Assessment of the Homogeneity of Long-Term Multi-Mission RO-Based Temperature Climatologies
Abstract
1. Introduction
2. Data and Methods
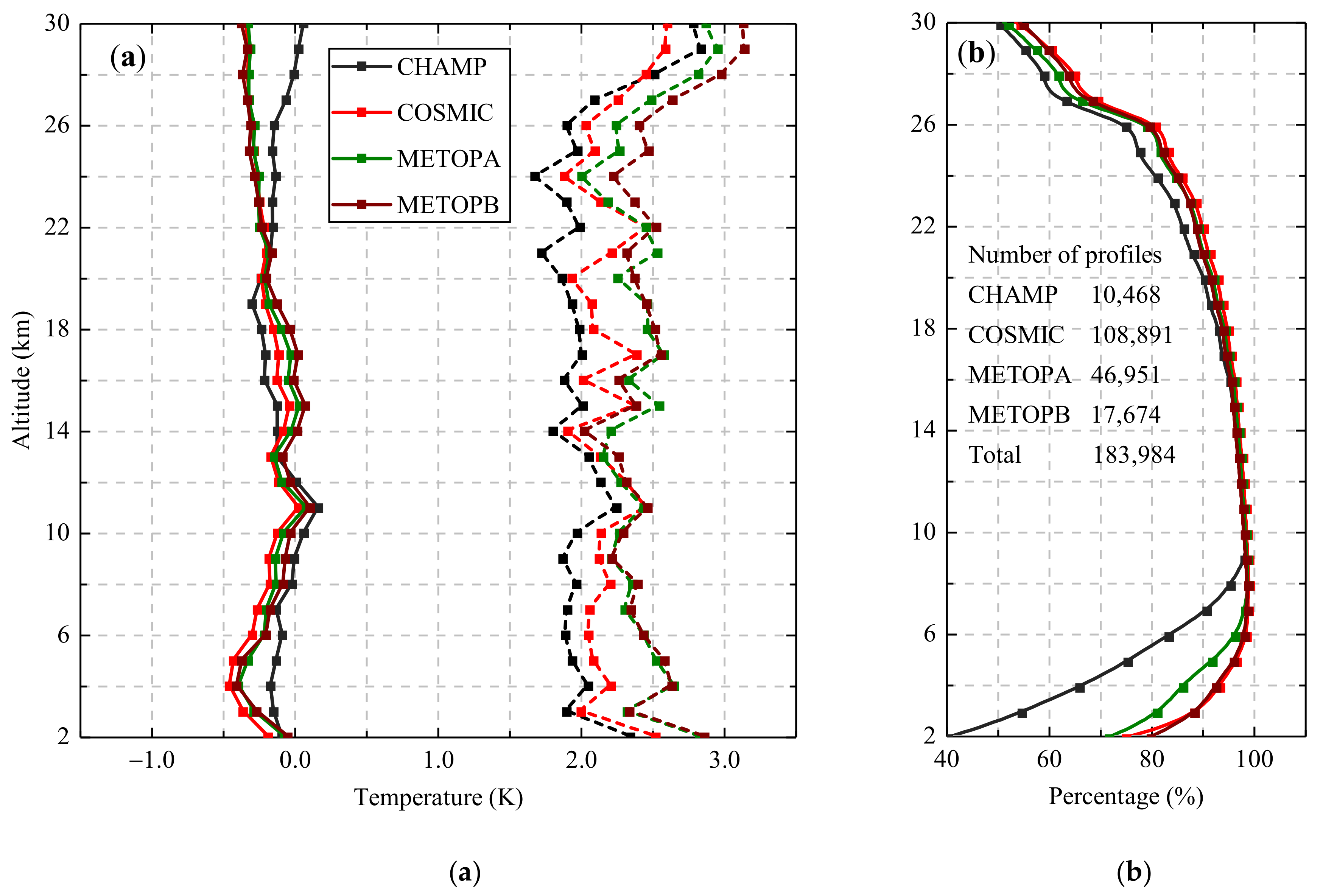
2.1. RO and Radiosonde Data
- The CHAMP satellite was designed and managed by GeoForschungsZentrum Potsdam and launched into an almost circular orbit in July 2000 with an orbital altitude of 454 km and an inclination of 87.2°. The BlackJack RO receiver aboard the satellite, which was developed by NASA’s Jet Propulsion Laboratory (JPL), can track GPS L2 signals from which continuous RO observations can be obtained. From March 2001 to October 2008, the CHAMP satellite provided about 250 RO atmospheric profiles per day [21,22,23]. In this study, wet atmospheric temperature profiles from the CHAMP2016 re-processed dataset from 19 May 2001 to 26 July 2008 were used.
