Assessing Reef Island Sensitivity Based on LiDAR-Derived Morphometric Indicators
Abstract
1. Introduction
2. Materials and Methods
2.1. Regional Setting and Oceanography
2.2. Acquisition of Island Morphometric Data
2.3. Island Geometry and Reef Platform
2.4. Foredune Scarping and Island Orientation
2.5. Island Sensitivity Characteristics Index (ISCi)
2.6. Validation of 3D Versus 2D Orphometrics in ISCi Interpretation
3. Results
3.1. Variability of Island Morphometrics
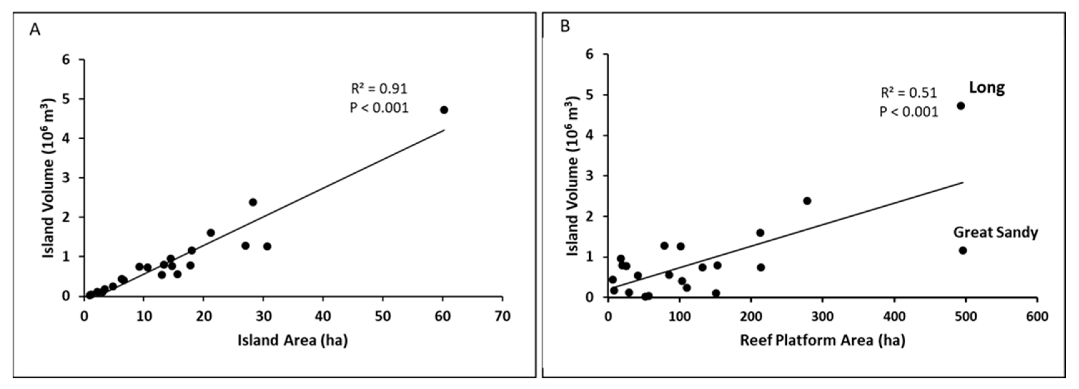
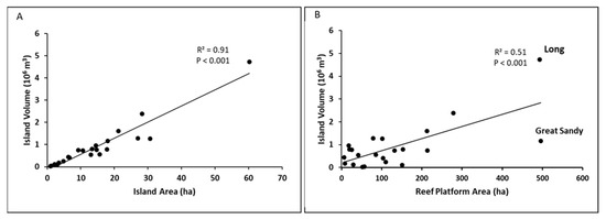
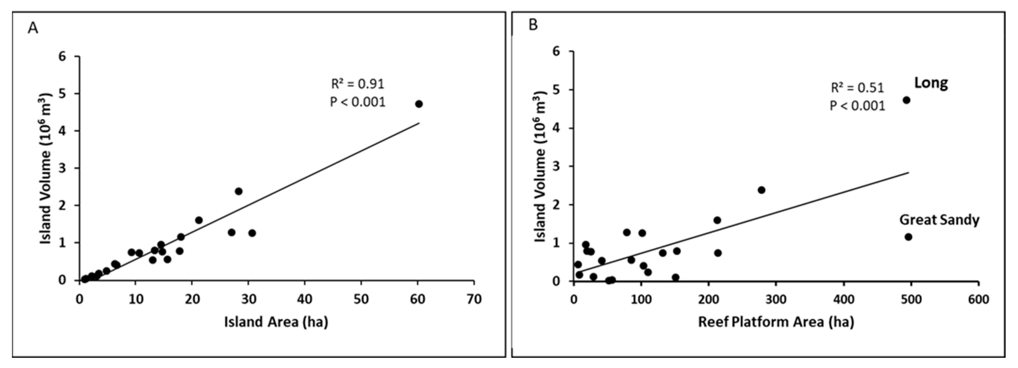
3.1.1. Relationship between Island Area, Volume, and Elevation
3.1.2. Change in Island Area, Volume, and Elevation over a 2-Year Period (2016–2018)
3.1.3. Foredune Scarping and Island Orientation
3.2. Island Sensitivity Characteristics Index (ISCi)
3.3. Accuracy of 3D Morphometrics in ISCi Interpretation
4. Discussion
4.1. Morphometric Characterization
4.2. Island Sensitivity Characteristics Index (ISCi) and Implications for Island Stability
Accuracy of 3D Versus 2D Morphometrics in ISCi Interpretation
5. Conclusions
Supplementary Materials
Author Contributions
Funding
Acknowledgments
Conflicts of Interest
References
- Duvat, V.K.; Pillet, V. Shoreline changes in reef islands of the Central Pacific: Takapoto Atoll, Northern Tuamotu, French Polynesia. Geomorphology 2017, 282, 96–118. [Google Scholar] [CrossRef]
- Kench, P.S.; Thompson, D.; Ford, M.R.; Ogawa, H.; McLean, R.F. Coral islands defy sea-level rise over the past century: Records from a central Pacific atoll. Geology 2015, 43, 515–518. [Google Scholar] [CrossRef]
- McLean, R.; Kench, P. Destruction or persistence of coral atoll islands in the face of 20th and 21st century sea-level rise? Wiley Interdiscip. Rev. Clim. Chang. 2015, 6, 445–463. [Google Scholar] [CrossRef]
- Perry, C.T.; Kench, P.S.; Smithers, S.G.; Riegl, B.; Yamano, H.; O’Leary, M.J. Implications of reef ecosystem change for the stability and maintenance of coral reef islands. Glob. Chang. Biol. 2011, 17, 3679–3696. [Google Scholar] [CrossRef]
- East, H.; Perry, C.T.; Kench, P.S.; Liang, Y.; Gulliver, P. Coral reef island initiation and development under higher than present sea levels. Geophys. Res. Lett. 2018, 45, 11–265. [Google Scholar] [CrossRef]
- Bryson, M.; Duce, S.; Harris, D.; Webster, J.M.; Thompson, A.; Vila-Concejo, A.; Williams, S.B. Geomorphic changes of a coral shingle cay measured using kite aerial photography. Geomorphology 2016, 270, 1–8. [Google Scholar] [CrossRef]
