Abstract
The built environment, defined as all human-made infrastructure, is increasing to fulfill the demand for human settlements, productive systems, mining, and industries. Due to the profound direct and indirect impacts that the built environment produces on natural ecosystems, it is considered a major driver of land change and biodiversity loss, and a major component of global environmental change. In South America, a global producer of minerals and agricultural commodities, and a region with many biodiversity hotspots, infrastructure expanded considerably between 2001 and 2011. This expansion occurred mainly in rural areas, towns, and sprawling suburban areas that were not previously developed. Herein, we characterized the areas of major infrastructure expansion between 2001 and 2011 in South America. We used nighttime light data, land use maps, and socio-economic and environmental variables to answer the following questions: (1) Where are the hotspots of infrastructure expansion located? and (2) What combination of socio-economic and environmental variables are associated with infrastructure expansion? Hotspots of infrastructure expansion encompass 70% (337,310 km2) of the total infrastructure expansion occurring between 2001 and 2011 across South America. Urban population and economic growth, mean elevation, and mean road density were the main variables associated with the hotspots, grouping them into eight clusters. Furthermore, within the hotspots, woody vegetation increased around various urban centers, and several areas showed a large increase in agriculture. Investments in large scale infrastructure projects, and the expansion and intensification of productive systems (e.g., agriculture and meat production) play a dominant role in the increase of infrastructure across South America. We expect that under the current trends of globalization and land changes, infrastructure will continue increasing and expanding into no-development areas and remote places. Therefore, to fully understand the direct and indirect impacts of land use change in natural ecosystems studies of infrastructure need to expand to areas beyond cities. This will provide better land management alternatives for the conservation of biodiversity as well as peri-urban areas across South America.
1. Introduction
Human settlements, agriculture, and livestock production systems, as well as extractive activities have been increasing across the world [1,2,3,4]. This situation is particularly noteworthy in developing countries where a rapid expansion of urban areas has occurred [5], and the exploitation of natural resources is reaching remote places [6]. The increase in these human activities is a response to a growing human population coupled with an increase in per capita consumption of goods and commodities [7]. National policies and international investments in large-scale development projects have also contributed to the increase of different human activities [4,8]. All these activities require a diverse array of human-made infrastructure (hereafter infrastructure) such as silos, sheds, mines, factories, houses, buildings, port facilities, and hydroelectric dams. Therefore, infrastructure, which can be broadly defined as the built environment, has increased as a direct or indirect result of human activities [9].
Due to the profound direct and indirect impacts that the built environment has on natural ecosystems, it is considered a human pressure [10], a major driver of land change and biodiversity loss [11,12], and a major component of global environmental change [13]. For instance, the built environment can negatively impact natural resources [14], modify landforms [15], and alter natural ecosystems [16,17] and biogeochemical cycles [13]. Furthermore, the built environment can lead to habitat loss and environmental degradation [13,18]. Additionally, urban areas, which are part of the built environment, can negatively impact protected areas located as far as 100 km away [19]. The environmental implications of the built environment can be so drastic that even in areas where infrastructure occurs in low densities, such as suburban, rural areas, and remote places, and regardless of the magnitude of the infrastructure (e.g., residential or industrial) species and ecosystems are negatively impacted by its establishment and expansion [20,21,22]
Between 2001 and 2011, South America experienced a total expansion of the built environment of approximately 480,000 km2, representing 2.7% of the continent [9]. Most of the expansion (93%) occurred in rural areas, towns, and sprawling suburban areas that were not previously developed [9]. In addition, South America presents contrasting spatial patterns of human pressure, including areas with no measurable human footprint (e.g., remote areas in the Amazon basin) and areas with high pressure (e.g., southeast of Brazil) [10]. South America also contains five biodiversity hotspots [23] and the largest area of tropical forest [24]. At the same time, it is a major world producer of oil, natural gas, minerals, ethanol [25,26], and many agricultural products [27]. Furthermore, these agricultural activities could expand over 172.5 million ha of potential cropland located mainly in the Chaco region, the Brazilian Cerrado, and the Brazilian and Bolivian Amazon [28]. In addition, urbanization has been fast and unplanned in most cities [29], leading to a spatial increase in urban infrastructure.
In this study, we spatially identified and characterized the areas of major infrastructure expansion (i.e., hotspots) between 2001 and 2011 in South America. Specifically, we addressed the following questions: (1) Where are the hotspots of infrastructure expansion located? and (2) What socio-economic and environmental variables are associated with regions of rapid infrastructure expansion? The answers to these questions will help us to understand the underlying causes shaping land conversion in the built environment. Here, we show how contrasting socio-economic and environmental variables shape land conversion across the continent, and therefore provide useful information for land planners, international agencies, and the scientific community interested in socio-ecological land system science.
