Assessing Performance of Vegetation Indices to Estimate Nitrogen Nutrition Index in Pepper
Abstract
1. Introduction
2. Material and Methods
2.1. Site and Experimental Design
2.2. Canopy Reflectance with Optical Sensors
2.3. Crop Sampling and NNI Determination
2.4. Data Analysis
3. Results
3.1. Phenological Relationships Between Integrated Vegetation Indices and Integrated NNI (NNIi), for Calibration Dataset
3.2. Validation of the Phenological Relationships Between Vegetation Indices and NNIi
3.3. Performance of Vegetation Indices
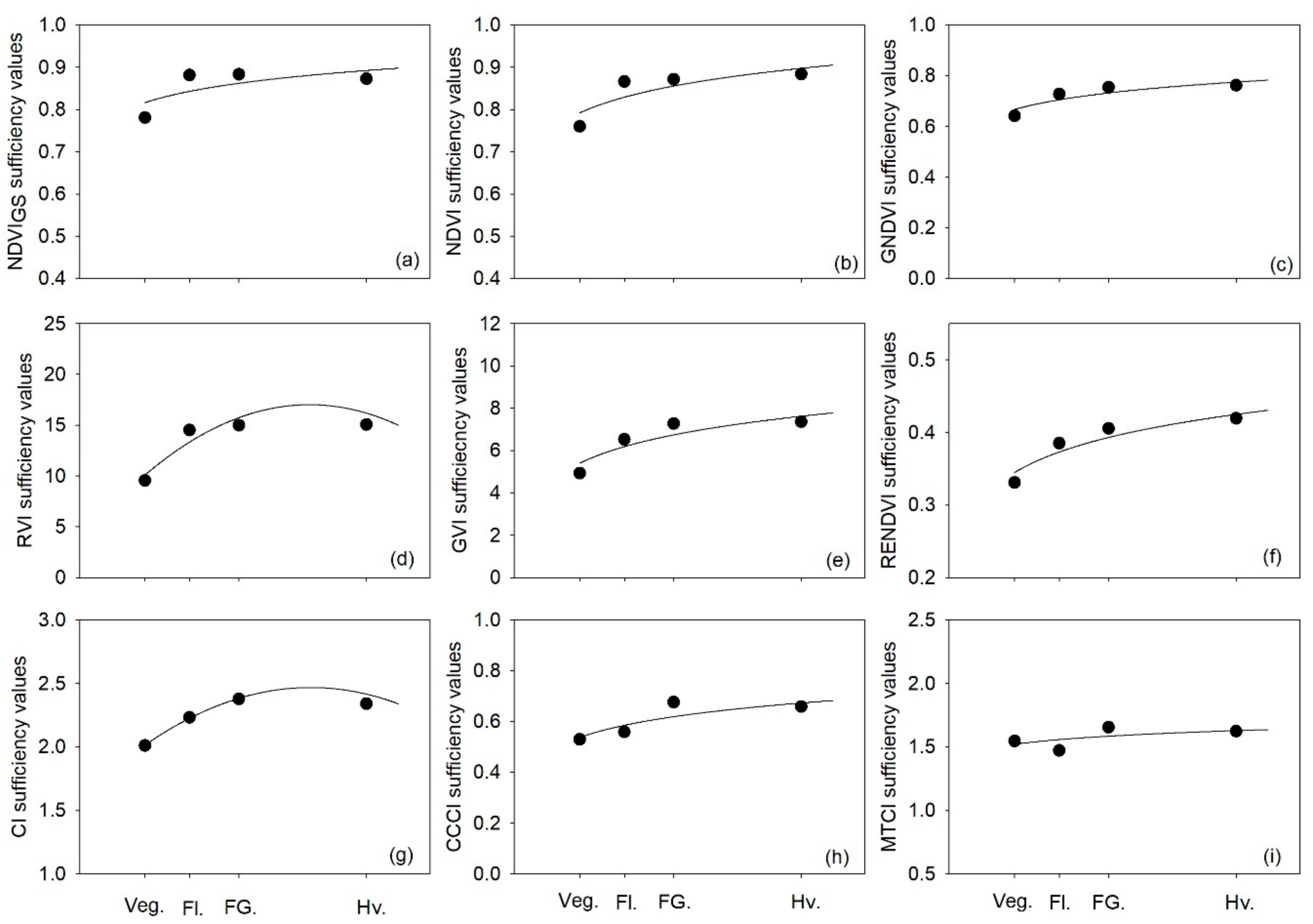
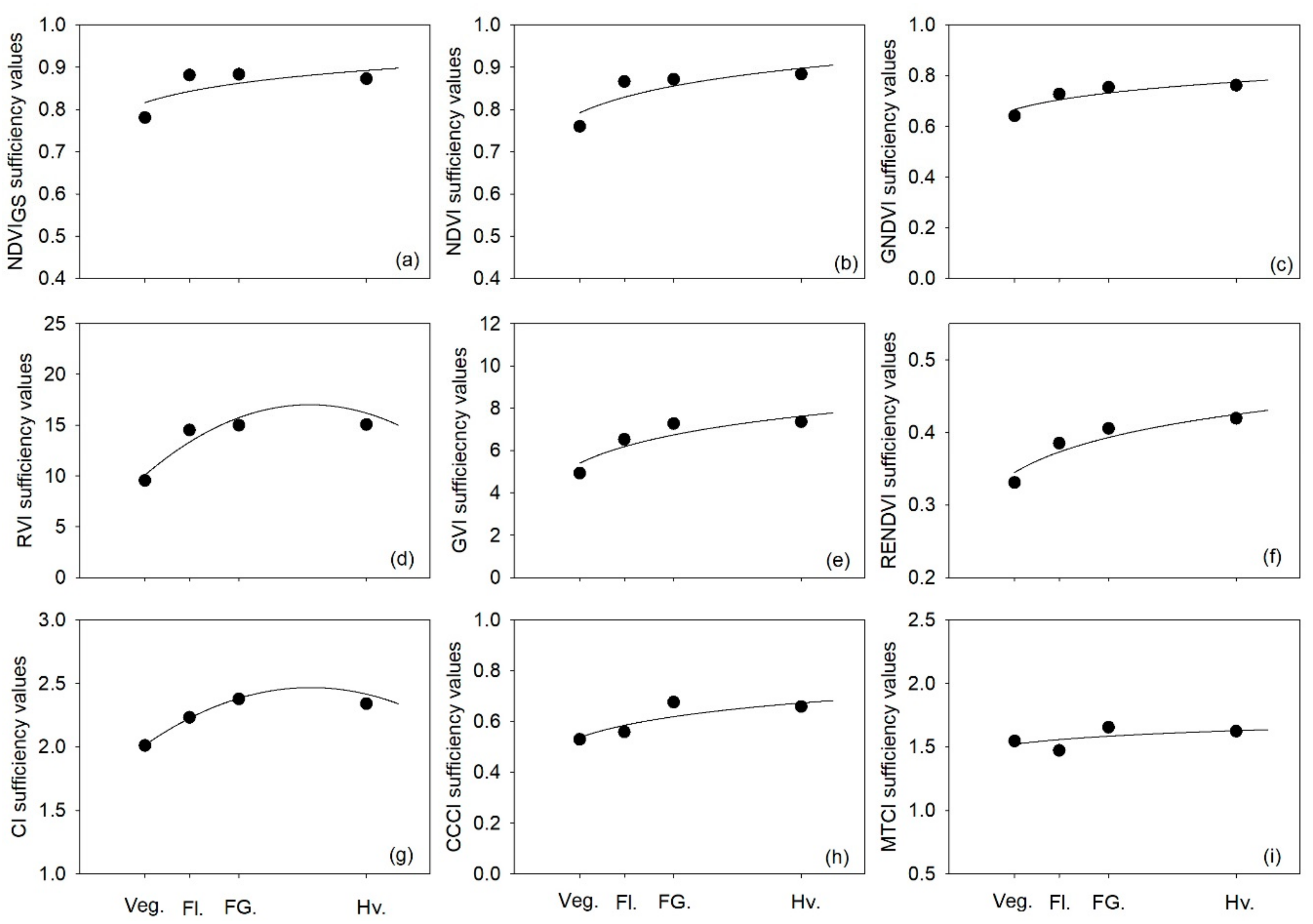
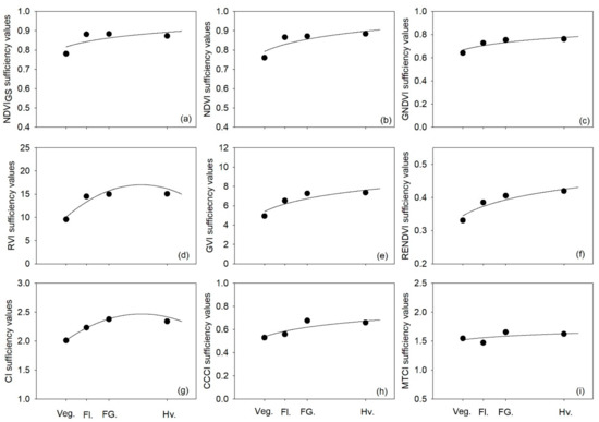
3.4. Sufficiency Values of Vegetation Indices
4. Discussion
5. Conclusions
Author Contributions
Funding
Acknowledgments
Conflicts of Interest
References
- Hartz, T.K. Vegetable production best management practices to minimize nutrient loss. Horttechnology 2006, 16, 398–403. [Google Scholar] [CrossRef]
- Thompson, R.B.; Martínez-Gaitan, C.; Gallardo, M.; Giménez, C.; Fernández, M.D. Identification of irrigation and N management practices that contribute to nitrate leaching loss from an intensive vegetable production system by use of a comprehensive survey. Agric. Water Manag. 2007, 89, 261–274. [Google Scholar] [CrossRef]
- Thompson, R.B.; Tremblay, N.; Fink, M.; Gallardo, M.; Padilla, F.M. Tools and strategies for sustainable nitrogen fertilisation of vegetable crops. In Advances in Research on Fertilization Management in Vegetable Crops; Tei, F., Nicola, S., Benincasa, P., Eds.; Springer: Berlin/Heidelberg, Germany, 2017; pp. 11–63. [Google Scholar]
- Congreves, K.A.; Van Eerd, L.L. Nitrogen cycling and management in intensive horticultural systems. Nutr. Cycl. Agroecosystems 2015, 102, 299–318. [Google Scholar] [CrossRef]
- Padilla, F.M.; Gallardo, M.; Manzano-Agugliaro, F. Global trends in nitrate leaching research in the 1960–2017 period. Sci. Total Environ. 2018, 643, 400–413. [Google Scholar] [CrossRef] [PubMed]
- Zotarelli, L.; Dukes, M.D.; Scholberg, J.M.S.; Muñoz-Carpena, R.; Icerman, J. Tomato nitrogen accumulation and fertilizer use efficiency on a sandy soil, as affected by nitrogen rate and irrigation scheduling. Agric. Water Manag. 2009, 96, 1247–1258. [Google Scholar] [CrossRef]
