A Case Study on Microphysical Characteristics of Mesoscale Convective System Using Generalized DSD Parameters Retrieved from Dual-Polarimetric Radar Observations
Abstract
1. Introduction
2. Data
3. Methodology
3.1. Simulation of Dual-Polarization Parameters
3.2. Calculation of Generalized DSD Parameters
4. Accuracy Evaluations of Generalized DSD Parameters
4.1. Characteristics of Generalized DSD Parameters
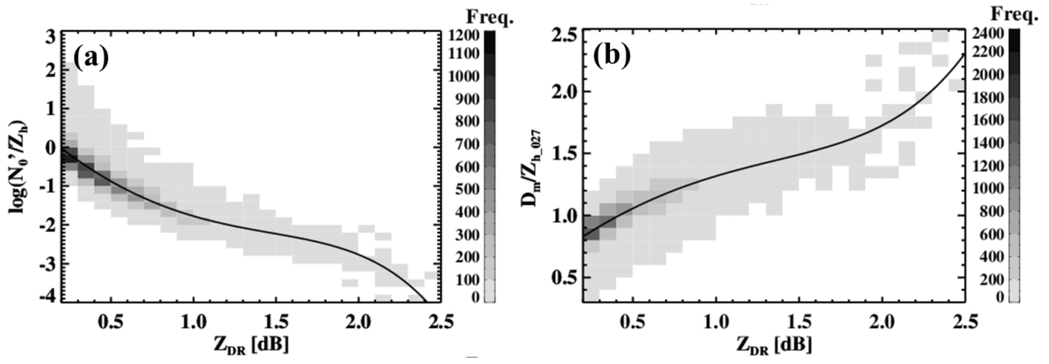
4.2. Relationships between Dual-Polarization Variables and Generalized DSD Parameters
4.3. Evaluation of Retrieved Generalized DSD Parameters
5. Microphysical Properties of an MCS Case: 14 September 2013
5.1. Description of Event
5.2. Classification of MCS
5.3. Microphysical Characteristics of MCS Case
6. Conclusions
Author Contributions
Funding
Acknowledgments
Conflicts of Interest
References
- Marshall, J.S.; Palmer, W.M. The size distribution of raindrops. J. Meteor. 1948, 5, 165–166. [Google Scholar] [CrossRef]
- Testud, J.; Oury, S.; Amayenc, P. The concept of “normalized” distribution to describe raindrop spectra: A tool for hydrometeor remote sensing. Phys. Chem. Earth Part. B Hydrol. Ocean. Atmos. 2000, 25, 897–902. [Google Scholar] [CrossRef]
- Lee, G.W.; Zawadzki, I.; Szyrmer, W.; Sempere-Torres, D.; Uijlenhoet, R. A general approach to double-moment normalization of drop size distributions. J. Appl. Meteorol. 2004, 43, 264–281. [Google Scholar] [CrossRef]
- Brandes, E.A.; Zhang, G.; Vivekanandan, J. An Evaluation of a Drop Distribution–Based Polarimetric Radar Rainfall Estimator. J. Appl. Meteorol. 2003, 42, 652–660. [Google Scholar] [CrossRef]
- Cao, Q.; Zhang, G.; Brandes, E.A.; Schuur, T.J. Polarimetric radar rain estimation through retrieval of drop size distribution using a bayesian approach. J. Appl. Meteorol. Climatol. 2010, 49, 973–990. [Google Scholar]
- Gorgucci, E.; Chandrasekar, V.; Bringi, V.N.; Scarchilli, G. Estimation of Raindrop Size Distribution Parameters from Polarimetric Radar Measurements. J. Atmos. Sci. 2002, 59, 2373–2384. [Google Scholar] [CrossRef]
- Vulpiani, G.; Marzano, F.S.; Chandrasekar, V.; Berne, A.; Uijlenhoet, R. Polarimetric weather radar retrieval of raindrop size distribution by means of a regularized artificial neural network. IEEE Trans. Geosci. Remote Sens. 2006, 44, 3262–3274. [Google Scholar] [CrossRef]
- Yoshikawa, E.; Chandrasekar, V.; Ushio, T.; Matsuda, T. A Bayesian approach for integrated raindrop size distribution (DSD) retrieval on an X-band dual-polarization radar network. J. Atmos. Ocean. Technol. 2016, 33, 377–389. [Google Scholar] [CrossRef]
- Zhang, G.; Vivekanandan, J.; Brandes, E.A. A method for estimating rain rate and drop size distribution from polarimetric radar measurements. IEEE Trans. Geosci. Remote Sens. 2001, 39, 830–841. [Google Scholar] [CrossRef]
- Gorgucci, E.; Scarchilli, G.; Chandrasekar, V.; Bringi, V.N. Measurement of mean raindrop shape from polarimetric radar observations. J. Atmos. Sci. 2000, 57, 3406–3413. [Google Scholar] [CrossRef]
- Brandes, E.A.; Zhang, G.; Vivekanandan, J. Drop size distribution retrieval with polarimetric radar: Model and application. J. Appl. Meteorol. 2004, 43, 461–475. [Google Scholar] [CrossRef]