- The COSMIC constellation consists of six LEO satellites and is a collaborative project of the Taiwan National Space Organization and the University Corporation for Atmospheric Research. The six satellites were first launched into their parking orbit at an altitude of 512 km in July 2006 and then gradually dispersed into their final orbits at an altitude of about 800 km and an inclination of 72° with an ascending node separation longitude of 30° (the FM-3 satellite was maintained at an orbit altitude of 711 km due to a solar array drive mechanism problem) [24]. All six satellites carry the Integrated GPS Occultation Receiver developed at the JPL, which tracks both setting and rising events. During its optimal working time (about 2007−2010), the COSMIC constellation provided more than 2000 atmospheric profiles per day [8,25], and in this study, we investigated the atmospheric profiles of the COSMIC2013 dataset collected for the period from 01 January 2007 to 31 December 2011.
- The Metop series, operated by the European Organization for the Exploitation of Meteorological Satellite, is Europe’s first polar-orbiting operational meteorological satellite series and is dedicated to providing data for climate and environmental monitoring and the improvement of weather forecasting [26]. As the first and second satellites of the Metop series, Metop-A and Metop-B were launched into the Sun-synchronous orbit in October 2006 and September 2012 with orbital altitudes of 820 and 806 km, respectively, and with the same orbital inclination of 98.74°. Both satellites are equipped with a GNSS Receiver for Atmospheric Sounding, which can simultaneously track two rising and two setting RO events, providing about 700 RO events per day. In this study, we used the atmospheric profiles from the MetopA2016 and MetopB2016 datasets in the periods from 01 October 2007 to 31 December 2015 and from 01 February 2013 to 31 December 2015, respectively.
2.2. Profile-to-Profile Comparison Methods
2.3. Setup of the Monthly Mean RO- and Radiosonde-Based Temperature Climatologies
3. Results
3.1. Profile-to-Profile Comparison Results
3.1.1. Comparison between RO and Radiosonde
3.1.2. Comparison between Different RO Missions
- CHAMPCOSMIC. In the high latitude region (60°N–90°N and 90°S–60°S, Figure 4b,f), between 2 and 15 km, the temperature differences between the CHAMP and COSMIC missions are very small at an altitude of 2 km and increase with height, reaching their peak value of about 0.2 K at 9–11 km before decreasing at higher altitudes. Between 15 and 25 km, the difference is less than 0.1 K, and above 25 km, small negative differences are observed, with the minimum values being about −0.2 K in the Southern Hemisphere. At latitudes between 20°N/S and 60°N/S (Figure 4c,e), the temperature difference is about 0–0.1 K at an altitude of 2 km. This increases as the altitude increases, reaches a maximum value of about 0.3 K at 4 km, and then decreases to an altitude of 8 km. At altitudes between 9 and 20 km, the differences are dominated by positive values with values varying from 0 to 0.1 K; above 20 km, the differences increase as the altitude increases, reaching about 0.2 K at 26 km. In the tropical band (20°S–60°N, Figure 4d), large positive differences are observed below 7 km, reaching a maximum value of about 0.6 K. At altitudes between 8 and 20 km, most of the temperature differences are within the range of 0–0.1 K. Above 20 km, the differences increase with altitude, and the maximum difference is about 0.3 K at around 26 km.
- Metop-ACOSMIC. In the middle and high latitude regions (20°N/S–90°N/S, Figure 4b–f), the differences between Metop-A and COSMIC are dominated by positive values over 2–8 km, with values varying between 0.1 and 0.2 K. Above an altitude of 8 km, the differences fall into the range of 0–0.1 K. In the tropical band, the temperature difference is about −0.1 K at 2 km. It reaches its maximum at 5 km with a value of about 0.3 K and then decreases as the altitude increases to 9 km. At altitudes between 10 and 20 km, the difference is 0.1 K. At altitudes above 20 km, the difference increases as the altitude increases and reaches a maximum of about 0.15 K at 30 km.