- Ju, X.T.; Kou, C.L.; Zhang, F.S.; Christie, P. Nitrogen balance and groundwater nitrate contamination: Comparison among three intensive cropping systems on the North China Plain. Environ. Pollut. 2006, 143, 117–125. [Google Scholar] [CrossRef] [PubMed]
- Soto, F.; Gallardo, M.; Thompson, R.B.; Peña-Fleitas, M.T.; Padilla, F.M. Consideration of total available N supply reduces N fertilizer requirement and potential for nitrate leaching loss in tomato production. Agric. Ecosyst. Environ. 2015, 200, 62–70. [Google Scholar] [CrossRef]
- Zhu, J.H.; Li, X.L.; Christie, P.; Li, J.L. Environmental implications of low nitrogen use efficiency in excessively fertilized hot pepper (Capsicum frutescens L.) cropping systems. Agric. Ecosyst. Environ. 2005, 111, 70–80. [Google Scholar] [CrossRef]
- Meisinger, J.J.; Schepers, J.S.; Raun, W.R. Crop Nitrogen Requirement and Fertilization. Nitrogen Agric. Syst. 2008, 563–612. [Google Scholar] [CrossRef]
- Fox, R.H.; Walthall, C.L. Crop monitoring technologies to assess nitrogen status. In Nitrogen in Agricultural Systems, Agronomy Monograph No. 49; Schepers, J.S., Raun, W.R., Eds.; American Society of Agronomy: Madison, WI, USA; Crop Science Society of America: Madison, WI, USA; Soil Science Society of America: Madison, WI, USA, 2008; pp. 647–674. [Google Scholar]
- Yao, X.; Yao, X.; Jia, W.; Tian, Y.; Ni, J.; Cao, W.; Zhu, Y. Comparison and intercalibration of vegetation indices from different sensors for monitoring above-ground plant nitrogen uptake in winter wheat. Sensors 2013, 13, 3109–3130. [Google Scholar] [CrossRef]
- Mistele, B.; Schmidhalter, U. Estimating the nitrogen nutrition index using spectral canopy reflectance measurements. Eur. J. Agron. 2008, 29, 184–190. [Google Scholar] [CrossRef]
- Hansen, P.M.; Schjoerring, J.K. Reflectance measurement of canopy biomass and nitrogen status in wheat crops using normalized difference vegetation indices and partial least squares regression. Remote Sens. Environ. 2003, 86, 542–553. [Google Scholar] [CrossRef]
- Padilla, F.M.; Gallardo, M.; Peña-Fleitas, M.T.; de Souza, R.; Thompson, R.B. Proximal Optical Sensors for Nitrogen Management of Vegetable Crops: A Review. Sensors 2018, 18, 2083. [Google Scholar] [CrossRef] [PubMed]
- Samborski, S.M.; Tremblay, N.; Fallon, E. Strategies to make use of plant sensors-based diagnostic information for nitrogen recommendations. Agron. J. 2009, 101, 800–816. [Google Scholar] [CrossRef]