2. Methods
2.1. Infrastructure Expansion in South American between 2001 and 2011
Here, we define infrastructure in a general way without taking into account its location in a rural or urban setting. We used the definition of built-up structure used in the global human settlement layer (GHSL) as synonymous for infrastructure. The GHSL defines a built-up structure as an “enclosed construction above ground intended or used for the shelter of humans, animals, things, or for the production of economic goods or the delivery of services” [30,31]. In this study, roads are not considered as a separate infrastructure type as roads with lights are in general associated with other infrastructure types such as residential or industrial buildings mostly located near urban areas. Therefore, we assumed that roads with lights in areas without any other human infrastructure in a 1 km2 area (the pixel resolution of NTL data) are limited.
To identify the hotspots of infrastructure expansion in South America between 2001 and 2011, an infrastructure change map (2001–2011) created using nighttime lights (NTL) data was used [9]. NTL data was derived from the Defense Meteorological Satellite Program Operation Linescan System (DMSP-OLS) and intercalibrated by Zhang et al. [32]. NTL images have a spatial resolution of approximately 1 × 1 km, and use the digital number (DN) value of each pixel in a range from 0 (no lights) to 63 (brightest lights) to represent the light intensity or brightness of anthropogenic lights from human settlements, industrial lights, and other sites with persistent light [33].
NTL change was used as a proxy for infrastructure change in South America because: (1) lights from electric sources, which can be measure as electrification rate, are high (70–99%) in South American countries and varied little during the study period (6% on average); and (2) there is a significant positive relationship between the change in the number of houses (one type of infrastructure) with total NTL change between the study period at country level (Supplementary Figure S1). Therefore, NTL data can capture most of the increase in infrastructure in South America [9].
NTL data were classified into three classes along an infrastructure density gradient: no-development (ND), scattered (SC), and aggregated (AG) (Figure 1). The ND class corresponded to areas with no or minimal infrastructure, such as forests, grassland, and plantations. The SC class corresponded to areas of low infrastructure density, such as rural areas, towns, farms (e.g., agriculture fields with infrastructures), and sprawling suburban areas. The AG class was defined as areas where infrastructure dominated the landscape. This class was mainly represented by cities where infrastructure ranged from intermediate to high density. Using the infrastructure change map (2001–2011) and the transition matrix for the three infrastructure classes we extracted the information on the extent of the following infrastructure expansion transitions: from no-development to scattered (ND-SC), from no-development to aggregated (ND-AG), and from scattered to aggregated (SC-AG) (Figure 1). A detailed explanation of the methodology used to create the map can be obtained in Andrade-Núñez; Aide [9].
Figure 1.
From nighttime light (NTL) images, the infrastructure change between 2001 and 2011 in South America. The figure depicts the process of NTL images classification into the three infrastructure density classes: no-development (ND), scattered (SC), and aggregated (AG). (a) NTL image for South America for 2001. The insert (yellow square) is represented in panels b-e and is an area in the State of Pará, Brazil. (b) NTL image for 2001. (c) NTL image for 2011. (d) Infrastructure change map between 2001 and 2011. (e) Google Earth high resolution image from 2011 showing two urban areas in the south and mining and refinery infrastructure in the north that correspond with areas of increased NTL.
2.2. Infrastructure Expansion Hotspots
An optimized hotspot analysis (ArcGIS 10.5) was used to identify areas of significant total infrastructure expansion across South America. The hotspot analysis identified statistically significant clusters of high and low values (i.e., hotspots and coldspots, respectively) and determined the probability that spatial clustering was not due to random chance. Hotspot analysis is based on the spatial statistical framework (Getis-Ord G* statistic, Z scores, and p-values) that compared in our case local infrastructure expansion values with neighboring values. This analysis has been used to identify hotspots of forest loss [34,35]. We define a hotspot of infrastructure expansion as a contiguous area that shows statistically significant clustering in the spatial pattern of total infrastructure expansion.
Total infrastructure expansion was defined as the sum of the following transitions: ND-SC, ND-AG, and SC-AG. We used a grid of 155,855 hexagons of 115.47 km2 each which covered all South America. To obtain NTL data (specifically infrastructure transition classes) at the hexagon scale we performed to following steps: (1) convert raster NTL to shapefile; (2) perform a union analysis (geoprocessing tool) between the NTL and the hexagon grid; and 3) extract the total area of the three infrastructure transition classes (ND-SC, ND-AG, SC-AG) for each hexagon. The hexagon area of 115.47 km2 was selected to match the scale of analysis of relevant studies of land use change [36,37] to facilitate comparisons. Using a hexagonal grid to find neighbors is more straightforward than using circles or squares, because the edge or length of contact is the same on each side, and the centroid of each neighbor is equidistant. In addition, using equal area units ensures that the number of neighbors is similar for all features. This is important because, during the process of defining hotspot areas, each feature and its neighbors are assessed to spatially allocate clusters of high values. For this analysis, a small hexagon size was selected so that small areas of infrastructure expansion were considered. Infrastructure expansion within hexagons varied greatly from 0 to 115.47 km2, with a mean of 3.07 km2 and a standard deviation of 9.16 km2.
