Satellite Observation for Evaluating Cloud Properties of the Microphysical Schemes in Weather Research and Forecasting Simulation: A Case Study of the Mei-Yu Front Precipitation System
Abstract
1. Introduction
2. Case Description, Model Setup, and Data Source
2.1. Selected Mei-Yu Case
2.2. Evolution of Convection and Precipitation
2.3. WRF Model Configurations
2.4. BT from Satellite Observation
3. Methodology
3.1. CRTM
3.2. Match of the Horizontal Resolution
3.3. The Classification of Cloud
3.4. Statistics and Evaluation Method
4. Results
4.1. Conventional Diagnostic of Simulated Meteorological Fields
4.1.1. Meteorological Field
4.1.2. Accumulated Rainfall and Rain Band
4.2. Comparison Between Simulated and Observed BTs
4.2.1. Atmospheric Window Channel (10.4 µm) BT
4.2.2. BTs in Water Vapor Channels
4.2.3. Evaluation of Cloud Types in Model
4.3. Probability Distributions of Hydrometeor Particles
4.4. Sensitivity on the Cloud-Top Altitude
4.5. Evaluation of the Cloud Pattern Evolution
5. Conclusions
- In the 10.4 μm BT, the results revealed a large cold bias in the simulation using MOR, which was caused by modeling the clouds at higher altitudes. The simulations with GCE, WSM, and WDM captured the distribution of the main cloud band more accurately. The probability of occurrence indicated excessive high cloud occurrences in the simulation with each scheme, and especially in the model run using MOR. The performance of WSM and WDM had similar BTs distributions when the BT was <270 K, which may be because WSM and WDM only differ for warm cloud processes.
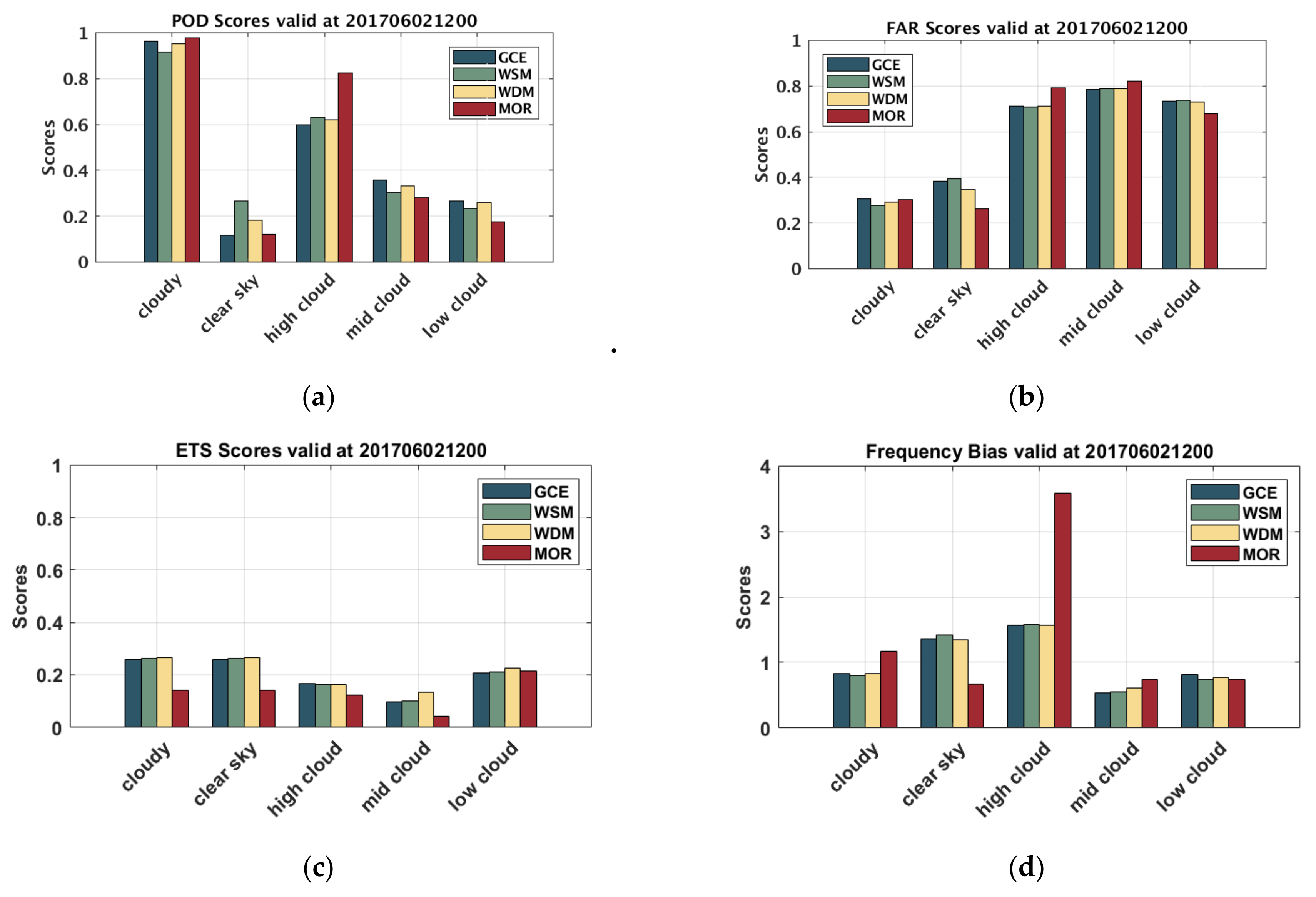
- The grid-by-grid evaluation revealed that observed cloudy events were accurately captured by the simulation using four schemes. Furthermore, high cloud pixels displayed a higher accuracy than mid and low clouds.
- The moisture information from clear pixels indicated that the mean bias was positive in the middle layer (approximately 620–420 hPa) and negative in the upper layer (approximately 420–340 hPa). GCE displayed a lower MAE and MBE in most instances, which may result in a better water budget.
Author Contributions
Funding
Acknowledgments
Conflicts of Interest
References
- Karl, T.R.; Jones, P.D.; Knight, R.W.; Kukla, G.; Plummer, N.; Razuvayev, V.; Gallo, K.P.; Lindseay, J.; Charlson, R.J.; Peterson, T.C. A New Perspective on Recent Global Warming: Asymmetric Trends of Daily Maximum and Minimum Temperature. Bull. Am. Meteorol. Soc. 1993, 74, 1007–1024. [Google Scholar] [CrossRef]
- Dai, A.; Trenberth, K.E.; Karl, T.R. Effects of Clouds, Soil Moisture, Precipitation, and Water Vapor on Diurnal Temperature Range. J. Clim. 1999, 12, 2451–2473. [Google Scholar] [CrossRef]