- Cao, Q.; Zhang, G.; Brandes, E.A.; Schuur, T.; Ryzhkov, A.V.; Ikeda, K. Analysis of video disdrometer and polarimetric radar data to characterize rain microphysics in Oklahoma. J. Appl. Meteorol. Climatol. 2008, 47, 2238–2255. [Google Scholar] [CrossRef]
- Bringi, V.N.; Chandrasekar, V.; Hubbert, J.; Gorgucci, E.; Randeu, W.L.; Schonhuber, M. Raindrop Size Distribution in Different Climatic Regimes from Disdrometer and Dual-Polarized Radar Analysis. J. Atmos. Sci. 2003, 60, 354–365. [Google Scholar] [CrossRef]
- Chang, W.-Y.; Wang, T.-C.C.; Lin, P.-L. Characteristics of the Raindrop Size Distribution and Drop Shape Relation in Typhoon System in the Western Pacific from the 2D Video Disdrometer and NCU C-Band Polarimetric Radar. J. Atmos. Ocean. Technol. 2009, 26, 1973–1993. [Google Scholar] [CrossRef]
- Jung, S.-A.; Lee, D.-I.; Jou, B.J.-D.; Uyeda, H. Microphysical Properties of Maritime Squall Line Observed on June 2, 2008 in Taiwan. J. Meteorol. Soc. Jpn. 2012, 90, 833–850. [Google Scholar] [CrossRef]
- Kruger, A.; Krajewski, W.F. Two-Dimensional Video Disdrometer: A description. J. Atmos. Ocean. Technol. 2002, 19, 602–617. [Google Scholar] [CrossRef]
- Thurai, M.; Bringi, V.N. Drop axis ratios from a 2D video disdrometer. J. Atmos. Ocean. Technol. 2005, 22, 966–978. [Google Scholar] [CrossRef]
- Atlas, D.; Srivastava, R.C.; Sekhon, R.S. Doppler radar characteristics of precipitation at vertical incidence. Rev. Geophys. 1973, 11, 1–35. [Google Scholar] [CrossRef]
- Bringi, V.N.; Chandrasekar, V.; Balakrishnan, N.; Zrnic, D.S. An Examination of Propagation Effects in Rainfall on Radar Measurements at Microwave Frequencies. J. Atmos. Ocean. Technol. 1990, 7, 829–840. [Google Scholar] [CrossRef]
- Vivekanandan, J.; Adams, W.M.; Bringi, V.N. Rigorous approach to polarimetric radar modeling of hydrometeor orientation distributions. J. Appl. Meteorol. 1991, 30, 1053–1063. [Google Scholar] [CrossRef]
- Ray, P.S. Broadband complex refractive indices of ice and water. Appl. Opt. 1972, 11, 1836–1844. [Google Scholar] [CrossRef]
- Beard, K.V.; Chuang, C. A new model for the equilibrium shape of raindrops. J. Atmos. Sci. 1987, 44, 1509–1524. [Google Scholar] [CrossRef]
- Pruppacher, H.R.; Beard, K.V. A wind tunnel investigation of the internal circulation and shape of water drops falling at terminal velocity in air. Quart. J. Roy. Meteorol. Soc. 1970, 96, 247–256. [Google Scholar] [CrossRef]
- Brandes, E.A.; Zhang, G.; Vivekanandan, J. Experiments in Rainfall Estimation with a Polarimetric Radar in a Subtropical Environment. J. Appl. Meteorol. 2002, 41, 674–685. [Google Scholar] [CrossRef]
- Thurai, M.; Huang, G.J.; Bringi, V.N.; Randeu, W.L.; Schonhuber, M. Drop shapes, model comparisons, and calculations of polarimetric radar parameters in rain. J. Atmos. Ocean. Technol. 2007, 24, 1019–1032. [Google Scholar] [CrossRef]
- Beard, K.V.; Kubesh, R.J. Laboratory measurements of small raindrop distortion. Part 2: Oscillation frequencies and modes. J. Atmos. Sci. 1991, 48, 2245–2264. [Google Scholar] [CrossRef]