To avoid subjectivity in the selection of the scale of analysis (i.e., optimal fixed distance band) we chose to use the average distance selected by the analysis. This decision was made after performing the analysis using different scales. Regardless of the scale of the analysis, the hotspot areas were consistent, however, the average distance selected by the analysis (30 neighbors defined as 30,976 m) was able to capture small and large hotspot areas, depicting local trends across South America [35]. The coordinate system for the spatial analysis was South America 1969 and the projected coordinate system was South America Albers Equal Area Conic.
The analysis identified 20,573 hexagons with statistically significant high values based on an FDR (False Discovery Rate) correction for multiple testing and spatial dependence. A hexagon had a statistically significant value if it was surrounded by hexagons where infrastructure expansion occurred; therefore, it was possible for a hexagon with no infrastructure expansion to be included in a hotspot if its neighbors had significant expansion. The hexagons with statistically significant values aggregated into 206 hotspots, ranging in size from 115 km2 to 770,345 km2 (Supplementary Figure S2).
2.3. Socio-Economic and Environmental Variables Associated with Hotspots of Infrastructure Expansion
2.3.1. Socio-Economic and Environmental Variables
To understand which socio-economic and environmental variables were associated with regions of rapid infrastructure expansion (i.e., hotspots) eight socio-economic and environmental variables were used: agriculture change (km2), pasture change (km2) and woody vegetation (natural tree cover and shrubs) change (km2), mean elevation (m), mean road density (km/km2), mean purchasing power parity change (PPPch) (US billion dollars), as well as urban and rural population change.
These eight variables (Table 1) were selected to characterize infrastructure expansion hotspots because they can have a direct or indirect relation with infrastructure and land use changes [38,39,40,41,42]. For example, agricultural and pasture lands are generally located near roads, and a positive relationship exists between the presence of road infrastructure and deforestation for agriculture [38]. In addition, investment in infrastructure has been identified as an important factor driving agriculture expansion [28]. The increase in urban population generally drives urban expansion, which can be related to an increase in infrastructure investment in urban areas and even in rural areas in important agricultural zones [42]. On the other hand, the size of the rural population may limit agricultural expansion, but in many areas, an increase in the rural population is related to an increase in workers to support large-scale production systems [28].
Table 1.
Socio-economic and environmental variables used to characterize infrastructure expansion hotspot areas in South America. Relevant source and variable information are provided.
These eight variables were calculated at the hexagon scale (~115 km2) and summed or averaged at hotspot and South America scales. Land-use change data (i.e., agriculture, pasture, and woody change) were from a set of annual land use/cover maps derived from MODIS (MODerate Resolution Imaging Spectroradiometer) data at 250-m pixel resolution. These maps have been used in previous studies [27,43,44,45], and a detailed description of the methodology used to create them can be found in the work of Clark et al. [43] and Graesser et al. [27]. In this study, a subset of the data comprising South America for the years 2001 and 2011 were used. Mean elevation data was calculated from the SRTM 90 m Digital Elevation Data acquired from the CGIAR CSI (Consortium for Spatial Information). We used road density data from the Global Roads Open Access Data Set, Version 1 (gROADSv1). Road density (km/km2) was calculated at the hexagon level by extracting total road length in km for each hexagon and calculating its density. We used purchasing power parity (PPP) data from the Global Gridded Geographically Based Economic Data (G-Econ) v4. PPP is the exchange rate between a country’s currency and U.S. dollars adjusted to reflect the actual cost in U.S. dollars of purchasing a standardized market basket of goods in that country using the country’s currency [46]. Therefore, the PPP measure of gross domestic product attempts to equalize purchasing power across countries so a dollar of PPP should buy the same amount of goods in every country [39]. Specifically, the change of PPP between 2000 and 2005 was used (Table 1). To obtain mean PPP change at the hexagon scale, we first performed a change analysis (2000–2005), rescaled to the 0.05 degree, and extracted the mean value of PPP change for each hexagon. In addition, the mean value for each hotspot based on hexagon value was calculated. We used the urban and rural population dataset at municipality level (i.e., third administrative unit) created by Andrade-Núñez; Aide [9]. Population data were obtained from the last two censuses for each country from Redatam (http://www.redatam.org/redatam/en/index.html) and national census webpages, and was extrapolated to 2001 and 2011 when necessary using the arithmetic rate of increase formula. A detailed explanation of the methodology used to create the population dataset at the municipality level can be obtained in Andrade-Núñez; Aide [9]. Urban and rural population at municipality were rescaled to the hexagon level by first calculating population density at municipality level and then calculating the population of each hexagon within a municipality based on the hexagon area. All spatial analyses were performed using ArcGIS 10.5.