- Ramanathan, V. The role of earth radiation budget studies in climate and general circulation research. J. Geophys. Res. Atmos. 1987, 92, 4075–4095. [Google Scholar] [CrossRef]
- Arking, A. The Radiative Effects of Clouds and their Impact on Climate. Bull. Am. Meteorol. Soc. 1991, 72, 795–814. [Google Scholar] [CrossRef]
- Mecikalski, J.R.; Bedka, K.M. Forecasting Convective Initiation by Monitoring the Evolution of Moving Cumulus in Daytime GOES Imagery. Mon. Weather Rev. 2006, 134, 49–78. [Google Scholar] [CrossRef]
- Sieglaff, J.M.; Cronce, L.M.; Feltz, W.F.; Bedka, K.M.; Pavolonis, M.J.; Heidinger, A.K. Nowcasting Convective Storm Initiation Using Satellite-Based Box-Averaged Cloud-Top Cooling and Cloud-Type Trends. J. Appl. Meteorol. Climatol. 2011, 50, 110–126. [Google Scholar] [CrossRef]
- Cintineo, J.L.; Pavolonis, M.J.; Sieglaff, J.M.; Heidinger, A.K. Evolution of Severe and Nonsevere Convection Inferred from GOES-Derived Cloud Properties. J. Appl. Meteorol. Climatol. 2013, 52, 2009–2023. [Google Scholar] [CrossRef]
- Tripoli, G.J.; Cotton, W.R. Numerical Study of an Observed Orogenic Mesoscale Convective System. Part 2: Analysis of Governing Dynamics. Mon. Weather Rev. 1989, 117, 305–328. [Google Scholar] [CrossRef][Green Version]
- Tao, W.-K.; Moncrieff, M.W. Multiscale cloud system modeling. Rev. Geophys. 2009, 47. [Google Scholar] [CrossRef]
- Satoh, M.; Inoue, T.; Miura, H. Evaluations of cloud properties of global and local cloud system resolving models using CALIPSO and CloudSat simulators. J. Geophys. Res. Atmos. 2010, 115. [Google Scholar] [CrossRef]
- Jankov, I.; Bao, J.-W.; Neiman, P.J.; Schultz, P.J.; Yuan, H.; White, A.B. Evaluation and Comparison of Microphysical Algorithms in ARW-WRF Model Simulations of Atmospheric River Events Affecting the California Coast. J. Hydrometeorol. 2009, 10, 847–870. [Google Scholar] [CrossRef]
- Jung, Y.; Xue, M.; Zhang, G. Simulations of Polarimetric Radar Signatures of a Supercell Storm Using a Two-Moment Bulk Microphysics Scheme. J. Appl. Meteorol. Climatol. 2010, 49, 146–163. [Google Scholar] [CrossRef]
- Otkin, J.A.; Greenwald, T.J. Comparison of WRF Model-Simulated and MODIS-Derived Cloud Data. Mon. Weather Rev. 2008, 136, 1957–1970. [Google Scholar] [CrossRef]
- Cintineo, R.; Otkin, J.A.; Xue, M.; Kong, F. Evaluating the Performance of Planetary Boundary Layer and Cloud Microphysical Parameterization Schemes in Convection-Permitting Ensemble Forecasts Using Synthetic GOES-13 Satellite Observations. Mon. Weather Rev. 2014, 142, 163–182. [Google Scholar] [CrossRef]
- Randel, D.L.; Haar, T.H.V.; Ringerud, M.A.; Stephens, G.L.; Greenwald, T.J.; Combs, C.L. A New Global Water Vapor Dataset. Bull. Am. Meteorol. Soc. 1996, 77, 1233–1246. [Google Scholar] [CrossRef]