- Lowe, M.K.; Adnan, F.A.F.; Hamylton, S.M.; Carvalho, R.C.; Woodroffe, C.D. Assessing reef-island shoreline change using UAV-derived orthomosaics and digital surface models. Drones 2019, 3, 44. [Google Scholar] [CrossRef]
- Turner, I.L.; Harley, M.D.; Drummond, C.D. UAVs for coastal surveying. Coast. Eng. 2016, 114, 19–24. [Google Scholar] [CrossRef]
- Hamylton, S.M. Mapping coral reef environments: A review of historical methods, recent advances and future opportunities. Prog. Phys. Geogr. 2017, 41, 803–833. [Google Scholar] [CrossRef]
- Sallenger, A., Jr.; Krabill, W.B.; Swift, R.N.; Brock, J.; List, J.; Hansen, M.; Holman, R.A.; Manizade, S.; Sontag, J.; Meredith, A.; et al. Evaluation of airborne topographic lidar for quantifying beach changes. J. Coast. Res. 2003, 19, 125–133. [Google Scholar]
- Carrivick, J.L.; Smith, M.W.; Quincey, D.J. Structure from Motion in the Geosciences; John Wiley & Sons: Hoboken, NJ, USA, 2016. [Google Scholar]
- Buckley, S.; Vallet, J.; Braathen, A.; Wheeler, W. Oblique helicopter-based laser scanning for digital terrain modelling and visualisation of geological outcrops. Int. Arch. Photogramm. Remote Sens. Spat. Inf. Sci. 2008, 37, 493–498. [Google Scholar]
- Terefenko, P.; Zelaya Wziątek, D.; Dalyot, S.; Boski, T.; Pinheiro Lima-Filho, F. A high-precision LiDAR-based method for surveying and classifying coastal notches. ISPRS Int. J. Geo-Inf. 2018, 7, 295. [Google Scholar] [CrossRef]
- Xhardé, R.; Long, B.; Forbes, D. Accuracy and limitations of airborne LiDAR surveys in coastal environments. In Proceedings of the IEEE International Symposium on Geoscience and Remote Sensing, Denver, CO, USA, 31 July–4 August 2006. [Google Scholar]
- Dufois, F.; Lowe, R.J.; Branson, P.; Fearns, P. Tropical cyclone-driven sediment dynamics over the Australian North West Shelf. J. Geophys. Res. Ocean. 2017, 122, 10225–10244. [Google Scholar] [CrossRef]
- Steedman, R.; Russell, K. Storm Wind, Wave and Surge Analysis, Exmouth Gulf, Western Australia; Steedman Ltd.: Perth, Australia, 1986. [Google Scholar]
- Twiggs, E.J.; Collins, L.B. Development and demise of a fringing coral reef during Holocene environmental change, eastern Ningaloo Reef, Western Australia. Mar. Geol. 2010, 275, 20–36. [Google Scholar] [CrossRef]
- Perry, C.T.; Morgan, K.M.; Yarlett, R.T. Reef habitat type and spatial extent as interacting controls on platform-scale carbonate budgets. Front. Mar. Sci. 2017, 4, 185. [Google Scholar] [CrossRef]
- Dee, S.; Cuttler, M.; O’Leary, M.; Hacker, J.; Browne, N. The complexity of calculating an accurate carbonate budget. Coral Reefs 2020, 39, 1–10. [Google Scholar] [CrossRef]
