. Quant. Spectrosc. Radiat. Transf. 2015, 151, 97–109. [Google Scholar] [CrossRef]
- Cox, C.; Munk, W. Measurement of the roughness of the sea surface from photographs of the sun’s glitter. J. Opt. Soc. Am. 1954, 44, 838–850. [Google Scholar] [CrossRef]
- Liang, L.; Girolamo, L.D. A global analysis on the view-angle dependence of plane-parallel oceanic liquid water cloud optical thickness using data synergy from MISR and MODIS. J. Geophys. Res. Atmos. 2013, 118, 2389–2403. [Google Scholar] [CrossRef]
- Mitchell, D.L.; Mejia, J.; Garnier, A.; Tomii, Y.; Krämer, M.; Hosseinpour, F. An estimate of global, regional and seasonal cirrus cloud radiative effects contributed by homogeneous ice nucleation. Atmos. Chem. Phys. Discuss. 2020. [Google Scholar] [CrossRef]
- Mitchell, D.L.; Garnier, A.; Pelon, J.; Erfani, E. CALIPSO (IIR–CALIOP) retrievals of cirrus cloud ice-particle concentrations. Atmos. Chem. Phys. 2018, 18, 17325–17354. [Google Scholar] [CrossRef] [Green Version]
- Sourdeval, O.; Gryspeerdt, E.; Krämer, M.; Goren, T.; Delanoë, J.; Afchine, A.; Hemmer, F.; Quaas, J. Ice crystal number concentration estimates from lidar–radar satellite remote sensing–Part 1: Method and evaluation. Atmos. Chem. Phys. 2018, 18, 14327–14350. [Google Scholar] [CrossRef] [Green Version]
- Gryspeerdt, E.; Sourdeval, O.; Quaas, J.; Delanoë, J.; Krämer, M.; Kühne, P. Ice crystal number concentration estimates from lidar–radar satellite remote sensing–Part 2: Controls on the ice crystal number concentration. Atmos. Chem. Phys. 2018, 18, 14351–14370. [Google Scholar] [CrossRef] [Green Version]
- Saito, M.; Yang, P. Oriented ice crystals: A single-scattering property database for applications to lidar and optical phenomenon simulations. J. Atmos. Sci. 2019, 76, 2635–2652. [Google Scholar] [CrossRef]











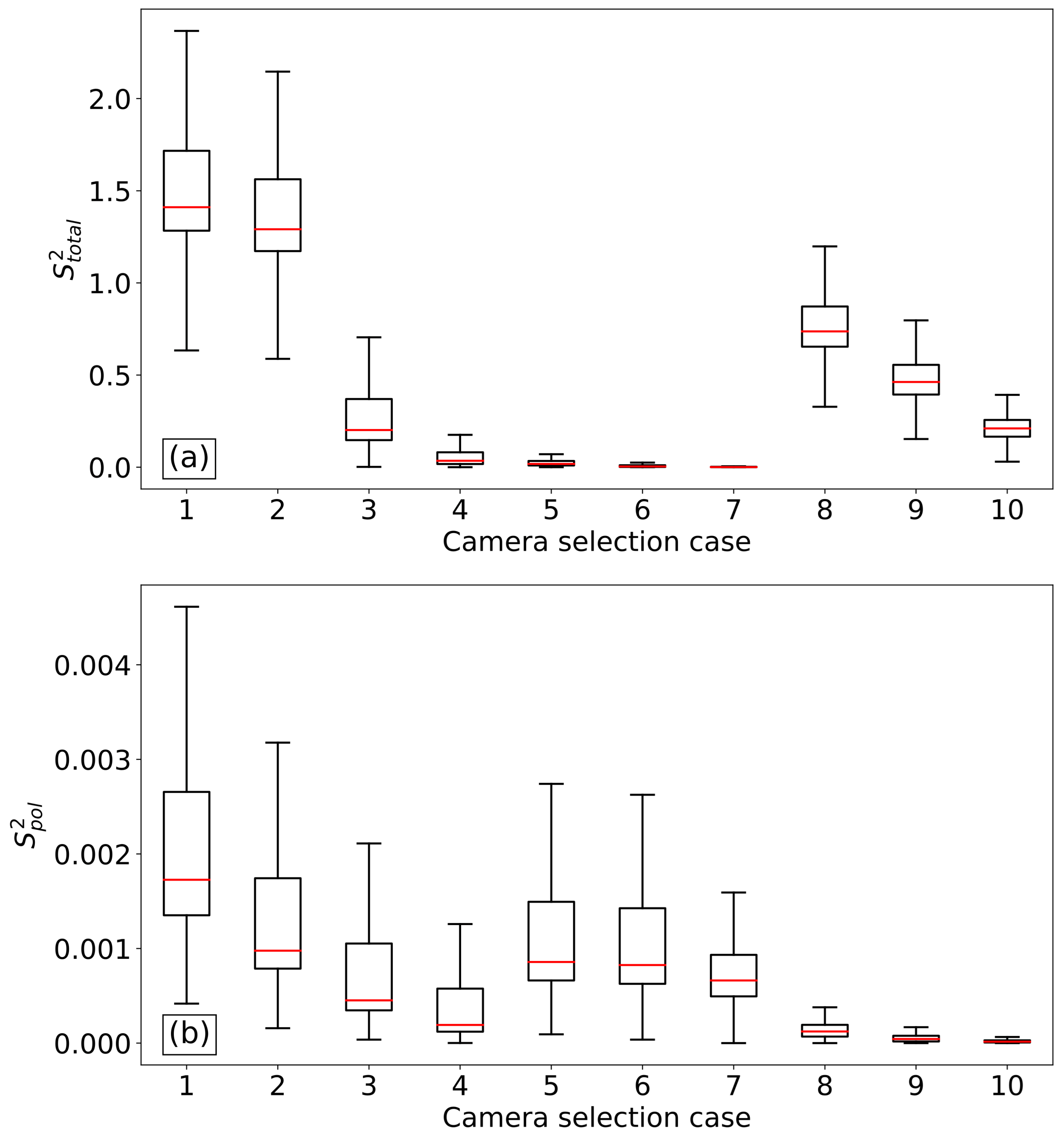