- Metop-AMetop-B. The mean-difference profiles between the Metop-A and Metop-B missions show similar structures in six latitudinal bands. Their values maintain high consistency at most altitude levels, with most values 0.1 K.Overall, the temperature profiles from the COSMIC and Metop missions show good agreement for most altitudes, while noticeable discrepancies can be observed for CHAMP temperature profiles, especially in the lower troposphere.
3.2. Comparison between RO- and Radiosonde-Based Climatologies
4. Discussion
4.1. Analysis of the Reasons for Temporal Mean Shifts in RO-Based Climatologies
4.1.1. Inhomogeneities in Radiosonde-Based Climatologies
4.1.2. Systematic Discrepancies between the Multi-Mission RO Temperature Profiles
4.1.3. Residual Sampling Error and Different Numbers of RO Profiles
4.2. Influences of the Temporal Mean Shifts on the Application of RO-Based Climatologies in Climate Studies
5. Conclusions
Author Contributions
Funding
Institutional Review Board Statement
Informed Consent Statement
Data Availability Statement
Acknowledgments
Conflicts of Interest
References
- Eshleman, V.; Fjeldbo, G. The Atmosphere of Mars Analyzed by Integral Inversion of the Mariner 6 Occultation Data Final Report; NASA: Washington, DC, USA, 1967. [Google Scholar]
- Fjeldbo, G.; Eshleman, V.R. Atmosphere of Venus as studied with the Mariner 5 dual radio-frequency occultation experiment. Radio Sci. 1969, 4, 879–897. [Google Scholar] [CrossRef]
- Hocke, K. Inversion of GPS meteorology data. Ann. Geophys. 1997, 15, 443–450. [Google Scholar] [CrossRef][Green Version]
- Smith, E.; Weintraub, S. The constants in the equation for atmospheric refractive index at radio frequencies. Proc. IRE 1953, 50, 1035–1037. [Google Scholar] [CrossRef]
- Pirscher, B. Multi-Satellite Climatologies of Fundamental Atmospheric Variables from Radio Occulation and Their Validation. Ph.D. Thesis, University of Graz, Graz, Austria, 2010. [Google Scholar]
- Gorbunov, M.E.; Kornblueh, L. Analysis and validation of GPS/MET radio occultation data. J. Geophys. Res. Atmos. 2001, 106, 17161–17169. [Google Scholar] [CrossRef]
- Reigber, C.; Lühr, H.; Schwintzer, P. CHAMP mission status. Adv. Space Res. 2002, 30, 129–134. [Google Scholar] [CrossRef]
- Anthes, R.A.; Bernhardt, P.A.; Chen, Y.; Cucurull, L.; Dymond, K.F.; Ector, D.; Healy, S.B.; Ho, S.P.; Hunt, D.C.; Kuo, Y.H.; et al. The COSMIC/FORMOSAT-3 mission: Early results. Bull. Am. Meteor. Soc. 2008, 89, 313–334. [Google Scholar] [CrossRef]
- Schreiner, W.; Sokolovskiy, S.; Hunt, D.; Rocken, C.; Kuo, Y.-H. Analysis of GPS radio occultation data from the FORMOSAT-3/COSMIC and Metop/GRAS missions at CDAAC; 1867–1381. Atmos. Meas. Tech. 2011, 4, 2255–2272. [Google Scholar] [CrossRef]
- Scherllin-Pirscher, B.; Steiner, A.K.; Kirchengast, G.; Schwärz, M.; Leroy, S. The power of vertical geolocation of atmospheric profiles from GNSS radio occultation: Power of RO vertical geolocation. J. Geophys. Res. Atmos. 2017, 122, 1595–1616. [Google Scholar] [CrossRef]
- Zhou, W.; Yang, S.; Jiang, X.; Guo, Q. Estimating planetary boundary layer height over the Tibetan Plateau using COSMIC radio occultation data. Acta Meteorol. Sin. 2018, 76, 117–133. [Google Scholar]