- Schaaf, C.B.; Gao, F.; Strahler, A.H.; Lucht, W.; Li, X.; Tsang, T.; Strugnell, N.C.; Zhang, X.; Jin, Y.; Muller, J.-P.; et al. Roy, First operational BRDF, albedo nadir reflectance products from MODIS. Remote Sens. Environ. 2002, 83, 135–148. [Google Scholar] [CrossRef]
- Wiedner, M.; Prigent, C.; Pardo, J.R.; Nuissier, O.; Chaboureau, J.-P.; Pinty, J.-P.; Mascart, P. Modeling of passive microwave responses in convective situations using output from mesoscale models: Comparison with TRMM/TMI satellite observations. J. Geophys. Res. Atmos. 2004, 109. [Google Scholar] [CrossRef]
- Liu, C.-Y.; Li, J.; Ho, S.; Liu, G.; Lin, T.; Young, C. Retrieval of Atmospheric Thermodynamic State From Synergistic Use of Radio Occultation and Hyperspectral Infrared Radiances Observations. IEEE J. Sel. Top. Appl. Earth Obs. Remote Sens. 2016, 9, 744–756. [Google Scholar] [CrossRef]
- Morcrette, J.-J. Evaluation of model-generated cloudiness: Satellite-observed and model-generated diurnal variability of brightness temperature. Mon. Weather Rev. 1991, 119, 1205–1224. [Google Scholar] [CrossRef][Green Version]
- Chaboureau, J.-P.; Nuissier, O.; Claud, C. Verification of ensemble forecasts of Mediterranean high-impact weather events against satellite observations. Nat. Hazards Earth Syst. Sci. 2012, 12. [Google Scholar] [CrossRef]
- Greenwald, T.J.; Lee, Y.-K.; Otkin, J.A.; L’Ecuyer, T. Evaluation of midlatitude clouds in a large-scale high-resolution simulation using CloudSat observations. J. Geophys. Res. Atmos. 2010, 115. [Google Scholar] [CrossRef]
- Yu, W.; Sèze, G.; Le Treut, H.; Desbois, M. Desbois, and Oceans, Comparison of radiance fields observed by satellite and simulated by the LMD general circulation model. Dyn. Atmos. 1991, 16, 147–165. [Google Scholar] [CrossRef]
- Griffin, S.M.; Otkin, J.A.; Rozoff, C.M.; Sieglaff, J.M.; Cronce, L.M.; Alexander, C.R. Methods for comparing simulated and observed satellite infrared brightness temperatures and what do they tell us? Weather Forecast. 2017, 32, 5–25. [Google Scholar] [CrossRef]
- Diaz, J.P.; González, A.; Expósito, F.J.; Pérez, J.C.; Fernández, J.; García-Díez, M.; Taima, D. WRF multi-physics simulation of clouds in the African region. Q. J. R. Meteorol. Soc. 2015, 141, 2737–2749. [Google Scholar] [CrossRef]
- Zhang, Y.; Rockel, B.; Stuhlmann, R.; Hollmann, R.; Karstens, U. REMO Cloud Modeling: Improvements and Validation with ISCCP DX Data. J. Appl. Meteorol. 2001, 40, 389–408. [Google Scholar] [CrossRef]
- Chaboureau, J.P.; Pinty, J.P. Validation of a cirrus parameterization with Meteosat Second Generation observations. Geophys. Res. Lett. 2006, 33. [Google Scholar] [CrossRef]