2.3.2. Hotspot and Cluster Analyses
To identify common socio-economic and environmental attributes among the hotspots of infrastructure expansion, a nonmetric multidimensional scaling (NMDS) and cluster analyses, using vegan [47] and Nbclust [48] packages respectively, were performed in RStudio 1.1.414 (https://rstudio.com/). For these two analyses, the four largest hotspots (with a total area larger than 100,000 km2) were excluded because of their extreme sizes and the large socio-economic and environmental values prevented the analysis from finding an optimal and representative ordination. Each of the four hotspots were considered separately, and socio-economic and environmental variables were used at the hexagon level to describe their socio-economic and environmental characteristics. The main matrix for the NMDS analysis included the sum or average, respectively, of the eight socio-economic and environmental variables for all the hexagons within each of the 202 hotspots. The variables included were agriculture, pasture, and woody net change, mean elevation, mean road density, mean purchasing power parity (i.e., economic) change, as well as urban and rural population change.
Specifically, the following steps were performed using different functions within the vegan and NbClust packages: (1) the main matrix was standardized by range; (2) an NMDS was conducted using the function metaMDS based on Euclidean distance and three dimensions. The maximum number of random starts was set to 200; and (3) once we obtained the ordination with the lowest stress value (an index of agreement between the distances in the graph configuration and the distances in the original data matrix) [49], we evaluated the correlation and the significance of each socio-economic variable with the ordination (i.e., NMDS solution) by fitting a second environmental matrix to the three-dimensional ordination using the function envfit. The significance of fitted vectors was assessed using permutation tests with 999 random permutations of the data [50]. The second matrix was composed by the eight socio-economic and environmental variables for the 202 hotspots. Through these steps, we were able to identify the variables that were correlated with the ordination. To better recognize clusters (i.e., groups of hotspots that share similar characteristics) among the infrastructure expansion hotspots (4) an optimal cluster analysis was performed using the NbClust package, which identifies the optimal number of clusters after testing 30 indices of clustering performance. The socio-economic variables standardized by range were used as input data, the distance measure selected was Euclidean, and the agglomeration method selected was ward.D2. This agglomeration method minimizes the total within-cluster variance because at each step it finds the pair of clusters that leads to a minimum increase in total within-cluster variance after merging.
3. Results
3.1. Infrastructure Expansion Hotspots
We identified 20,573 hexagons with statistically significant high values of infrastructure expansion, which were aggregated into 206 areas of major infrastructure expansion (i.e., hotspots) (Figure S2). The hotspots included four very large continuous areas in NE Brazil, SE Brazil, Ecuador and Argentina, some large hotspots in Venezuela, Brazil, Colombia, Ecuador, Chile and Argentina, and several medium to small hotspots dispersed across Brazil, Peru, Colombia, Bolivia, Paraguay, Uruguay, Argentina, and Suriname. No hotspot was identified in Guyana and French Guiana (Supplementary Figure S2). The size of hotspots varied greatly, ranging from 115 km2 to 771,141 km2, with a mode of 115 km2.
Hotspots covered a total area of 2,328,484 km2 (13%) of the South American continent in 2011 and encompassed 337,310 km2 (70%) of the infrastructure expansion area between 2001 and 2011 (Table 2). Approximately 10.4% (35,178 km2) of this expansion occurred in no-development areas (i.e., ND-SC and ND-AG classes) in hexagons without previous infrastructure (i.e., no SC-SC and AG-AG transition classes) (Supplementary Figure S3).
Table 2.
The values of nine socio-economic and environmental variables for the infrastructure expansion hotspots and for all of South America.
We found differences in the socio-economic and environmental characteristics between the hotspots of infrastructure expansion and the overall pattern for South America (Table 2). For instance, although the area of pasture increased in South America, it decreased within the infrastructure expansion hotspots between 2001 and 2011 (Table 2). Woody vegetation demonstrated a net increase of 11,708 km2 within the hotspots, but a net decrease at the scale of South America (Table 2). On the other hand, agriculture, economy (measured as mean purchasing power parity), and urban and rural population showed similar changes at the hotspot and South America scales (Table 2).