- Rieckh, T.; Anthes, R.; Randel, W.; Ho, S.P.; Foelsche, U. Tropospheric dry layers in the tropical western Pacific: Comparisons of GPS radio occultation with multiple data sets. Atmos. Meas. Tech. 2017, 10, 1093–1110. [Google Scholar] [CrossRef]
- Schreiner, W.S.; Weiss, J.P.; Anthes, R.A.; Braun, J.; Chu, V.; Fong, J.; Hunt, D.; Kuo, Y.H.; Meehan, T.; Serafino, W.; et al. COSMIC-2 radio occultation constellation: First results. Geophys. Res. Lett. 2020, 47, e2019GL086841. [Google Scholar] [CrossRef]
- Foelsche, U.; Scherllin-Pirscher, B.; Ladstadter, F.; Steiner, A.K.; Kirchengast, G. Refractivity and temperature climate records from multiple radio occultation satellites consistent within 0.05%. Atmos. Meas. Tech. 2011, 4, 2007–2018. [Google Scholar] [CrossRef]
- Steiner, A.K.; Hunt, D.; Ho, S.P.; Kirchengast, G.; Mannucci, A.J.; Scherllin-Pirscher, B.; Gleisner, H.; von Engeln, A.; Schmidt, T.; Ao, C.; et al. Quantification of structural uncertainty in climate data records from GPS radio occultation. Atmos. Chem. Phys. 2013, 13, 1469–1484. [Google Scholar] [CrossRef]
- Angerer, B.; Ladstadter, F.; Scherllin-Pirscher, B.; Schwärz, M.; Steiner, A.K.; Foelsche, U.; Kirchengast, G. Quality aspects of the Wegener Center multi-satellite GPS radio occultation record OPSv5. 6. Atmos. Meas. Tech. 2017, 10, 4845–4863. [Google Scholar] [CrossRef]
- Steiner, A.K.; Ladstadter, F.; Ao, C.O.; Gleisner, H.; Ho, S.-P.; Hunt, D.; Schmidt, T.; Foelsche, U.; Kirchengast, G.; Kuo, Y.-H.; et al. Consistency and structural uncertainty of multi-mission GPS radio occultation records. Atmos. Meas. Tech. 2020, 13, 2547–2575. [Google Scholar] [CrossRef]
- Gleisner, H.; Lauritsen, K.B.; Nielsen, J.K.; Syndergaard, S. Evaluation of the 15-year ROM SAF monthly mean GPS radio occultation climate data record. Atmos. Meas. Tech. 2020, 13, 3081–3098. [Google Scholar] [CrossRef]
- Steiner, A.K.; Ladstadter, F.; Randel, W.J.; Maycock, A.C.; Fu, Q.; Claud, C.; Gleisner, H.; Haimberger, L.; Ho, S.P.; Keckhut, P.; et al. Observed temperature changes in the troposphere and stratosphere from 1979 to 2018. J. Clim. 2020, 33, 8165–8194. [Google Scholar] [CrossRef]
- Zhang, K.; Fu, E.; Silcock, D.; Wang, Y.; Kuleshov, Y. An investigation of atmospheric temperature profiles in the Australian region using collocated GPS radio occultation and radiosonde data. Atmos. Meas. Tech. 2011, 4, 2087–2092. [Google Scholar] [CrossRef]
- Kuo, Y.H.; Wee, T.K.; Sokolovskiy, S.; Rocken, C.; Schreiner, W.; Hunt, D.; Anthes, R.A. Inversion and error estimation of GPS radio occultation data. J. Meteorol. Soc. Jpn. 2004, 82, 507–531. [Google Scholar] [CrossRef]
- Wickert, J.; Reigber, C.; Beyerle, G.; König, R.; Marquardt, C.; Schmidt, T.; Grunwaldt, L.; Galas, R.; Meehan, T.K.; Melbourne, W.G. Atmosphere sounding by GPS radio occultation: First results from CHAMP. Geophys. Res. Lett. 2001, 28, 3263–3266. [Google Scholar] [CrossRef]
- Wickert, J. Comparison of Vertical Refractivity and Temperature Profiles from Champ with Radiosonde Measurements; GeoForschungsZentrum: Potsdam, Germany, 2004. [Google Scholar]