- Cammarano, D.; Fitzgerald, G.J.; Casa, R.; Basso, B. Assessing the robustness of vegetation indices to estimate wheat N in mediterranean environments. Remote Sens. 2014, 6, 2827–2844. [Google Scholar] [CrossRef]
- Basso, B.; Fiorentino, C.; Cammarano, D.; Schulthess, U. Variable rate nitrogen fertilizer response in wheat using remote sensing. Precis. Agric. 2015, 17, 168–182. [Google Scholar] [CrossRef]
- Bannari, A.; Morin, D.; Bonn, F.; Huete, A.R. A review of vegetation indices. Remote Sens. Rev. 1995, 13, 95–120. [Google Scholar] [CrossRef]
- Schepers, J.S.; Blackmer, T.M.; Wilhelm, W.W.; Resende, M. Transmittance and reflectance measurements of corn leaves from plants with different nitrogen and water supply. J. Plant Physiol. 1996, 148, 523–529. [Google Scholar] [CrossRef]
- Padilla, F.M.; Peña-Fleitas, M.T.; Gallardo, M.; Thompson, R.B. Determination of sufficiency values of canopy reflectance vegetation indices for maximum growth and yield of cucumber. Eur. J. Agron. 2017, 84. [Google Scholar] [CrossRef]
- Greenwood, D.J.; Gastal, F.; Lemaire, G.; Draycott, A.; Millard, P.; Neeteson, J.J. Growth rate and % N of field grown crops: Theory and experiments. Ann. Bot. 1991, 67, 181–190. [Google Scholar] [CrossRef]
- Lemaire, G.; Jeuffroy, M.H.; Gastal, F. Diagnosis tool for plant and crop N status in vegetative stage. Theory and practices for crop N management. Eur. J. Agron. 2008, 28, 614–624. [Google Scholar] [CrossRef]
- Lemaire, G.; Gastal, F.N. Uptake and Distribution in Plant Canopies. In Diagnosis of the Nitrogen Status in Crops; Springer: Berlin/Heidelberg, Germany, 1997; pp. 3–43. ISBN 978-3-642-64506-8. [Google Scholar]
- Hatfield, J.L.; Gitelson, A.A.; Schepers, J.S.; Walthall, C.L. Application of spectral remote sensing for agronomic decisions. Agron. J. 2008, 100, S117–S131. [Google Scholar] [CrossRef]
- Haboudane, D.; Miller, J.R.; Pattey, E.; Zarco-Tejada, P.J.; Strachan, I.B. Hyperspectral vegetation indices and novel algorithms for predicting green LAI of crop canopies: Modeling and validation in the context of precision agriculture. Remote Sens. Environ. 2004, 90, 337–352. [Google Scholar] [CrossRef]
- Chen, P. A comparison of two approaches for estimating the wheat nitrogen nutrition index using remote sensing. Remote Sens. 2015, 7, 4527–4548. [Google Scholar] [CrossRef]