- Pincus, R.; Batstone, C.P.; Hofmann, R.J.P.; Taylor, K.E.; Glecker, P.J. Evaluating the present-day simulation of clouds, precipitation, and radiation in climate models. J. Geophys. Res. Atmos. 2008, 113. [Google Scholar] [CrossRef]
- Otkin, J.A.; Greenwald, T.J.; Sieglaff, J.; Huang, H.-L. Validation of a Large-Scale Simulated Brightness Temperature Dataset Using SEVIRI Satellite Observations. J. Appl. Meteorol. Climatol. 2009, 48, 1613–1626. [Google Scholar] [CrossRef]
- Liang, X.-M.; Ignatov, A.; Kihai, Y. Implementation of the Community Radiative Transfer Model in Advanced Clear-Sky Processor for Oceans and validation against nighttime AVHRR radiances. J.Geophys. Res. Atmos. 2009, 114. [Google Scholar] [CrossRef]
- Bedka, K.; Brunner, J.; Dworak, R.; Feltz, W.; Otkin, J.; Greenwald, T. Objective Satellite-Based Detection of Overshooting Tops Using Infrared Window Channel Brightness Temperature Gradients. J. Appl. Meteorol. Climatol. 2010, 49, 181–202. [Google Scholar] [CrossRef]
- Roh, W.; Satoh, M.; Nasuno, T. Improvement of a Cloud Microphysics Scheme for a Global Nonhydrostatic Model Using TRMM and a Satellite Simulator. J. Atmos. Sci. 2017, 74, 167–184. [Google Scholar] [CrossRef]
- Matsui, T.; Chern, J.-D.; Tao, W.-K.; Lang, S.; Satoh, M.; Hashino, T.; Kubota, T. On the Land–Ocean Contrast of Tropical Convection and Microphysics Statistics Derived from TRMM Satellite Signals and Global Storm-Resolving Models. J. Hydrometeorol. 2016, 17, 1425–1445. [Google Scholar] [CrossRef] [PubMed]
- Li, Y.; Zipser, E.J.; Krueger, S.K.; Zulauf, M.A. Cloud-Resolving Modeling of Deep Convection during KWAJEX. Part I: Comparison to TRMM Satellite and Ground-Based Radar Observations. Mon. Weather Rev. 2008, 136, 2699–2712. [Google Scholar] [CrossRef][Green Version]
- Grasso, L.D.; Sengupta, M.; Demaria, M. Comparison between observed and synthetic 6.5 and 10.7 μm GOES-12 imagery of thunderstorms that occurred on 8 May 2003. Int. J. Remote Sens. 2010, 31, 647–663. [Google Scholar] [CrossRef]
- Jankov, I.; Grasso, L.D.; Sengupta, M.; Neiman, P.J.; Zupanski, D.; Zupanski, M.; Lindsey, D.; Hillger, D.W.; Birkenheuer, D.L.; Brummer, R. An evaluation of five ARW-WRF microphysics schemes using synthetic GOES imagery for an atmospheric river event affecting the California coast. J. Hydrometeorol. 2011, 12, 618–633. [Google Scholar] [CrossRef][Green Version]
- Liu, C.-Y.; Lin, M.-Y.; Chen, J.-H.; Chang, M.-Y.; Chang, T.-H. Objective Evaluation of Numerical Weather Model Forecasts by Using Satellite-Observed Radiances. IEEE Tgrs. 2020. (under review). [Google Scholar]
- Yao, B.; Liu, C.; Yin, Y.; Zhang, P.; Min, M.; Han, W. Radiance-based evaluation of WRF cloud properties over East Asia: Direct comparison with FY-2E observations. J. Geophys. Res. Atmos. 2018, 123, 4613–4629. [Google Scholar] [CrossRef]