3.2. A Comparison of Socio-Economic and Environmental Variables among Infrastructure Expansion Hotspots
The ordination of the 202 hotspots of infrastructure expansion based on socio-economic and environmental attributes had three dimensions and a final stress value of 0.0754, indicating an adequate projection of the dissimilarity matrix [47]. All variables were significantly correlated with the ordination (p-value ≤ 0.003) (Table 3), however, mean elevation (r2 = 0.94) and mean road density (r2 = 0.93) had the highest correlation coefficients, followed by urban population change (r2 = 0.53) and mean purchasing power parity change (r2 = 0.46) (Table 3, Figure 2).
Table 3.
Non-metric multidimensional scaling ordination (NMDS) results showing the location of the head arrow for each variable on a three-axis ordination (NMDS1, NMDS2, and NMDS3), correlation coefficient (r2), and p-value for each variable used to explain the ordination of the 202 hotspots of infrastructure expansion in South America. This analysis excluded the four largest hotspots.
Figure 2.
Non-metric multidimensional scaling ordination (NMDS) of the 202 infrastructure expansion hotspots in a three-dimension solution based on socio-economic and environmental variables. Colors represent hotspots with similar socio-economic and environmental variables obtained in the cluster analysis. Lines indicate the direction and strength of the variables on the axes. (a) Clusters separated mainly based on mean elevation (Elev) and mean road density (Road). (b) Urban population change (UrbPch) and economic change (PPPch) separated clusters in the NMDS2 axis. The contributions of the other variables are also depicted. See Table 3 for detailed information of the NMDS results. Other abbreviations: Agrch = agriculture change, RurPch = rural population change, Wdch = woody change, Pach = pasture change.
The 202 hotspots of infrastructure expansion were clustered into four groups based on the optimal cluster analysis. We named the four clusters, based on the socio-economic and environmental variables that grouped the hotspots, as follows: urban sprawl (n = 12), agriculture expansion (n = 125), highland mining (n = 17), and lowland rural development (n = 48) (Figure 2 and Figure 3).
Figure 3.
Socio-economic and environmental trends associated with the 206 hotspots of infrastructure expansion across South America. A total of eight clusters (sharing similar socio-economic and environmental characteristics) of hotspots were identified based on Hotspot, NMDS, and cluster analyses.
In addition, the four very large continuous hotspots of infrastructure expansion (Supplementary Figure S2) were considered as individual clusters. We named these clusters as Argentina Humid Pampas, Brazil megalopolis, Caatinga, and Ecuador Coastal and Mountain (Ecuador C&M) (Figure 3).
The eight clusters of infrastructure expansion (Figure 3) showed differences in total extent and in the area of infrastructure expansion within them (Figure 4, Table 4). The Brazil megalopolis was the largest cluster with a total area of 771,141 km2 and 118,935 km2 of infrastructure expansion while the highland mining cluster had a total area of 66,899 km2, of which 7667 km2 showed an increase in infrastructure between 2001 and 2011 (Figure 4 and Table 4). The Caatinga region had the largest percent (17.5%) of infrastructure expansion area in relation to the cluster size, while highland mining had the smallest percent (11.8%) (Figure 4).
Figure 4.
Total area and infrastructure expansion area of the eight clusters of infrastructure expansion in South America. Numbers above infrastructure expansion bars represent the percent of infrastructure expansion area in relation to the total area of the cluster.
Table 4.
Socio-economic and environmental characteristics of the eight infrastructure expansion clusters. Land-use and population change data were calculated between 2001 and 2011, and economic change was calculated using purchasing power parity data from 2000 and 2005.
Although the socio-economic and environmental variables varied among hotspots (or hexagons) within a cluster (Figure 5 and Figure 6), there was greater variation among the eight clusters than within them (Figure 7). For instance, agriculture increased in the following clusters: Brazil megalopolis (44,203 km2), agriculture expansion (19,295 km2), Argentina Humid Pampas (9043 km2), and in the lowland rural development (1486 km2), while it decreased in the urban sprawl cluster (–8260 km2), Ecuador C&M (–984 km2), and in the Caatinga clusters (–854 km2) (Figure 7 and Table 4). Pastureland expanded the most in the lowland rural development cluster (5097 km2), and in the Ecuador C&M cluster (4543 km2), and decreased in the Brazil megalopolis (–59,124 km2), followed by the Caatinga (–14,265 km2), the agriculture expansion (–9315 km2), and the Argentina Humid Pampas (–6629 km2) clusters (Figure 7, Table 4). Woody vegetation increased in the Caatinga (15,978 km2), the Brazil megalopolis (11,235 km2) and in the urban sprawl (10,021 km2) clusters, and decreased in the other clusters (Figure 7 and Table 4). Agriculture expansion and lowland rural development were the clusters where woody vegetation decreased the most with a net reduction of 12,841 km2 and 6290 km2, respectively (Figure 7 and Table 4).