- Fitzgerald, G.; Rodriguez, D.; O’Leary, G. Measuring and predicting canopy nitrogen nutrition in wheat using a spectral index-The canopy chlorophyll content index (CCCI). Field Crops Res. 2010, 116, 318–324. [Google Scholar] [CrossRef]
- Yu, K.; Li, F.; Gnyp, M.L.; Miao, Y.; Bareth, G.; Chen, X. Remotely detecting canopy nitrogen concentration and uptake of paddy rice in the Northeast China Plain. ISPRS J. Photogramm. Remote Sens. 2013, 78, 102–115. [Google Scholar] [CrossRef]
- Cao, Q.; Miao, Y.; Wang, H.; Huang, S.; Cheng, S.; Khosla, R.; Jiang, R. Non-destructive estimation of rice plant nitrogen status with Crop Circle multispectral active canopy sensor. Field Crops Res. 2013, 154, 133–144. [Google Scholar] [CrossRef]
- Chen, P.; Haboudane, D.; Tremblay, N.; Wang, J.; Vigneault, P.; Li, B. New spectral indicator assessing the efficiency of crop nitrogen treatment in corn and wheat. Remote Sens. Environ. 2010, 114, 1987–1997. [Google Scholar] [CrossRef]
- Pulido-Bosch, A.; Bensi, S.; Molina, L.; Vallejos, A.; Calaforra, J.M.; Pulido-Leboeuf, P. Nitrates as indicators of aquifer interconnection. Application to the Campo de Dalias (SE—Spain). Environ. Geol. 2000, 39, 791–799. [Google Scholar] [CrossRef]
- Cui, M.; Sun, X.; Hu, C.; Di, H.J.; Tan, Q.; Zhao, C. Effective mitigation of nitrate leaching and nitrous oxide emissions in intensive vegetable production systems using a nitrification inhibitor, dicyandiamide. J. Soils Sediments 2011, 11, 722–730. [Google Scholar] [CrossRef]
- Boulard, T.; Raeppel, C.; Brun, R.; Lecompte, F.; Hayer, F.; Carmassi, G.; Gaillard, G. Environmental impact of greenhouse tomato production in France. Agron. Sustain. Dev. 2011, 31, 757–777. [Google Scholar] [CrossRef]
- Abd-El-Baky, H.M.; Ali, S.A.; El-Haddad, Z.; El-Ansary, Z. Some Environmental Parameters Affecting Sweet Pepper Growth and Productivity Under Different Greenhouse Forms in Hot and Humid Climatic Conditions. J. Soil Sci. Agric. Eng. 2010, 1, 225–247. [Google Scholar]
- Junta de Andalucía Cartografía de Invernaderos en el Litorall de Andalucía Oriental. Available online: https://www.juntadeandalucia.es/export/drupaljda/estudios_informes/16/12/CartografiainvernaderosenellitoraldeAndalucíaOriental_v161201.pdf (accessed on 26 November 2019).