- Chung, K.-S.; Chang, W.; Fillion, L.; Tanguay, M. Examination of Situation-Dependent Background Error Covariances at the Convective Scale in the Context of the Ensemble Kalman Filter. Mon. Weather Rev. 2013, 141, 3369–3387. [Google Scholar] [CrossRef]
- Tu, C.-C.; Chen, Y.-L.; Lin, P.-L.; Lin, P.-H. The relationship between the boundary layer moisture transport from the South China Sea and heavy rainfall over Taiwan. Terr. Atmos. Ocean. Sci. 2020, 31, 159–176. [Google Scholar] [CrossRef]
- Lupo, K.M.; Torn, R.D.; Yang, S.-C. Evaluation of Stochastic Perturbed Parameterization Tendencies on Convective-Permitting Ensemble Forecasts of Heavy Rainfall Events in New York and Taiwan. Weather Forecast. 2019, 35, 5–24. [Google Scholar] [CrossRef]
- Yeh, H.-C.; Chen, G.T.-J. Case study of an unusually heavy rain event over eastern Taiwan during the Mei-yu season. Mon. Weather Rev. 2004, 132, 320–337. [Google Scholar] [CrossRef]
- Geng, B. Case study of a split front and associated precipitation during the mei-yu season. Weather Forecast. 2014, 29, 996–1002. [Google Scholar] [CrossRef]
- Ke, C.-Y.; Chung, K.-S.; Wang, T.-C.C.; Liou, Y.-C. Analysis of heavy rainfall and barrier-jet evolution during Mei-Yu season using multiple Doppler radar retrievals: A case study on 11 June 2012. Tellus A Dyn. Meteorol. Oceanogr. 2019, 71, 1571369. [Google Scholar] [CrossRef]
- Morel, C.; Senesi, S. A climatology of mesoscale convective systems over Europe using satellite infrared imagery. II: Characteristics of European mesoscale convective systems. Q. J. R. Meteorol. Soc. J. Atmos. Sci. Appl. Meteorol. Phys. Oceanogr. 2002, 128, 1973–1995. [Google Scholar] [CrossRef]
- Parker, M.D.; Johnson, R.H. Organizational modes of midlatitude mesoscale convective systems. Mon. Weather Rev. 2000, 128, 3413–3436. [Google Scholar] [CrossRef]
- Mlawer, E.J.; Taubman, S.J.; Brown, P.D.; Iacono, M.J.; Clough, S.A. Radiative transfer for inhomogeneous atmospheres: RRTM, a validated correlated-k model for the longwave. J. Geophys. Res. Atmos. 1997, 102, 16663–16682. [Google Scholar] [CrossRef]
- Dudhia, J. Numerical study of convection observed during the winter monsoon experiment using a mesoscale two-dimensional model. J. Atmos. Sci. 1989, 46, 3077–3107. [Google Scholar] [CrossRef]
- Hong, S.-Y.; Noh, Y.; Dudhia, J. A new vertical diffusion package with an explicit treatment of entrainment processes. Mon. Weather Rev. 2006, 134, 2318–2341. [Google Scholar] [CrossRef]
- Kain, J.S. The Kain–Fritsch Convective Parameterization: An Update. J. Appl. Meteorol. 2004, 43, 170–181. [Google Scholar] [CrossRef]