- Fong, C.J.; Whiteley, D.; Yang, E.; Cook, K.; Chu, V.; Schreiner, B.; Ector, D.; Wilczynski, P.; Liu, T.Y.; Yen, N. Space and ground segment performance and lessons learned of the FORMOSAT-3/COSMIC mission: Four years in orbit. Atmos. Meas. Tech. 2011, 4, 1115–1132. [Google Scholar] [CrossRef]
- Ho, S.P.; Anthes, R.A.; Ao, C.O.; Healy, S.; Horanyi, A.; Hunt, D.; Mannucci, A.J.; Pedatella, N.; Randel, W.J.; Simmons, A.; et al. The COSMIC/FORMOSAT-3 radio occultation mission after 12 Years: Accomplishments, remaining challenges, and potential impacts of COSMIC-2. Bull. Am. Meteor. Soc. 2020, 101, E1107–E1136. [Google Scholar] [CrossRef]
- Luntama, J.P.; Kirchengast, G.; Borsche, M.; Foelsche, U.; Steiner, A.; Healy, S.; von Engeln, A.; O’Clerigh, E.; Marquardt, C. Prospects of the Eps Gras mission for operational atmospheric applications. Bull. Am. Meteor. Soc. 2008, 89, 1863–1875. [Google Scholar] [CrossRef]
- Gilpin, S.; Rieckh, T.; Anthes, R. Reducing representativeness and sampling errors in radio occultation–radiosonde comparisons. Atmos. Meas. Tech. 2018, 11, 2567–2582. [Google Scholar] [CrossRef]
- Nafisi, V.; Urquhart, L.; Santos, M.C.; Nievinski, F.G.; Böhm, J.; Wijaya, D.D.; Schuh, H.; Ardalan, A.A.; Hobiger, T.; Ichikawa, R.; et al. Comparison of ray-tracing packages for troposphere delays. IEEE Trans. Geosci. Remote Sensi. 2012, 50, 469–481. [Google Scholar] [CrossRef]
- Borsche, M.; Gobiet, A.; Steiner, A.K.; Foelsche, U.; Kirchengast, G.; Schmidt, T.; Wickert, J. Pre-operational retrieval of radio occultation based climatologies. In Atmosphere and Climate; Foelsche, U., Kirchengast, G., Steiner, A., Eds.; Springer: Berlin/Heidelberg, Germany, 2006; pp. 315–323. [Google Scholar]
- Foelsche, U.; Gobiet, A.; Steiner, A.K.; Borsche, M.; Wickert, J.; Schmidt, T.; Kirchengast, G. Global climatologies based on radio occultation data: The CHAMPCLIM project. In Atmosphere and Climate; Foelsche, U., Kirchengast, G., Steiner, A., Eds.; Springer: Berlin/Heidelberg, Germany, 2006; pp. 303–314. [Google Scholar]
- Foelsche, U.; Kirchengast, G.; Borsche, M.; Pirscher, B.; Steiner, A. Creating a Consistent Radio Occultation Data Base for Climate Studies in the Upper Troposphere and Lower Stratosphere. In Proceedings of the ECMWF GRAS-SAF Workshop on Applications of RO Measurements, Graz, Austria, 16–18 June 2008; pp. 151–165. [Google Scholar]
- Leroy, S.; Ao, C.O.; Verkhoglyadova, O. Mapping GPS radio occultation data by Bayesian interpolation. J. Atmos. Oceanic Technol. 2012, 29, 1062–1074. [Google Scholar] [CrossRef]
- Shen, Z.; Zhang, K.; He, Q.; Wan, M.; Li, L.; Wu, S. Quest over the sampling error of COSMIC radio occultation temperature climatologies. J. Atmos. Oceanic Technol. 2021, 38, 441–458. [Google Scholar] [CrossRef]
- Berrisford, P.; Dee, D.; Fielding, K.; Fuentes, M.; Kallberg, P.; Kobayashi, S.; Uppala, S. The ERA-Interim Archive; European Centre for Medium-Range Weather Forecasts: Reading, UK, 2009; p. 16. [Google Scholar]
- Foelsche, U.; Kirchengast, G.; Steiner, A.K. Global climate monitoring based on CHAMP/GPS radio occultation data. In First CHAMP Mission Results for Gravity, Magnetic and Atmospheric Studies; Reigber, C., Lühr, H., Schwintzer, P., Eds.; Springer: Berlin/Heidelberg, Germany, 2003; pp. 397–407. [Google Scholar]