- Conaway, C.A.; Wells, J.T. Aeolian dynamics along scraped shorelines, Bogue Banks, North Carolina. J. Coast. Res. 2005, 21, 242–254. [Google Scholar] [CrossRef]
- Titus-Glover, L.; Fernando, E.G. Evaluation of Pavement Base and Subgrade Material Properties and Test Procedures; Texas Transportation Institute: College Station, TX, USA, 1995; pp. 1–126.
- Yamano, H.; Kayanne, H.; Chikamori, M. An overview of the nature and dynamics of reef islands. Glob. Environ. Res. Engl. Ed. 2005, 9, 9. [Google Scholar]
- Perry, C.T.; Kench, P.S.; O’Leary, M.J.; Morgan, K.M.; Januchowski-Hartley, F. Linking reef ecology to island building: Parrotfish identified as major producers of island-building sediment in the Maldives. Geology 2015, 43, 503–506. [Google Scholar] [CrossRef]
- Lowe, R.J.; Falter, J.L.; Bandet, M.D.; Pawlak, G.; Atkinson, M.J.; Monismith, S.G.; Koseff, J.R. Spectral wave dissipation over a barrier reef. J. Geophys. Res. Ocean. 2005, 110, 1–16. [Google Scholar] [CrossRef]
- Cuttler, M.V.W.; Hansen, J.E.; Lowe, R.J.; Drost, E.J.F. Response of a fringing reef coastline to the direct impact of a tropical cyclone. Limnol. Oceanogr. Lett. 2018, 3, 31–38. [Google Scholar] [CrossRef]
- May, S.M.; Brill, D.; Leopold, M.; Callow, J.N.; Engel, M.; Scheffers, A.; Opitz, S.; Norpoth, M.; Bruckner, H. Chronostratigraphy and geomorphology of washover fans in the Exmouth gulf (NW Australia)—A record of tropical cyclone activity during the late Holocene. Quat. Sci. Rev. 2017, 169, 65–84. [Google Scholar] [CrossRef]
- Gourlay, M.R. Coral cays: Products of wave action and geological processes in a biogenic environment. In Proceedings of the 6th International Coral Reef Symposium, Townsville, Australia, 8–12 August 1988. [Google Scholar]
- Beetham, E.; Kench, P. Predicting wave overtopping thresholds on coral reef-island shorelines with future sea-level rise. Nat. Commun. 2018, 9, 1–8. [Google Scholar] [CrossRef]
- Kumar, L.; Eliot, I.; Nunn, P.D.; Stul, T.; McLean, R. An indicative index of physical susceptibility of small islands to coastal erosion induced by climate change: An application to the Pacific islands. Geomat. Nat. Hazards Risk 2018, 9, 691–702. [Google Scholar] [CrossRef]
- Shope, J.B.; Storlazzi, C.D. Assessing morphologic controls on atoll island alongshore sediment transport gradients due to future sea-level rise. Front. Mar. Sci. 2019, 6, 245. [Google Scholar] [CrossRef]







| Island | Isl. Area (ha) 2016 | Isl. Area (ha) 2018 | Plat. Area (ha) 2016 | Plat. Area (ha) 2018 | Isl. Volume (m3) 2016 | Isl. Volume (m3) 2018 | Avg. Elevation (m) 2016 | Avg. Elevation (m) 2018 | Max Elevation (m) 2016 | Max Elevation (m) 2018 |