- Jadoski, S.; Thompson, R.B.; Peña-Fleitas, M.T.; Gallardo, M. Regional N Balance for an Intensive Vegetable Production System in South-Eastern Spain. In Proceedings of the Abstracts of Nev 2013 International Workshop on Nitrogen, Environment and Vegetables, Turin, Italy; 2013; pp. 50–51. [Google Scholar]
- Valera, D.L.; Belmonte, L.J.; Molina-Aiz, F.D.; López, A.; Camacho, F. The greenhouses of Almería, Spain: Technological analysis and profitability. Acta Hortic. 2017, 1170, 219–226. [Google Scholar] [CrossRef]
- Padilla, F.M.; Peña-Fleitas, M.T.; Gallardo, M.; Thompson, R.B. Evaluation of optical sensor measurements of canopy reflectance and of leaf flavonols and chlorophyll contents to assess crop nitrogen status of muskmelon. Eur. J. Agron. 2014, 58, 39–52. [Google Scholar] [CrossRef]
- Sellers, P.J. Canopy reflectance, photosynthesis and transpiration. Int. J. Remote Sens. 1985, 6, 1335–1372. [Google Scholar] [CrossRef]
- Ma, B.L.; Morrison, M.J.; Dwyer, L.M. Canopy light reflectance and field greenness to assess nitrogen fertilization and yield of maize. Agron. J. 1996, 88, 915–920. [Google Scholar] [CrossRef]
- Birth, G.S.; McVey, G.R. Measuring the color of growing turf with a reflectance spectrophotometer. Agron. J. 1968, 60, 640–643. [Google Scholar] [CrossRef]
- Gitelson, A.; Merzlyak, M.N. Spectral reflectance changes associated with autumn senescence of Aesculus hippocastanum L. and Acer platanoides L. leaves. Spectral features and relation to chlorophyll estimation. J. Plant Physiol. 1994, 143, 286–292. [Google Scholar] [CrossRef]
- Gitelson, A.A.; Gritz, Y.; Merzlyak, M.N. Relationships between leaf chlorophyll content and spectral reflectance and algorithms for non-destructive chlorophyll assessment in higher plant leaves. J. Plant Physiol. 2003, 160, 271–282. [Google Scholar] [CrossRef]
- Dash, J.; Curran, P.J. The MERIS terrestrial chlorophyll index. Int. J. Remote Sens. 2004, 25, 5403–5413. [Google Scholar] [CrossRef]
- Padilla, F.M.; Peña-Fleitas, M.T.; Gallardo, M.; Giménez, C.; Thompson, R.B. Derivation of sufficiency values of a chlorophyll meter to estimate cucumber nitrogen status and yield. Comput. Electron. Agric. 2017, 141, 54–64. [Google Scholar] [CrossRef]
- De Souza, R.; Peña-fleitas, M.T.; Thompson, R.B.; Gallardo, M.; Grasso, R.; Padilla, F.M. The Use of Chlorophyll Meters to Assess Crop N Status and Derivation of Sufficiency Values for Sweet Pepper. Sensors 2019, 19, 2949. [Google Scholar] [CrossRef] [PubMed]
- Zhao, B.; Ata-Ul-Karim, S.T.; Liu, Z.; Zhang, J.; Xiao, J.; Liu, Z.; Qin, A.; Ning, D.; Yang, Q.; Zhang, Y.; et al. Simple Assessment of Nitrogen Nutrition Index in Summer Maize by Using Chlorophyll Meter Readings. Front. Plant Sci. 2018, 9, 11. [Google Scholar] [CrossRef] [PubMed]
- Xin-feng, Y.; Xia, Y.; Yong-chao, T.; Jun, N.I.; Xiao-jun, L.; Wei-xing, C.; Yan, Z. A New Method to Determine Central Wavelength and Optimal Bandwidth for Predicting Plant Nitrogen Uptake in Winter Wheat. J. Integr. Agric. 2013, 12, 788–802. [Google Scholar] [CrossRef]
- Hatfield, J.L.; Prueger, J.H. Value of using different vegetative indices to quantify agricultural crop characteristics at different growth stages under varying management practices. Remote Sens. 2010, 2, 562–578. [Google Scholar] [CrossRef]
- Li, F.; Mistele, B.; Hu, Y.; Chen, X.; Schmidhalter, U. Reflectance estimation of canopy nitrogen content in winter wheat using optimised hyperspectral spectral indices and partial least squares regression. Eur. J. Agron. 2014, 52, 198–209. [Google Scholar] [CrossRef]