- Pirscher, B.; Foelsche, U.; Lackner, B.; Kirchengast, G. Local time influence in single-satellite radio occultation climatologies from Sun-synchronous and non-Sun-synchronous satellites. J. Geophys. Res. Atmos. 2007, 112, D11119. [Google Scholar] [CrossRef]
- Foelsche, U.; Pirscher, B.; Borsche, M.; Steiner, A.K.; Kirchengast, G.; Rocken, C. Climatologies based on radio occultation data from CHAMP and Formosat-3/COSMIC. In New Horizons in Occultation Research: Studies in Atmosphere and Climate; Steiner, A., Pirscher, B., Foelsche, U., Kirchengast, G., Eds.; Springer: Berlin/Heidelberg, Germany, 2009; pp. 181–194. [Google Scholar]
- Ladstadter, F.; Steiner, A.K.; Foelsche, U.; Haimberger, L.; Tavolato, C.; Kirchengast, G. An assessment of differences in lower stratospheric temperature records from (A)MSU, radiosondes, and GPS radio occultation. Atmos. Meas. Tech. 2011, 4, 1965–1977. [Google Scholar] [CrossRef]
- Wickert, J.; Michalak, G.; Schmidt, T.; Beyerle, G.; Cheng, C.Z.; Healy, S.B.; Heise, S.; Huang, C.Y.; Jakowski, N.; Köhler, W.; et al. GPS radio occultation: Results from CHAMP, GRACE and FORMOSAT-3/COSMIC. Terr. Atmos. Ocean. Sci. 2009, 20, 35–50. [Google Scholar] [CrossRef]
- Benzon, H.H. Wave propagation simulation of radio occultations based on ECMWF refractivity profiles. Radio Sci. 2015, 50, 778–788. [Google Scholar] [CrossRef]
- Li, Y.; Yuan, Y.; Wang, X. Assessments of the retrieval of atmospheric profiles from GNSS Radio occultation data in moist tropospheric conditions using Radiosonde Data. Remote Sens. 2020, 12, 2717. [Google Scholar] [CrossRef]
- Ho, S.; Peng, L.; Vömel, H. Characterization of the long-term radiosonde temperature biases in the upper troposphere and lower stratosphere using COSMIC and Metop-A/GRAS data from 2006 to 2014. Atmos. Chem. Phys. 2017, 17, 4493–4511. [Google Scholar] [CrossRef]
- Wang, X.L.; Wen, Q.H.; Wu, Y. Penalized maximalt test for detecting undocumented mean change in climate data series. J. Appl. Meteorol. Climatol. 2007, 46, 916–931. [Google Scholar] [CrossRef]
- Wang, X.L. Accounting for autocorrelation in detecting mean shifts in climate data series using the penalized maximal t or F Test. J. Appl. Meteorol. Climatol. 2008, 47, 2423–2444. [Google Scholar] [CrossRef]
- Healy, S.B.; Eyre, J.R. Retrieving temperature, water vapour and surface pressure information from refractive-index profiles derived by radio occultation: A simulation study. Quart. J. Royal Meteorol. Soc. 2000, 126, 1661–1683. [Google Scholar] [CrossRef]
- Untch, A.; Miller, M.; Hortal, M.; Buizza, R.; Janssen, P. Towards a global meso-scale model: The high resolution system T799L91 and T399L62 EPS. ECMWF Newsl. 2006, 108, 6–13. [Google Scholar]
- Gobiet, A.; Kirchengast, G. Advancements of global navigation satellite system radio occultation retrieval in the upper stratosphere for optimal climate monitoring utility. J. Geophys. Res. 2004, 109. [Google Scholar] [CrossRef]











| Missions | Period for comparison | Number of Co-Located Profiles |