- Tao, W.-K.; Simpson, J.; Baker, D.; Braun, S.; Chou, M.-D.; Ferrier, B.; Johnson, D.; Khain, A.; Lang, S.; Lynn, B.; et al. Microphysics, radiation and surface processes in the Goddard Cumulus Ensemble (GCE) model. Theor. Appl. Clim. 2003, 82, 97–137. [Google Scholar] [CrossRef]
- Hong, S.-Y.; Lim, J.-O.J. The WRF single-moment 6-class microphysics scheme (WSM6). Asia Pac. J. Atmos. Sci. 2006, 42, 129–151. [Google Scholar]
- Lim, K.-S.S.; Hong, S.-Y. Development of an effective double-moment cloud microphysics scheme with prognostic cloud condensation nuclei (CCN) for weather and climate models. Mon. Weather Rev. 2010, 138, 1587–1612. [Google Scholar] [CrossRef]
- Morrison, H.; Curry, J.; Khvorostyanov, V. A new double-moment microphysics parameterization for application in cloud and climate models. Part I: Description. J. Atmos. Sci. 2005, 62, 1665–1677. [Google Scholar] [CrossRef]
- Bessho, K.; Date, K.; Hayashi, M.; Ikeda, A.; Imai, T.; Inoue, H.; Kumagai, Y.; Miyakawa, T.; Murata, H.; Ohno, T.; et al. An Introduction to Himawari-8/9— Japan’s New-Generation Geostationary Meteorological Satellites. J. Meteorol. Soc. Japan. Ser. Ii 2016, 94, 151–183. [Google Scholar] [CrossRef]
- Murata, H.; Takahashi, M.; Kosaka, Y. VIS and IR bands of Himawari-8/AHI compatible with those of MTSAT-2/Imager. Msc Tech. Note 2015, 60, 1–18. [Google Scholar]
- Ding, S.; Yang, P.; Weng, F.; Liu, Q.; Han, Y.; van Delst, P.; Li, J.; Baum, B. Validation of the community radiative transfer model. J. Quant. Spectrosc. Radiat. Transf. 2011, 112, 1050–1064. [Google Scholar] [CrossRef]
- Martin, G.M.; Johnson, D.W.; Spice, A. The Measurement and Parameterization of Effective Radius of Droplets in Warm Stratocumulus Clouds. J. Atmos. Sci. 1994, 51, 1823–1842. [Google Scholar] [CrossRef]
- Hong, S.-Y.; Dudhia, J.; Chen, S.-H. A Revised Approach to Ice Microphysical Processes for the Bulk Parameterization of Clouds and Precipitation. Mon. Weather Rev. 2004, 132, 103–120. [Google Scholar] [CrossRef]
- Wilks, D.S. Statistical Methods in the Atmospheric Sciences, 2nd ed.; Academic Press: Cambridge, MA, USA, 2006; p. 627. [Google Scholar]
- Wu, Y.; Zhang, F.; Wu, K.; Min, M.; Li, W.; Liu, R. Best Water Vapor Information Layer of Himawari-8-Based Water Vapor Bands over East Asia. Sensors 2020, 20, 2394. [Google Scholar] [CrossRef]
- Roebber, P.J. Visualizing multiple measures of forecast quality. Weather Forecast. 2009, 24, 601–608. [Google Scholar] [CrossRef]
- Liu, C.-Y.; Chiu, C.-H.; Lin, P.-H.; Min, M. Comparison of Cloud-Top Property Retrievals from Advanced Himawari Imager, MODIS, CloudSat/CPR, CALIPSO/CALIOP, and radiosonde. J. Geophys. Res. Atmos. 2020, 125, e2020JD032683. [Google Scholar] [CrossRef]

