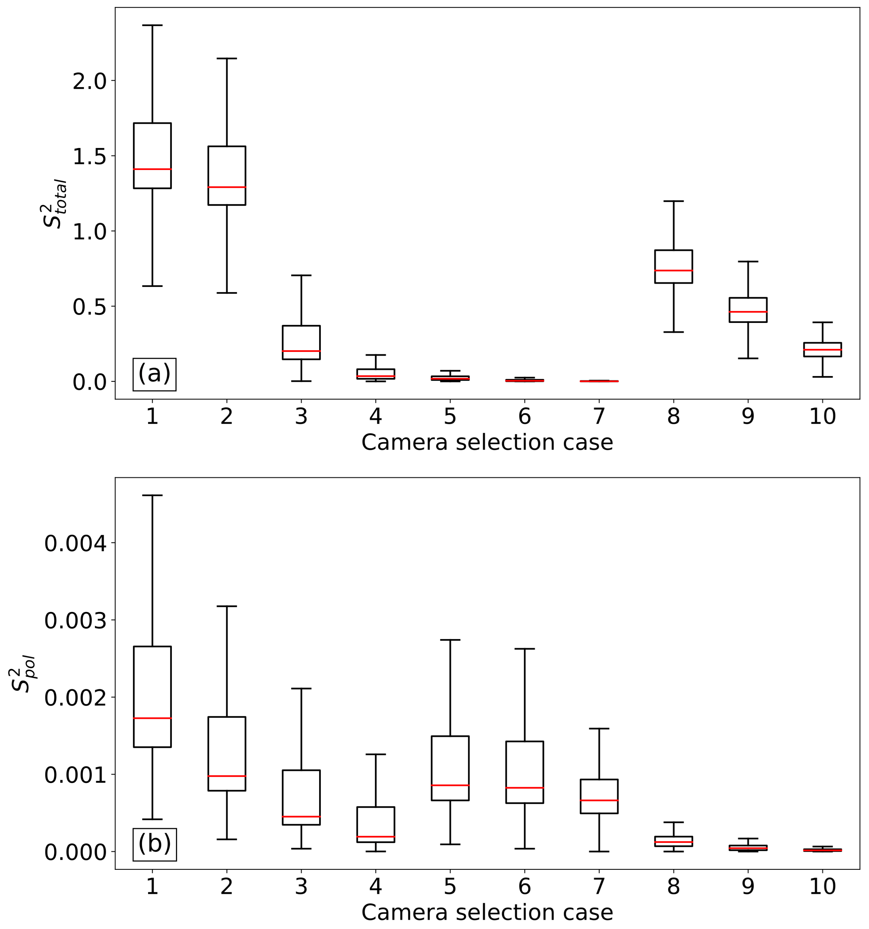
| Case Index | Camera Selection | ||||||||
|---|---|---|---|---|---|---|---|---|---|
| 661F | 589F | 478F | 290F | 000N | 291A | 478A | 589A | 661A | |
| 1 | + | + | + | + | + | + | + | + | − |
| 2 | − | + | + | + | + | + | + | + | − |
| 3 | − | − | + | + | + | + | + | − | − |
| 4 | − | − | − | + | + | + | − | − | − |
| 5 | − | + | + | + | + | − | − | − | − |
| 6 | − | + | + | + | − | − | − | − | − |
| 7 | − | + | + | − | − | − | − | − | − |
| 8 | − | − | − | − | + | + | + | + | − |
| 9 | − | − | − | − | − | + | + | + | − |
| 10 | − | − | − | − | − | − | + | + | − |
Publisher’s Note: MDPI stays neutral with regard to jurisdictional claims in published maps and institutional affiliations. |
© 2021 by the authors. Licensee MDPI, Basel, Switzerland. This article is an open access article distributed under the terms and conditions of the Creative Commons Attribution (CC BY) license (https://creativecommons.org/licenses/by/4.0/).
Share and Cite
Wang, Y.; Yang, P.; King, M.D.; Baum, B.A. Optical Property Model for Cirrus Clouds Based on Airborne Multi-Angle Polarization Observations. Remote Sens. 2021, 13, 2754. https://doi.org/10.3390/rs13142754
Wang Y, Yang P, King MD, Baum BA. Optical Property Model for Cirrus Clouds Based on Airborne Multi-Angle Polarization Observations. Remote Sensing. 2021; 13(14):2754. https://doi.org/10.3390/rs13142754
Chicago/Turabian StyleWang, Yi, Ping Yang, Michael D. King, and Bryan A. Baum. 2021. "Optical Property Model for Cirrus Clouds Based on Airborne Multi-Angle Polarization Observations" Remote Sensing 13, no. 14: 2754. https://doi.org/10.3390/rs13142754
APA StyleWang, Y., Yang, P., King, M. D., & Baum, B. A. (2021). Optical Property Model for Cirrus Clouds Based on Airborne Multi-Angle Polarization Observations. Remote Sensing, 13(14), 2754. https://doi.org/10.3390/rs13142754