|---|---|---|
| CHAMP – COSMIC | 1 June 2007– 26 August 2008 | 28,026 |
| Metop-A – COSMIC | 1 October 2007– 31 December 2011 | 220,362 |
| Metop-A – Metop-B | 1 October 2007– 31 December 2011 | 100,852 |
| Latitude Range | Altitude [km] | Mean Temperature Differences (Standard Deviation) [K] | ||
|---|---|---|---|---|
| CHAMP – COSMIC | METOPA – COSMIC | METOPA – METOPB | ||
| 90°S–90°N | 4 | 0.23 (2.00) | 0.09 (2.38) | 0.01 (2.36) |
| 14 | 0.06 (1.42) | 0.00 (1.55) | 0.00 (1.63) | |
| 26 | 0.14 (1.79) | 0.04 (1.86) | −0.01 (1.77) | |
| 60°N–90°N | 4 | 0.05 (1.96) | 0.03 (2.40) | 0.00 (2.50) |
| 14 | 0.03 (1.36) | 0.02 (1.39) | 0.00 (1.60) | |
| 26 | 0.01 (1.85) | 0.04 (1.86) | −0.01 (1.72) | |
| 20°N–60°N | 4 | 0.31 (2.02) | 0.11 (2.36) | 0.04 (2.31) |
| 14 | 0.07 (1.49) | 0.00 (1.58) | 0.02 (1.66) | |
| 26 | 0.21 (1.65) | 0.04 (1.78) | 0.00 (1.74) | |
| 20°S–20°N | 4 | 0.56 (1.18) | 0.08 (1.38) | 0.00 (1.48) |
| 14 | 0.11 (0.91) | 0.05 (0.96) | −0.01 (1.08) | |
| 26 | 0.29 (1.71) | 0.09 (1.74) | 0.01 (1.75) | |
| 60°S–20°S | 4 | 0.25 (2.20) | 0.11 (2.57) | −0.01 (2.53) |
| 14 | 0.05 (1.59) | 0.01 (1.69) | −0.01 (1.72) | |
| 26 | 0.20 (1.84) | 0.05 (1.92) | −0.02 (1.77) | |
| 90°S–60°S | 4 | 0.08 (2.04) | 0.08 (2.42) | −0.01 (2.50) |
| 14 | 0.06 (1.41) | −0.05 (1.65) | 0.00 (1.78) | |
| 26 | −0.06 (1.85) | 0.00 (1.99) | −0.02 (1.92) | |
| Altitude Ranges | Number of Series Containing N Mean Shifts | Total | |||
|---|---|---|---|---|---|
| N = 0 | N = 1 | N = 2 | N ≥ 3 | ||
| Lower troposphere | 879 (61.8%) | 464 (32.7%) | 41 (2.9%) | 37 (2.6%) | 1421 |
| UTLS region | 1950 (80.1%) | 397 (16.3%) | 67 (2.8%) | 22 (1.0%) | 2436 |
| High-altitude region | 1496 (73.7%) | 457 (22.5%) | 51 (2.5%) | 26 (1.3%) | 2030 |
| Total | 4325 (73.5%) | 1318 (22.4%) | 159 (2.7%) | 85 (1.4%) | 5887 |
Publisher’s Note: MDPI stays neutral with regard to jurisdictional claims in published maps and institutional affiliations. |
© 2021 by the authors. Licensee MDPI, Basel, Switzerland. This article is an open access article distributed under the terms and conditions of the Creative Commons Attribution (CC BY) license (https://creativecommons.org/licenses/by/4.0/).
Share and Cite
Shen, Z.; Zhang, K.; Zhu, D.; He, Q.; Wan, M.; Li, L.; Wu, S. Assessment of the Homogeneity of Long-Term Multi-Mission RO-Based Temperature Climatologies. Remote Sens. 2021, 13, 2278. https://doi.org/10.3390/rs13122278
Shen Z, Zhang K, Zhu D, He Q, Wan M, Li L, Wu S. Assessment of the Homogeneity of Long-Term Multi-Mission RO-Based Temperature Climatologies. Remote Sensing. 2021; 13(12):2278. https://doi.org/10.3390/rs13122278
Chicago/Turabian StyleShen, Zhen, Kefei Zhang, Dantong Zhu, Qimin He, Moufeng Wan, Longjiang Li, and Suqin Wu. 2021. "Assessment of the Homogeneity of Long-Term Multi-Mission RO-Based Temperature Climatologies" Remote Sensing 13, no. 12: 2278. https://doi.org/10.3390/rs13122278
APA StyleShen, Z., Zhang, K., Zhu, D., He, Q., Wan, M., Li, L., & Wu, S. (2021). Assessment of the Homogeneity of Long-Term Multi-Mission RO-Based Temperature Climatologies. Remote Sensing, 13(12), 2278. https://doi.org/10.3390/rs13122278