- Torres, D.S.; Porra, J.M.; Creutin, J.D. A general formulation for raindrop size distribution. J. Appl. Meteorol. 1994, 33, 1494–1502. [Google Scholar] [CrossRef]
- Cao, Q.; Zhang, G. Errors in estimating raindrop size distribution parameters employing disdrometer and simulated raindrop spectra. J. Appl. Meteorol. Climatol. 2009, 48, 406–425. [Google Scholar] [CrossRef]
- Thurai, M.; Gatlin, P.; Bringi, V.N.; Petersen, W.; Kennedy, P.; Notaroš, B.; Carey, L. Toward completing the raindrop size spectrum: Case studies involving 2D-video disdrometer, droplet spectrometer, and polarimetric radar measurements. J. Appl. Meteorol. Climatol. 2017, 56, 877–896. [Google Scholar] [CrossRef]
- Chang, W.-Y.; Lee, G.; Jou, B.J.-D.; Lee, W.-C.; Lin, P.-L.; Yu, C.-K. Uncertainty in measured raindrop size distributions from four types of collocated instruments. Remote Sens. 2020, 12, 1167. [Google Scholar] [CrossRef]
- Lee, T.Y.; Kim, Y. Heavy Precipitation systems over the Korean peninsula and their classification. J. Korean Meteorol. Soc. 2007, 43, 367–396. [Google Scholar]
- Markowski, P.; Richardson, Y. Mesoscale Meteorology in Midlatitudes; John Wiley & Sons, Ltd.: Hoboken, NJ, USA, 2010; p. 245.1. [Google Scholar]
- Lee, J.-T.; Lee, D.; Shimizu, S.; You, C.-H. Analysis of determinants for an enhanced and long-lasting coastal convective system by means of a case study (26 July 2011). Adv. Atmos. Sci. 2019, 36, 1327–1339. [Google Scholar] [CrossRef]
- Ke, C.-Y.; Chung, K.-S.; Wang, T.-C.C.; Liou, Y.-C. Analysis of heavy rainfall and barrier-jet evolution during Mei-Yu season using multiple doppler radar retrievals: A case study on 11 June 2012. Tellus A Dyn. Meteorol. Oceanogr. 2019, 71, 1–21. [Google Scholar] [CrossRef]
- Houze, R.A. Mesoscale convective systems. Rev. Geophys. 2004, 42, RG4003. [Google Scholar] [CrossRef]
- Cho, Y.H.; Lee, G.W.; Kim, K.E.; Zawadzki, I. Identification and removal of ground echoes and anomalous propagation using the characteristics of radar echoes. J. Atmos. Oceanic Technol. 2006, 23, 1206–1222. [Google Scholar] [CrossRef]
- Ye, B.; Lee, G.W.; Park, H. Identification and removal of non-meteorological echoes in dual-polarization radar data based on a fuzzy logic algorithm. Adv. Atmos. Sci. 2015, 32, 1217–1230. [Google Scholar] [CrossRef]
- Chen, G.; Zhao, K.; Wen, L.; Wang, M.; Huang, H.; Wang, M.; Yang, Z.; Zhang, G.; Zhang, P.; Lee, W.-C. Microphysical characteristics of three convective events with intense rainfall observed by polarimetric radar and disdrometer in eastern China. Remote Sens. 2019, 11, 2004. [Google Scholar] [CrossRef]
- Uijlenhoet, R.; Steiner, M.; Smith, J.A. Variability of raindrop size distributions in a squall line and implications for radar rainfall estimation. J. Hydrometeor. 2003, 4, 43–61. [Google Scholar] [CrossRef]
- Jung, S.-H.; Lee, G.W. Radar-based cell tracking with fuzzy logic approach. Meteorol. Appl. 2015, 22, 716–730. [Google Scholar] [CrossRef]
















| Parameter | Value |
|---|---|
| Frequency (wavelength) | 2785 GHz (10 cm, S-band) |
| Location | 35°41′38″ N, 128°32′6″ E |
| Altitude | 1085 m |
| Beam width | 0.95° |
| Gate spacing | 125 m |