- Daughtry, C.S.T.; Walthall, C.L.; Kim, M.S.; de Colstoun, E.B.; McMurtrey, J.E. Estimating corn leaf chlorophyll concentration from leaf and canopy reflectance. Remote Sens. Environ. 2000, 74, 229–239. [Google Scholar] [CrossRef]
- Raper, T.B.; Varco, J.J. Canopy-scale wavelength and vegetative index sensitivities to cotton growth parameters and nitrogen status. Precis. Agric. 2015, 16, 62–76. [Google Scholar] [CrossRef]
- Yang, J.M.; Yang, J.Y.; Liu, S.; Hoogenboom, G. An evaluation of the statistical methods for testing the performance of crop models with observed data. Agric. Syst. 2014, 127, 81–89. [Google Scholar] [CrossRef]
- Gallardo, M.; Thompson, R.B.; Giménez, C.; Padilla, F.M.; Stöckle, C.O. Prototype decision support system based on the VegSyst simulation model to calculate crop N and water requirements for tomato under plastic cover. Irrig. Sci. 2014, 32, 237–253. [Google Scholar] [CrossRef]
- Piñeiro, G.; Perelman, S.; Guerschman, J.P.; Paruelo, J.M. How to evaluate models: Observed vs. predicted or predicted vs. observed? Ecol. Modell. 2008, 216, 316–322. [Google Scholar] [CrossRef]
- Johansen, B.; Tømmervik, H. The relationship between phytomass, NDVI and vegetationcommunities on Svalbard. Int. J. Appl. Earth Obs. Geoinf. 2014, 27, 20–30. [Google Scholar] [CrossRef]
- Wang, Y.W.; Mao, P.S.; Dunn, B.L.; Arnall, D.B. Use of an active canopy sensor and SPAD chlorophyll meter to quantify geranium nitrogen status. HortScience 2012, 47, 45–50. [Google Scholar] [CrossRef]
- De Souza, R.; Grasso, R.; Teresa Peña-Fleitas, M.; Gallardo, M.; Thompson, R.B.; Padilla, F.M. Effect of Cultivar on Chlorophyll Meter and Canopy Reflectance Measurements in Cucumber. Sensors 2020, 20, 509. [Google Scholar] [CrossRef]
- Gianquinto, G.; Orsini, F.; Fecondini, M.; Mezzetti, M.; Sambo, P.; Bona, S. A methodological approach for defining spectral indices for assessing tomato nitrogen status and yield. Eur. J. Agron. 2011, 35, 135–143. [Google Scholar] [CrossRef]
- El-Shikha, D.M.; Waller, P.; Hunsaker, D.; Clarke, T.; Barnes, E. Ground-based remote sensing for assessing water and nitrogen status of broccoli. Agric. Water Manag. 2007, 92, 183–193. [Google Scholar] [CrossRef]
- Li, F.; Miao, Y.; Feng, G.; Yuan, F.; Yue, S.; Gao, X.; Liu, Y.; Liu, B.; Ustin, S.; Susan, L.; et al. Improving estimation of summer maize nitrogen status with red edge-based spectral vegetation indices. Field Crops Res. 2014, 157, 111–123. [Google Scholar] [CrossRef]
- Parry, C.; Blonquist, J.M.; Bugbee, B. In situ measurement of leaf chlorophyll concentration: Analysis of the optical/absolute relationship. Plant. Cell Environ. 2014, 37, 2508–2520. [Google Scholar] [CrossRef]




| Crop | Cycle | Duration (Days) | Beginning of N Treatments | Mineral N Concentration of Treatments (mmol N L-1) | Amount of Mineral N Applied (kg N ha-1) |
|---|---|---|---|---|---|
| 2014–2015 | 12 August – 29 January | 170 | 1 DAT | N1: 2.4 N2: 6.2 N3: 12.6 N4: 16.1 N5: 20.0 | N1: 64 N2: 189 N3: 516 N4: 804 N5: 990 |
| 2016–2017 | 19 July – 24 March | 248 | 9 DAT | N1: 2.0 N2: 5.3 N3: 9.7 N4: 13.5 N5: 17.7 | N1: 88 N2: 302 N3: 561 N4: 1052 N5: 1320 |
| 2017–2018 | 21 July – 20 February | 214 | 10 DAT | N1: 2.0 N2: 5.7 N3: 9.7 N4: 13.1 N5: 16.7 | N1: 86 N2: 304 N3: 519 N4: 870 N5: 1198 |
| Index | Acronym | Equation | Reference |
|---|---|---|---|
| Normalized Difference Vegetation Index | NDVI | NIR−RED NIR+RED | Sellers [40] |
| Green Normalized Difference Vegetation Index | GNDVI | NIR−Green NIR+Green | Ma et al. [41] |
| Red Ratio of Vegetation Index | RVI | NIR Red | Birth and McVey [42] |