| Channel | Central λ (μm) | Application |
|---|---|---|
| Window channel | 10.4 | Surface or cloud-top temperature |
| Water vapor channel | 6.2, 6.9, 7.3 | Mid-to-high-level water vapor |
| The Variables use in CRTM | |
|---|---|
| Pressure (hPa) (Layer) | Pressure (hPa) (Level) |
| Temperature (K) (Layer) | Surface temperature (K) |
| Water vapor mixing ratio (kg/kg) (Layer) | Cloud effective radius (μm) (Layer) |
| Cloud water path (kg/m2) (Layer) | Ice effective radius (μm) (Layer) |
| Ice water path (kg/m2) (Layer) | Rain effective radius (μm) (Layer) |
| Rain water path (kg/m2) (Layer) | Snow effective radius (μm) (Layer) |
| Snow water path (kg/m2) (Layer) | Graupel effective radius (μm) (Layer) |
| Graupel water path (kg/m2) (Layer) | Hail effective radius (μm) (Layer) |
| Hail water path (kg/m2) (Layer) | Satellite Zenith Angle for model |
| O3 (ppmv) (Layer) | Satellite Azimuth Angle for model |
| Surface Type | Satellite Scan Angle for model |
| Topography | Number of levels |
| Land_sea_mask | Number of indexes |
| Observed | |||
| Yes | No | ||
| Simulated | Yes | Hits (a) | False alarms (b) |
| No | Misses (c) | Correct negatives (d) | |
© 2020 by the authors. Licensee MDPI, Basel, Switzerland. This article is an open access article distributed under the terms and conditions of the Creative Commons Attribution (CC BY) license (http://creativecommons.org/licenses/by/4.0/).
Share and Cite
Chung, K.-S.; Chiu, H.-J.; Liu, C.-Y.; Lin, M.-Y. Satellite Observation for Evaluating Cloud Properties of the Microphysical Schemes in Weather Research and Forecasting Simulation: A Case Study of the Mei-Yu Front Precipitation System. Remote Sens. 2020, 12, 3060. https://doi.org/10.3390/rs12183060
Chung K-S, Chiu H-J, Liu C-Y, Lin M-Y. Satellite Observation for Evaluating Cloud Properties of the Microphysical Schemes in Weather Research and Forecasting Simulation: A Case Study of the Mei-Yu Front Precipitation System. Remote Sensing. 2020; 12(18):3060. https://doi.org/10.3390/rs12183060
Chicago/Turabian StyleChung, Kao-Shen, Hsien-Jung Chiu, Chian-Yi Liu, and Meng-Yue Lin. 2020. "Satellite Observation for Evaluating Cloud Properties of the Microphysical Schemes in Weather Research and Forecasting Simulation: A Case Study of the Mei-Yu Front Precipitation System" Remote Sensing 12, no. 18: 3060. https://doi.org/10.3390/rs12183060
APA StyleChung, K.-S., Chiu, H.-J., Liu, C.-Y., & Lin, M.-Y. (2020). Satellite Observation for Evaluating Cloud Properties of the Microphysical Schemes in Weather Research and Forecasting Simulation: A Case Study of the Mei-Yu Front Precipitation System. Remote Sensing, 12(18), 3060. https://doi.org/10.3390/rs12183060