| Moments | Filtered , Unfiltered , Vr, SW, , , , |
| Elevation angles | −0.5°, 0.0°, 0.5°, 0.8°, 1.2°, 1.6° |
| Parameter | Specification |
|---|---|
| Horizontal resolution | Better than 0.18 mm |
| Vertical resolution | Better than 0.2 mm for vertical velocity < 10 ms−1 |
| Vertical velocity accuracy | Better than 4 % for vertical velocity < 10 ms−1 |
| Rain rate compared to tipping bucket | Differences typically < 10% |
| Sampling area | 100100 mm2 |
| Power consumption | Approx. 300 W (outdoor unit + indoor user terminal w/o wind sensor) |
| Mains voltage | 100 – 240 V, 50/60 Hz |
| Temperature range | −20 − 50 ℃ |
| Diameter range | 0.0 – 10.25 mm (41 channels) |
| Physical dimension | 850 × 850 × 850 (200) mm |
| Weight | Approx. 80 kg |
| Condition | Assumption |
|---|---|
| Wavelength | 10 cm (2.785GHz) |
| Temperature | 10℃ |
| Radar elevation angle | 0° |
| Mean canting angle | 0° |
| Standard deviation of canting angle | 10° |
| Drop shape formulas | Thurai et al. (2007) |
| Case | Number of Data | ||||||
|---|---|---|---|---|---|---|---|
| Correlation | SD | Bias | Correlation | SD | Bias | ||
| 30 Jun. | 178 | 0.74 | 0.16 | −0.02 | 0.48 | 0.41 | 0.04 |
| 06 Jul. | 52 | 0.58 | 0.22 | −0.10 | 0.22 | 0.64 | 0.24 |
| 11 Jul. | 34 | 0.56 | 0.16 | 0.04 | 0.58 | 0.37 | −0.03 |
| 17 Jul. | 74 | 0.72 | 0.22 | −0.05 | 0.10 | 0.59 | 0.06 |
| 10 Aug. | 29 | 0.76 | 0.17 | −0.05 | 0.34 | 0.27 | 0.02 |
| 13 Aug. | 94 | 0.77 | 0.23 | −0.03 | 0.25 | 0.62 | 0.06 |
| 22 Aug. | 94 | 0.84 | 0.21 | −0.05 | 0.56 | 0.43 | 0.09 |
| 23 Aug. | 331 | 0.79 | 0.16 | −0.02 | 0.45 | 0.38 | 0.05 |
| 24 Aug. | 182 | 0.65 | 0.12 | −0.01 | 0.41 | 0.30 | 0.03 |
| 28 Aug. | 186 | 0.56 | 0.21 | 0.03 | 0.24 | 0.47 | −0.08 |
| 30 Aug. | 51 | 0.59 | 0.24 | 0.06 | 0.18 | 0.78 | −0.30 |
© 2020 by the authors. Licensee MDPI, Basel, Switzerland. This article is an open access article distributed under the terms and conditions of the Creative Commons Attribution (CC BY) license (http://creativecommons.org/licenses/by/4.0/).
Share and Cite
Kwon, S.; Jung, S.-H.; Lee, G. A Case Study on Microphysical Characteristics of Mesoscale Convective System Using Generalized DSD Parameters Retrieved from Dual-Polarimetric Radar Observations. Remote Sens. 2020, 12, 1812. https://doi.org/10.3390/rs12111812
Kwon S, Jung S-H, Lee G. A Case Study on Microphysical Characteristics of Mesoscale Convective System Using Generalized DSD Parameters Retrieved from Dual-Polarimetric Radar Observations. Remote Sensing. 2020; 12(11):1812. https://doi.org/10.3390/rs12111812
Chicago/Turabian StyleKwon, Soohyun, Sung-Hwa Jung, and GyuWon Lee. 2020. "A Case Study on Microphysical Characteristics of Mesoscale Convective System Using Generalized DSD Parameters Retrieved from Dual-Polarimetric Radar Observations" Remote Sensing 12, no. 11: 1812. https://doi.org/10.3390/rs12111812
APA StyleKwon, S., Jung, S.-H., & Lee, G. (2020). A Case Study on Microphysical Characteristics of Mesoscale Convective System Using Generalized DSD Parameters Retrieved from Dual-Polarimetric Radar Observations. Remote Sensing, 12(11), 1812. https://doi.org/10.3390/rs12111812