| Green Ratio of Vegetation Index | GVI | NIR Green | Birth and McVey [42] |
| Red Edge Normalized Difference Vegetation Index | RENDVI | NIR−Red Edge NIR+Red Edge | Gitelson and Merzlyak [43] |
| Chlorophyll Index | CI | NIR Red Edge | Gitelson et al. [44] |
| Canopy Chlorophyll Content Index | CCCI | RENDVI−RENDVImin RENDVImax−RENDVImin | Fitzgerald et al. [28] |
| MERIS Terrestrial Chlorophyll Index | MTCI | NIR−Red Edge Red Edge−Red | Dash and Curran [45] |
| Vegetative | Flowering | Early Fruit Growth | Harvest | |||||||||
|---|---|---|---|---|---|---|---|---|---|---|---|---|
| Index | Equation | R2 | RMSE | Equation | R2 | RMSE | Equation | R2 | RMSE | Equation | R2 | RMSE |
| NDVIiGS | NNIi = 1.314x - 0.024 | 0.27*** | 0.139 | NNIi = 7.225x - 5.368 | 0.63*** | 0.121 | NNIi = 7.393x - 5.530 | 0.52*** | 0.151 | NNIi = 1.443x - 0.260 | 0.42*** | 0.135 |
| NDVIi | NNIi = 2.268x - 0.726 | 0.48*** | 0.118 | NNIi = 6.347x - 4.495 | 0.54*** | 0.137 | NNIi = 7.277x - 5.340 | 0.65*** | 0.131 | NNIi = 1.395x - 0.233 | 0.27*** | 0.151 |
| GNDVIi | NNIi = 2.431x - 0.562 | 0.63*** | 0.099 | NNIi = 3.872x - 1.817 | 0.65*** | 0.118 | NNIi = 4.135x - 2.117 | 0.62*** | 0.135 | NNIi = 1.294x + 0.014 | 0.32*** | 0.146 |
| RVIi | NNIi = 0.061x + 0.422 | 0.48*** | 0.117 | NNIi = 0.069x + 0.002 | 0.46*** | 0.147 | NNIi = 0.088x - 0.319 | 0.68*** | 0.125 | NNIi = 0.026x + 0.608 | 0.22** | 0.156 |
| GVIi | NNIi = 0.144x + 0.290 | 0.56*** | 0.108 | NNIi = 0.167x - 0.091 | 0.60*** | 0.126 | NNIi = 0.170x - 0.236 | 0.63*** | 0.135 | NNIi = 0.067x + 0.510 | 0.27*** | 0.151 |
| RENDVIi | NNIi = 3.891x - 0.288 | 0.51*** | 0.114 | NNIi = 4.308x - 0.659 | 0.38*** | 0.151 | NNIi = 7.820x - 2.170 | 0.82*** | 0.094 | NNIi = 1.718x + 0.279 | 0.19** | 0.175 |
| CIi | NNIi = 0.923x - 0.855 | 0.48*** | 0.118 | NNIi = 1.055x - 1.356 | 0.50*** | 0.142 | NNIi = 1.517x - 2.609 | 0.83*** | 0.092 | NNIi = 0.425x + 0.005 | 0.30*** | 0.148 |
| CCCIi | NNIi = 1.655x + 0.124 | 0.45*** | 0.122 | NNIi = 1.445x + 0.193 | 0.44*** | 0.150 | NNIi = 2.484x - 0.680 | 0.83*** | 0.092 | NNIi = 0.726x + 0.522 | 0.23** | 0.155 |
| MTCIi | NNIi = 0.473x + 0.269 | 0.19** | 0.147 | NNIi = 0.998x - 0.469 | 0.46*** | 0.147 | NNIi = 1.533x - 1.538 | 0.84*** | 0.088 | NNIi = 0.440x + 0.285 | 0.23** | 0.156 |
| Vegetative | Flowering | Early Fruit Growth | Harvest | |||||||||
|---|---|---|---|---|---|---|---|---|---|---|---|---|
| Index | Equation | R2 | RMSE | Equation | R2 | RMSE | Equation | R2 | RMSE | Equation | R2 | RMSE |
| NDVIiGS | NNIi_Pred = 0.503x + 0.468 | 0.55*** | 0.109 | NNIi_Pred = 0.895x + 0.061 | 0.67*** | 0.132 | NNIi_Pred = 1.088x - 0.146 | 0.70*** | 0.147 | NNIi_Pred = 0.532x + 0.432 | 0.58*** | 0.119 |
| NDVIi | NNIi_Pred = 0.489x + 0.468 | 0.33** | 0.135 | NNIi_Pred = 0.946x + 0.017 | 0.69*** | 0.132 | NNIi_Pred = 1.342x - 0.398 | 0.89*** | 0.130 | NNIi_Pred = 0.439x + 0.522 | 0.57*** | 0.124 |
| GNDVIi | NNIi_Pred = 0.806x + 0.193 | 0.55*** | 0.121 | NNIi_Pred = 0.905x + 0.092 | 0.78*** | 0.099 | NNIi_Pred = 1.215x - 0.240 | 0.89*** | 0.094 | NNIi_Pred = 0.483x + 0.489 | 0.62*** | 0.118 |
| RVIi | NNIi_Pred = 0.530x + 0.431 | 0.49** | 0.117 | NNIi_Pred = 0.730x + 0.255 | 0.65*** | 0.120 | NNIi_Pred = 1.256x - 0.292 | 0.87*** | 0.111 | NNIi_Pred = 0.402x + 0.571 | 0.64*** | 0.124 |
| GVIi | NNIi_Pred = 0.676x + 0.323 | 0.59*** | 0.106 | NNIi_Pred = 0.826x + 0.185 | 0.76*** | 0.100 | NNIi_Pred = 1.189x - 0.190 | 0.91*** | 0.079 | NNIi_Pred = 0.452x + 0.527 | 0.62*** | 0.121 |
