Additional Reference Height Error Analysis for Baseline Calibration Based on a Distributed Target DEM in TwinSAR-L
Abstract
:1. Introduction
2. Materials and Methods
2.1. Baseline Calibration Method Based on the Distributed Target DEM
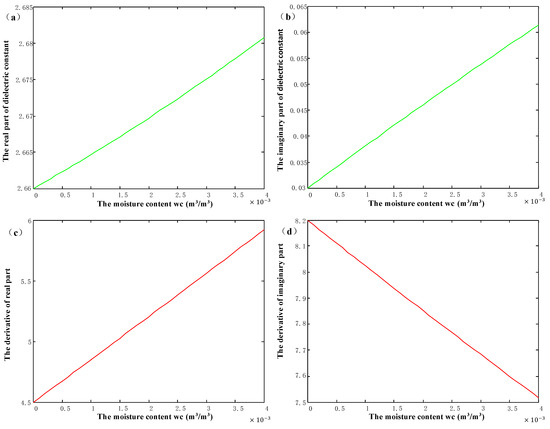
2.2. Additional Reference Height Error of L-Band
2.3. Additional Reference Height Error of L-Band
3. Results and Analysis
3.1. Test Site and Data Sets
3.2. Additional Error Reference Height of L-Band
3.3. Additional Error Reference Height of L-Band
4. Discussion
4.1. Penetration Depth Estimation Accuracy
4.2. The Baseline Calibration Method for TwinSAR-L
5. Conclusions
Author Contributions
Funding
Conflicts of Interest
References
- Rossi, C.; Minet, C.; Fritz, T.; Eineder, M.; Bamler, R. Temporal monitoring of subglacial volcanoes with TanDEM-X Application to the 2014C2015 eruption within the Brearbunga volcanic system, Iceland. Remote Sens. Environ. 2016, 181, 186–197. [Google Scholar] [CrossRef] [Green Version]
- Zebker, H.A.; Farr, T.G. Mapping the world’s topography using radar interferometry: The TOPSAT mission. Proc. IEEE 1994, 82, 1774–1786. [Google Scholar] [CrossRef] [Green Version]
- Moreira, A.; Krieger, G.; Hajnsek, I.; Hounam, D.; Werner, M.; Riegger, S.; Settelmeyer, E. TanDEM-X: A TerraSAR-X add-on satellite for single-pass SAR interferometry. In Proceedings of the 2004 IEEE International Geoscience and Remote Sensing Symposium, IGARSS 2004, Anchorage, AK, USA, 20–24 September 2004; pp. 1000–1003. [Google Scholar]
- Wessel, B.; Huber, M.; Wohlfart, C.; Marschalk, U.; Kosmann, D.; Roth, A. Accuracy assessment of the global TanDEM-X Digital Elevation Model with GPS data—ScienceDirect. ISPRS J. Photogramm. Remote Sens. 2018, 139, 171–182. [Google Scholar] [CrossRef]
- Brutigam, B.; Martone, M.; Rizzoli, P.; Gonzalez, C.; Zink, M. Quality Assessment of the TanDEM-X Global Digital Elevation Model. In Proceedings of the International Symposium on Remote Sensing of Environment (ISRSE), Berlin, Germany, 11–15 May 2015. [Google Scholar]
- Lee, S.K.; Kugler, F.; Papathanassiou, K.; Hajnsek, I. First Pol-InSAR Forest Height Inversion by means of L-band F-SAR Data. In Proceedings of the ESA POLinSAR2013 Workshop, Frascati, Italy, 28 January–1 February 2013. [Google Scholar]
- Hajnsek, I.; Kugler, F.; Lee, S.K.; Papathanassiou, K.P. Tropical-Forest-Parameter Estimation by Means of Pol-InSAR: The INDREX-II Campaign. IEEE Trans. Geosci. Remote Sens. 2009, 47, 481–493. [Google Scholar] [CrossRef] [Green Version]
- Tebaldini, S.; Rocca, F. Multibaseline Polarimetric SAR Tomography of a Boreal Forest at P- and L-Bands. IEEE Trans. Geosci. Remote Sens. 2012, 50, 232–246. [Google Scholar] [CrossRef]
- Moreira, A.; Krieger, G.; Hajnsek, I.; Papathanassiou, K.; Younis, M.; Lopez-Dekker, P.; Huber, S.; Villano, M.; Pardini, M.; Eineder, M.; et al. Tandem-L: A Highly Innovative Bistatic SAR Mission for Global Observation of Dynamic Processes on the Earth’s Surface. IEEE Geosci. Remote Sens. Mag. 2015, 3, 8–23. [Google Scholar] [CrossRef]
- Liu, X.; Zhao, C.; Zhang, Q.; Lu, Z.; Li, Z. Deformation of the Baige Landslide, Tibet, China, Revealed Through the Integration of Cross-Platform ALOS/PALSAR-1 and ALOS/PALSAR-2 SAR Observations. Geophys. Res. Lett. 2020, 47, e2019GL086142. [Google Scholar] [CrossRef] [Green Version]
- Doke, R.; Kikugawa, G.; Itadera, K. Very Local Subsidence Near the Hot Spring Region in Hakone Volcano, Japan, Inferred from InSAR Time Series Analysis of ALOS/PALSAR Data. Remote Sens. 2020, 12, 2842. [Google Scholar] [CrossRef]