Figure 5.
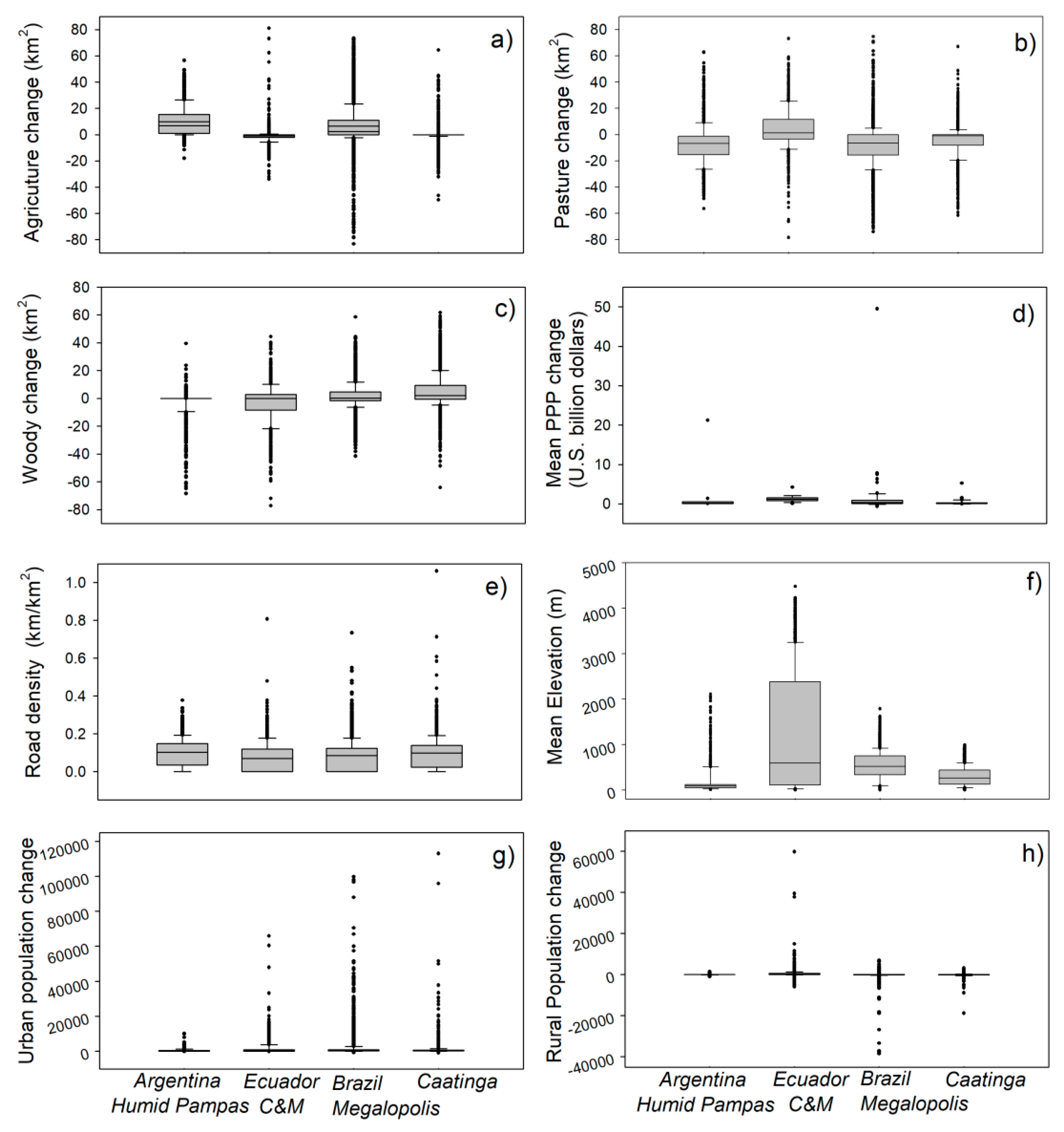
Socio-economic and environmental characteristics of the four largest and continuous clusters of infrastructure expansion identified across South America. Variables included are: (a) agriculture, (b) pasture, and (c) woody change between 2001 and 2011; (d) mean purchasing power parity (PPP) change between 2000 and 2005; (e) road density;(f) mean elevation, and (g) urban and (h) rural population change between 2001 and 2011. Data is provided at the hexagon level (~115 km2), and outliers are shown as black dots.
Figure 6.
Socio-economic and environmental characteristics of four clusters of infrastructure expansion identified across South America using cluster analysis. Variables included are: (a) agriculture, (b) pasture, and (c) woody change between 2001 and 2011; (d) mean purchasing power parity (PPP) change between 2000 and 2005; (e) road density; (f) mean elevation, and (g) urban and (h) rural population change between 2001 and 2011. Data are provided at the infrastructure expansion hotspot level, and outliers are shown as black dots.