|---|---|---|---|---|---|---|---|---|---|---|
| Mary Anne | 0.9 | 51.9 | 19,522 | 1.9 | 3.01 | |||||
| M-Mary Anne | 1.1 | 56.4 | 35,245 | 3.0 | 4.7 | |||||
| Pup | 2.2 | 151.0 | 109,915 | 4.9 | 9.4 | |||||
| False | 3.1 | 29.0 | 120,718 | 3.8 | 6.2 | |||||
| Tortoise | 3.5 | 8.4 | 182,367 | 5.2 | 11.6 | |||||
| East | 4.8 | 109.8 | 249,957 | 5.1 | 12.5 | |||||
| NE Twin | 6.3 | 6.1 | 448,096 | 7.0 | 13.4 | |||||
| Sth Passage | 6.6 | 103.5 | 402,464 | 6.0 | 13.7 | |||||
| Passage | 9.3 | 213.5 | 744,661 | 7.9 | 18.2 | |||||
| Middle | 10.6 | 132.1 | 738,341 | 6.9 | 16.2 | |||||
| Brown | 13.0 | 41.8 | 535,348 | 4.0 | 11.4 | |||||
| Mardie | 13.3 | 20.0 | 796,399 | 5.9 | 11.7 | |||||
| Steamboat | 14.5 | 18.1 | 960,757 | 6.6 | 14.8 | |||||
| Observation | 14.7 | 15.0 | 90.6 | 90.3 | 773,537 | 823,615 | 5.2 | 5.4 | 10.1 | 10.4 |
| Eva | 15.6 | 14.7 | 85.0 | 85.9 | 559,427 | 516,943 | 4.9 | 4.8 | 8.9 | 8.6 |
| Direction | 17.8 | 152.5 | 790,717 | 4.4 | 9.6 | |||||
| Great Sandy | 18.0 | 495.3 | 1,157,551 | 6.4 | 15.9 | |||||
| Angle | 21.2 | 212.9 | 1,604,321 | 7.5 | 16.0 | |||||
| Ashburton | 27.0 | 27.0 | 78.6 | 78.5 | 1,279,850 | 1,286,335 | 4.7 | 4.7 | 11.4 | 11.4 |
| Round | 28.3 | 278.5 | 2,388,685 | 8.4 | 17.5 | |||||
| Y | 30.7 | 31.3 | 101.3 | 100.7 | 1,266,198 | 1,322,658 | 4.1 | 4.2 | 8.6 | 9.0 |
| Long | 60.2 | 493.0 | 4,723,208 | 7.8 | 18.2 |
© 2020 by the authors. Licensee MDPI, Basel, Switzerland. This article is an open access article distributed under the terms and conditions of the Creative Commons Attribution (CC BY) license (http://creativecommons.org/licenses/by/4.0/).
Share and Cite
Bonesso, J.L.; Cuttler, M.V.W.; Browne, N.; Hacker, J.; O’Leary, M. Assessing Reef Island Sensitivity Based on LiDAR-Derived Morphometric Indicators. Remote Sens. 2020, 12, 3033. https://doi.org/10.3390/rs12183033
Bonesso JL, Cuttler MVW, Browne N, Hacker J, O’Leary M. Assessing Reef Island Sensitivity Based on LiDAR-Derived Morphometric Indicators. Remote Sensing. 2020; 12(18):3033. https://doi.org/10.3390/rs12183033
Chicago/Turabian StyleBonesso, Joshua Louis, Michael V.W. Cuttler, Nicola Browne, Jorg Hacker, and Michael O’Leary. 2020. "Assessing Reef Island Sensitivity Based on LiDAR-Derived Morphometric Indicators" Remote Sensing 12, no. 18: 3033. https://doi.org/10.3390/rs12183033
APA StyleBonesso, J. L., Cuttler, M. V. W., Browne, N., Hacker, J., & O’Leary, M. (2020). Assessing Reef Island Sensitivity Based on LiDAR-Derived Morphometric Indicators. Remote Sensing, 12(18), 3033. https://doi.org/10.3390/rs12183033