- Pierdicca, N.; Davidson, M.; Chini, M.; Dierking, W.; Djavidnia, S.; Haarpaintner, J.; Hajduch, G.; Laurin, G.V. The Copernicus L-band SAR mission ROSE-L (Radar Observing System for Europe) (Conference Presentation). In Proceedings of the Active and Passive Microwave Remote Sensing for Environmental Monitoring III, Strasbourg, France, 11–12 September 2019. [Google Scholar]
- Rosen, P.A.; Agram, P.S.; Lavalle, M.; Cohen, J.; Buckley, S.; Kumar, R.; Misraray, A.; Ramanujam, V.; Agarwal, K.M. The Nasa-Isro SAR Mission Science Data Products and Processing Workflows. In Proceedings of the Agu Fall Meeting, New Orleans, LA, USA, 11–15 December 2017. [Google Scholar]
- Li, C.; Zhang, H.; Deng, Y.; Wang, R.; Liu, K.; Liu, D.; Jin, G.; Zhang, Y. Focusing the L-Band Spaceborne Bistatic SAR Mission Data Using a Modified RD Algorithm. IEEE Trans. Geosci. Remote Sens. 2020, 58, 294–306. [Google Scholar] [CrossRef]
- Antony, J.M.W.; Gonzalez, J.H.; Schwerdt, M.; Bachmann, M.; Krieger, G.; Zink, M. Results of the TanDEM-X Baseline Calibration. IEEE J. Sel. Top. Appl. Earth Obs. Remote. Sens. 2013, 6, 1495–1501. [Google Scholar] [CrossRef]
- Pinheiro, M.; Reigber, A.; Moreira, A. Large-baseline InSAR for precise topographic mapping: A framework for TanDEM-X large-baseline data. Adv. Radio Sci. 2017, 15, 231–241. [Google Scholar] [CrossRef] [Green Version]
- Hueso Gonzalez, J.; Bachmann, M.; Krieger, G.; Fiedler, H. Development of the TanDEM-X Calibration Concept: Analysis of Systematic Errors. IEEE Trans. Geosci. Remote Sens. 2010, 48, 716–726. [Google Scholar] [CrossRef] [Green Version]
- Schaber, G.G.; Mccauley, J.F.; Breed, C.S. The use of multifrequency and polarimetric SIR-C/X-SAR data in geologic studies of Bir Safsaf, Egypt. Remote Sens. Environ. 1997, 59, 337–363. [Google Scholar] [CrossRef]
- Fischer, G.; Papathanassiou, K.; Hajnsek, I. Modeling and Compensation of the Penetration Bias in InSAR DEMs of Ice Sheets at Different Frequencies. IEEE J. Sel. Top. Appl. Earth Obs. Remote Sens. 2020, 13, 2698–2707. [Google Scholar] [CrossRef]
- Martone, M.; Bräutigam, B.; Krieger, G. Decorrelation effects in bistatic TanDEM-X data. In Proceedings of the 2012 IEEE International Geoscience and Remote Sensing Symposium, Munich, Germany, 22–27 July 2012. [Google Scholar]
- Ren, K.; Prinet, V.; Shi, X.; Wang, F. Comparison of satellite baseline estimation methods for interferometry applications. In Proceedings of the IGARSS ’03, Geoscience and Remote Sensing Symposium, Toulouse, France, 21–25 July 2003. [Google Scholar]
- Zhang, K.; Ng, H.M.; Li, X.; Chang, H.C.; Rizos, C. A new approach to improve the accuracy of baseline estimation for spaceborne radar interferometry. In Proceedings of the 2009 IEEE International Geoscience and Remote Sensing Symposium, Cape Town, South Africa, 12–17 July 2009. [Google Scholar]
- Krieger, G.; Fiedler, H.; Mittermayer, J.; Papathanassiou, K.; Moreira, A. Analysis of multistatic configurations for spaceborne SAR interferometry. IEE Proc. Radar Sonar Navig. 2003, 150, 87–96. [Google Scholar] [CrossRef] [Green Version]
- Chen, R.; Xu, S.J.; Zhang, P. Estimation of InSAR baseline based on the Frequency Shift Theory. In Proceedings of the 2006 CIE International Conference on Radar, Shanghai, China, 16–19 October 2006. [Google Scholar]
- Mapelli, D.; Guarnieri, A.; Giudici, D. Generation and Calibration of High-Resolution DEM From Single-Baseline Spaceborne Interferometry: The “Split-Swath” Approach. IEEE Trans. Geosci. Remote Sens. 2014, 52, 4858–4867. [Google Scholar] [CrossRef]