| RENDVIi | NNIi_Pred = 0.568x + 0.404 | 0.55*** | 0.109 | NNIi_Pred = 0.518x + 0.461 | 0.41** | 0.153 | NNIi_Pred = 1.427x - 0.468 | 0.86*** | 0.145 | NNIi_Pred = 0.37x + 0.565 | 0.58*** | 0.139 |
| CIi | NNIi_Pred = 0.502x + 0.471 | 0.46** | 0.122 | NNIi_Pred = 0.716x + 0.275 | 0.59*** | 0.131 | NNIi_Pred = 1.418x - 0.466 | 0.90*** | 0.132 | NNIi_Pred = 0.444x + 0.525 | 0.60*** | 0.121 |
| CCCIi | NNIi_Pred = 0.294x + 0.661 | 0.17ns | 0.159 | NNIi_Pred = 0.612x + 0.379 | 0.54*** | 0.136 | NNIi_Pred = 1.296x - 0.337 | 0.87*** | 0.120 | NNIi_Pred = 0.377x + 0.581 | 0.55*** | 0.129 |
| MTCIi | NNIi_Pred = 0.250x + 0.718 | 0.49** | 0.131 | NNIi_Pred = 0.652x + 0.338 | 0.55*** | 0.136 | NNIi_Pred = 1.305x - 0.356 | 0.89*** | 0.120 | NNIi_Pred = 0.398x + 0.561 | 0.58*** | 0.126 |
| Best Performance | NDVIGS | NDVI | GNDVI | RVI | GVI | RENDVI | CI | CCCI | MTCI |
|---|---|---|---|---|---|---|---|---|---|
| 1st | Flowering (10) | Early fruit growth (10) | Flowering (9) | Early fruit growth (8) | Flowering (10) | Early fruit growth (10) | Early fruit growth (11) | Early fruit growth (6) | Early fruit growth (7) |
| Early fruit growth (10) | |||||||||
| 2nd | Early fruit growth (14) | Flowering (12) | Early fruit growth (14) | Flowering (14) | Vegetative (17) | Vegetative (11) | Flowering (13) | Flowering (16) | Flowering (14) |
| 3rd | Harvest (16) | Vegetative (18) | Vegetative (15) | Vegetative (15) | Harvest (23) | Flowering (19) | Vegetative (19) | Harvest (18) | Harvest (17) |
| 4th | Vegetative (20) | Harvest (20) | Harvest (22) | Harvest (23) | Harvest (20) | Harvest (20) | Vegetative (20) | Vegetative (22) |
| Best Performance | Vegetative | Flowering | Early Fruit Growth | Harvest | Whole Crop |
|---|---|---|---|---|---|
| 1st | GNDVI (12) | GNDVI (9) | GVI (20) | GNDVI (12) | GNDVIi (60) |
| 2nd | GVI (13) | NDVIGS (18) | MTCI (22) | NDVIGS (13) | GVIi (73) |
| GVI (18) | |||||
| 3rd | RENDVI (20) | NDVI (19) | CCCI (26) | CI (21) | NDVIiGS (98) |
| 4th | RVI (25) | RVI (32) | GNDVI (27) | GVI (22) | CIi (117) |
| CI (32) | RVI (27) | ||||
| 5th | NDVIGS (29) | MTCI (40) | CI (31) | NDVI (33) | RVIi (121) |
| 6th | CI (33) | CCCI (48) | NDVI (37) | RVI (37) | NDVIi (131) |
| 7th | NDVI (42) | RENDVI (54) | NDVIGS (38) | MTCI (38) | MTCIi (147) |
| 8th | MTCI (47) | RENDVI (42) | CCCI (46) | RENDVIi (164) | |
| 9th | CCCI (49) | RENDVI (48) | CCCIi (169) |
© 2020 by the authors. Licensee MDPI, Basel, Switzerland. This article is an open access article distributed under the terms and conditions of the Creative Commons Attribution (CC BY) license (http://creativecommons.org/licenses/by/4.0/).
Share and Cite
de Souza, R.; Peña-Fleitas, M.T.; Thompson, R.B.; Gallardo, M.; Padilla, F.M. Assessing Performance of Vegetation Indices to Estimate Nitrogen Nutrition Index in Pepper. Remote Sens. 2020, 12, 763. https://doi.org/10.3390/rs12050763
de Souza R, Peña-Fleitas MT, Thompson RB, Gallardo M, Padilla FM. Assessing Performance of Vegetation Indices to Estimate Nitrogen Nutrition Index in Pepper. Remote Sensing. 2020; 12(5):763. https://doi.org/10.3390/rs12050763
Chicago/Turabian Stylede Souza, Romina, M. Teresa Peña-Fleitas, Rodney B. Thompson, Marisa Gallardo, and Francisco M. Padilla. 2020. "Assessing Performance of Vegetation Indices to Estimate Nitrogen Nutrition Index in Pepper" Remote Sensing 12, no. 5: 763. https://doi.org/10.3390/rs12050763
APA Stylede Souza, R., Peña-Fleitas, M. T., Thompson, R. B., Gallardo, M., & Padilla, F. M. (2020). Assessing Performance of Vegetation Indices to Estimate Nitrogen Nutrition Index in Pepper. Remote Sensing, 12(5), 763. https://doi.org/10.3390/rs12050763