Figure 7.
Land-use changes between 2001 and 2011 in major areas (i.e., clusters) of infrastructure expansion in South America. Land uses represented are: woody, agriculture, and pasture. The exact value of each land-use transition for each cluster is shown in Table 4.
Economic activity, measured as purchasing power parity change, varied among the clusters. The urban sprawl and the Brazil megalopolis clusters demonstrated the greatest economic growth, while the highland mining cluster had the lowest economic increase between 2000 and 2005 (Table 4). The lowland rural development cluster had low road density, while the Argentina Humid Pampas, highland mining, and agriculture expansion clusters had the densest road network (Table 4). In general, the hotspots of infrastructure expansion were located in low elevation zones (Figure 3, Table 4) as most urban areas and productive lands are generally located in lowlands and coastal areas [51]. The Caatinga and lowland rural development clusters were located mainly in areas <1000 m, while the highland mining cluster was composed of hotspots of infrastructure expansion located above 2500 m (Table 4). Urban population increased in all clusters, but the largest increase occurred within the Brazil megalopolis, urban sprawl, agriculture expansion, and the Caatinga clusters (Table 4). Regarding the rural population, while some clusters demonstrated a net increase in rural population (e.g., Ecuador C&M, urban sprawl, and lowland rural development), in others, there was a decline in the rural population (e.g., Brazil megalopolis, Caatinga, agriculture expansion, highland mining, and in the Argentina Humid Pampas) (Table 4).
4. Discussion
4.1. Infrastructure Expansion Hotspots
Hotspots of infrastructure expansion encompassed 70% (337,310 km2) of the expansion previously reported in South America between 2001 and 2011 [9] (Table 2). The hotspots included large cities such as Sao Paulo, Rio de Janeiro, Belo Horizonte, Santiago, Medellín, Quito, Santa Cruz, La Paz, and Asunción. The hotspots also included many small and medium-sized urban areas. These cities have been expanding at a faster rate than larger cities [52], and infrastructure expansion occurred mainly in municipalities with an urban population of less than 50,000 [9]. Despite differences in the rate and spatial configuration of urban expansion amongst urban areas in South America, there is a general trend of increasing urban sprawl without planning around the fringes of most cities [53,54,55]. This general pattern of unplanned urban expansion has resulted in an increase in infrastructure investments to meet the demand for public services [56].
Furthermore, 10.4% of the increase in infrastructure occurred in areas without previous development (i.e., rural areas) (Supplementary Figure S2). We expect that the expansion of infrastructure in rural areas is likely to continue due to the increasing demand for productive systems (e.g., mechanized agriculture, livestock, and plantations), hydroelectric dams, oil extraction, mining, and housing. All these activities require infrastructure and services (e.g., roads, buildings, sheds, and electricity). For instance, several hotspots were mining sites located across the Amazonian lowlands in Colombia, Suriname, Ecuador, Peru, and Brazil [57], while many others overlap with major areas of agriculture expansion [27].
4.2. Infrastructure Expansion Hotspots: Socio-Economic and Environmental Net Changes at Regional Scale
Several infrastructure expansion hotspots overlap with areas of significant cropland expansion in Argentina, Brazil, Paraguay, and Uruguay [27], which could explain the net increase of 63,800 km2 of agriculture between 2001 and 2011 within the hotspots (Table 2). The net reduction in pasture (−77,013 km2) within hotspots could be a consequence of a regional intensification of agriculture, which led to the replacement of pastures by cropland [27]. In addition, many infrastructure expansion hotspots overlap with areas of major reforestation across South America [58], which could explain the net increase of 11,708 km2 on woody vegetation within hotspots (Table 2). This increase in woody vegetation could be explained by the differing socioeconomic conditions observed in different areas. For instance, the Caatinga underwent reforestation due to an increase in rainfall coupled with a decline in agriculture (e.g., corn, wheat, coffee, and rice), and rural population [44,59]. Meanwhile, in other areas, such as within the Brazil megalopolis and the urban sprawl clusters (Figure 7), the increase in woody vegetation could be related to peri-urban forest expansion associated with environmental policies [58,60,61].
Fifty-three percent of the increase in urban population in South America occurred within the infrastructure expansion hotspots (Table 2). As mentioned before, hotspots included large to small urban areas, and many cities have experienced an increase in urban population coupled with urban expansion [62,63]. For instance, areas within the Brazil megalopolis cluster experienced a dramatic pattern of industrialization and urbanization during recent decades [64]. Furthermore, hotspots included urban areas considered important centers of economic growth and major productive zones (Figure 3), which can explain the differences in mean road density and economic growth in comparison with South America (Table 2). The noticeable decline in rural population within the infrastructure expansion hotspots (Table 2) can be a consequence of rural-urban and international migration due to agricultural intensification and severe climatic conditions that occurred in some of these areas during the study period [63,65,66].