- Zhang, X.L.; Huang, S.J.; Wang, J.G. Approaches to estimating terrain height and baseline for interferometric SAR. Electron. Lett. 1998, 34, 2428–2429. [Google Scholar] [CrossRef]
- Krieger, G.; Moreira, A.; Fiedler, H.; Hajnsek, I.; Werner, M.; Younis, M.; Zink, M. TanDEM-X: A Satellite Formation for High-Resolution SAR Interferometry. IEEE Trans. Geosci. Remote. Sens. 2007, 45, 3317–3341. [Google Scholar] [CrossRef] [Green Version]
- Schwerdt, M.; Schrank, D.; Bachmann, M.; Gonzalez, J.H.; Antony, J. Calibration of the TerraSAR-X and the TanDEM-X Satellite for the TerraSAR-X Mission. In Proceedings of the European Conference on Synthetic Aperture Radar, Nuremberg, Germany, 23–26 April 2012. [Google Scholar]
- Stephen, H.; Long, D.G. Microwave backscatter modeling of Erg surfaces in the Sahara desert. IEEE Trans. Geosci. Remote Sens. 2005, 43, 238–247. [Google Scholar] [CrossRef] [Green Version]
- Engman, E.T.; Chauhan, N. Status of microwave soil moisture measurements with remote sensing. Remote Sens. Environ. 1995, 51, 189–198. [Google Scholar] [CrossRef]
- Schaber, G.G.; Breed, C.S. The Importance of SAR Wavelength in Penetrating Blow Sand in Northern Arizona. Remote Sens. Environ. 1999, 69, 87–104. [Google Scholar] [CrossRef]
- Matzler, C. Microwave permittivity of dry sand. IEEE Trans. Geosci. Remote Sens. 1998, 36, 317–319. [Google Scholar] [CrossRef]
- Xiong, S.; Jan-Peter, M.; Gang, L. The Application of ALOS/PALSAR InSAR to Measure Subsurface Penetration Depths in Deserts. Remote Sens. 2017, 9, 638. [Google Scholar] [CrossRef] [Green Version]
- Rui, W.; Cheng, H.; Tao, Z.; Teng, L.; Ke, Y. Subsurface height measurement using InSAR technique in sand-covered arid areas. In Proceedings of the Geoscience & Remote Sensing Symposium, Quebec City, QC, Canada, 13–18 July 2014. [Google Scholar]
- Dall, J. InSAR Elevation Bias Caused by Penetration Into Uniform Volumes. IEEE Trans. Geosci. Remote Sens. 2007, 45, 2319–2324. [Google Scholar] [CrossRef] [Green Version]
- Schlund, M.; Baron, D.; Magdon, P.; Erasmi, S. Canopy penetration depth estimation with TanDEM-X and its compensation in temperate forests. ISPRS J. Photogramm. Remote Sens. 2019, 147, 232–241. [Google Scholar] [CrossRef]
- Tebaldini, S. Single and Multipolarimetric SAR Tomography of Forested Areas: A Parametric Approach. IEEE Trans. Geosci. Remote Sens. 2010, 48, 2375–2387. [Google Scholar] [CrossRef]
- Sharma, J.J.; Hajnsek, I.; Papathanassiou, K.P.; Moreira, A. Estimation of Glacier Ice Extinction Using Long-Wavelength Airborne Pol-InSAR. IEEE Trans. Geosci. Remote Sens. 2013, 51, 3715–3732. [Google Scholar] [CrossRef] [Green Version]
- Liu, G.; Fu, H.; Zhu, J.; Wang, C.; Xie, Q. Penetration Depth Inversion in Hyperarid Desert From L-Band InSAR Data Based on a Coherence Scattering Model. IEEE Geosci. Remote Sens. Lett. 2020, 1–5. [Google Scholar] [CrossRef]
- Volksch, I.; Schwank, M.; Matzler, C. L-Band Reflectivity of a Furrowed Soil Surface. IEEE Trans. Geosci. Remote Sens. 2011, 49, 1957–1966. [Google Scholar] [CrossRef]
- Ulaby, F.T.; Moore, R.K.; Fung, A.K. Microwave Remote Sensing Active and Passive-Volume II: Radar Remote Sensing and Surface Scattering and Enission Theory; Addison-Wesley Pub. Co. Advanced Book Program/World Science Division: Boston, MA, USA, 1982. [Google Scholar]
- Oh, Y. Quantitative retrieval of soil moisture content and surface roughness from multipolarized radar observations of bare soil surfaces. IEEE Trans. Geosci. Remote Sens. 2004, 42, 596–601. [Google Scholar] [CrossRef]
- Gaber, A.; Koch, M.; Griesh, M.H.; Sato, M. SAR Remote Sensing of Buried Faults: Implications for Groundwater Exploration in the Western Desert of Egypt. Sens. Imaging Int. J. 2011, 12, 133–151. [Google Scholar] [CrossRef]
- Gaber, A.; Koch, M.; Griesh, M.H.; Sato, M.; El-Baz, F. Near-surface imaging of a buried foundation in the Western Desert, Egypt, using space-borne and ground penetrating radar. J. Archaeol. Sci. 2013, 40, 1946–1955. [Google Scholar] [CrossRef]
- Mtzler, C.; Murk, A. Complex Dielectric Constant of Dry Sand in the 0.1 to 2 GHz Range; Institute of Applied Physics, University of Bern: Bern, Switzerland, 2010. [Google Scholar]
- Gilbert Bennett, C.D. Understanding the Significance of Radiometric Calibration for SAR Imagery: A Radar Equation Perspective. In Proceedings of the 2014 IEEE 27th Canadian Conference on Electrical and Computer Engineering (CCECE), Toronto, ON, Canada, 4–7 May 2014. [Google Scholar]
- El-Darymli, K.; Mcguire, P.; Gill, E.W.; Power, D.; Moloney, C. Understanding the significance of radiometric calibration for Synthetic Aperture Radar Imagery. In Proceedings of the 2014 IEEE 27th Canadian Conference on Electrical and Computer Engineering (CCECE), Toronto, ON, Canada, 4–7 May 2014. [Google Scholar]
- Farr, T.G.; Elachi, C.; Hartl, P.; Chowdhury, K. Microwave Penetration and Attenuation in Desert Soil: A Field Experiment with the Shuttle Imaging Radar. IEEE Trans. Geosci. Remote Sens. 1986, GE-24, 590–594. [Google Scholar] [CrossRef] [Green Version]












| InSAR in Different Band | |
|---|---|
| X-band | |
| L-band | , , |
| Items | Value |
|---|---|
| Orbit Height (km) | 607 |
| Orbit semi major axis (km) | 6978 |
| Frequency (GHz) | 1.26 |
| Antenna length (m) | 10 |
| Orbit inclination (deg.) | 97.8 |
| Baseline calibration requirement (mm) | 6 |
| Relative height accuracy (m) | 5 |
| Items | Value |
|---|---|
| Ground range resolution (m) | 3 |
| Azimuth resolution (m) | 3 |
| Baseline length (km) | 4–6 |
| Incident angle (deg.) | 20–46 |
| Swath Width (km) | 50 |
Publisher’s Note: MDPI stays neutral with regard to jurisdictional claims in published maps and institutional affiliations. |
© 2021 by the authors. Licensee MDPI, Basel, Switzerland. This article is an open access article distributed under the terms and conditions of the Creative Commons Attribution (CC BY) license (https://creativecommons.org/licenses/by/4.0/).
Share and Cite
Qi, Y.; Wang, Y.; Hong, J.; Du, S. Additional Reference Height Error Analysis for Baseline Calibration Based on a Distributed Target DEM in TwinSAR-L. Remote Sens. 2021, 13, 2750. https://doi.org/10.3390/rs13142750
Qi Y, Wang Y, Hong J, Du S. Additional Reference Height Error Analysis for Baseline Calibration Based on a Distributed Target DEM in TwinSAR-L. Remote Sensing. 2021; 13(14):2750. https://doi.org/10.3390/rs13142750
Chicago/Turabian StyleQi, Yang, Yu Wang, Jun Hong, and Shaoyan Du. 2021. "Additional Reference Height Error Analysis for Baseline Calibration Based on a Distributed Target DEM in TwinSAR-L" Remote Sensing 13, no. 14: 2750. https://doi.org/10.3390/rs13142750
APA StyleQi, Y., Wang, Y., Hong, J., & Du, S. (2021). Additional Reference Height Error Analysis for Baseline Calibration Based on a Distributed Target DEM in TwinSAR-L. Remote Sensing, 13(14), 2750. https://doi.org/10.3390/rs13142750