4.3. Socio-Economic and Environmental Characteristics of Infrastructure Expansion Hotspots
The expansion of the built environment is a complex process linked to a myriad of variables, including social, economic, topographic, and environmental factors, and no single driving force or set of driving forces explained the infrastructure expansion across South America. Instead, the spatial pattern of infrastructure expansion coupled with different combinations of four main factors (mean elevation, mean road density, urban population change, and mean purchasing power parity change) clustered hotspots with similar or regional socio-economic and environmental conditions (Table 3, Figure 2 and Figure 3).
Clusters of Infrastructure Expansion
Argentina Humid Pampas: Infrastructure expansion in this cluster (12,381 km2) could be associated with the expansion of agriculture (net increase of 9043 km2) coupled with urban population growth (net increase of 465,402 people). Pastures, natural grasslands, and forests previously used for cattle grazing have been converted into cropland (mainly soybean), and the number of feedlots has been increasing [67]. The intensification of agriculture and livestock production is accompanied by an increase in infrastructure needed to maintain supplies (e.g., fertilizer, machinery, food), and store harvested crops. Furthermore, the region stands out as an important economic area and is located within the most important agricultural zone in Argentina. The cities of Rosario and Córdoba are rated as the best Argentinean business places due to the dense transportation network (e.g., Rosario–Córdoba highway), natural resources availability, port infrastructures, and accessibility to market, among others. Agro-industries and specialized ports are located along the Paraná River, and an increase in infrastructure has been needed to process and transport the increasing export-oriented production.
Ecuador Coastal and Mountain: The large extent (17,446 km2) and continuous spatial pattern of infrastructure expansion in this cluster could be related with the social and economic consequences of an increasingly urban and rural population (1,552,182, and 594,422 respectively). In Ecuador, urban areas showed high growth rates, and urban expansion occurred in major cities such as Quito and Guayaquil, as well as in medium-sized cities (e.g., Manta, Cuenca, and Esmeraldas) [68]. In rural areas, the diversification of the rural economy [69] and remittances contribute to the economic subsistence of smallholders [70], preventing migration to urban centers. Since 2000, remittances from emigrants has become the second largest source of national income, after oil exports, and this economic input is used primarily for housing [71]. The large investment in housing and land has transformed once rural areas into a peri-urban/agricultural landscape [72]. Furthermore, in suburban and rural areas, land fractioning has increased the number of retirement and second homes of foreign citizens, especially in touristic areas with an international reputation such as Cotacachi, Vilcabamba, and Cuenca cities [73].
Brazil megalopolis: This is the largest continuous cluster with 118,935 km2 of infrastructure expansion (Figure 3). The Brazil megalopolis is a major agricultural (increase of 44,203 km2) and economic (mean PPP change: 1.55 US Billion dollars) region and is highly urbanized (9,460,190 of urban population increase). The expansion of large-scale farming (mainly soybean) far from urban areas increased the demand for infrastructure (e.g., transportation and storage logistics) [37]. In addition, sugarcane production for biofuels has increased and replaced pastures [74]. Investments for sugarcane/ethanol production are concentrated in the states of Sao Paulo and Mato Grosso do Sul [75], and the number of ethanol plants has increased. The cluster holds major urban agglomerations, of which many have expanded in a sprawling pattern [76]. Some of these cities include Londrina, Florianopolis, Belo Horizonte, Curitiba, Porto Alegre, Sao Paulo, and Rio de Janeiro, which play significant economic, technological, industrial, and touristic roles in South America.
Caatinga: Infrastructure increased 62,158 km2 between 2001 and 2011 within this cluster. This expansion could be explained by a combination of environmental and socio-economic conditions. The area experienced a decline in agriculture crops such as sugar cane, rice, corn, soybean, cotton, wheat, and coffee. This decline was a result of the loss of economic competitiveness and periods of severe drought [59]. Consequently, rural people, mostly smallholders, abandoned their lands (rural population decreased by 270,618 between 2001 and 2011 in this cluster) and migrated to urban areas within the region (urban population increased by 2,855,132). This rural–urban migration led to the development of strategic urban nodes which showed high rates of urban growth [77].
Urban sprawl: The increase in infrastructure (43,078 km2) in this cluster could be related to the expansion of urban areas [78] tied to industrial development. This region holds relevant economic areas, and within the study period, the mean PPP increased 2.57 US billion dollars. For instance, in Venezuela, urban areas have been expanding and industrial services have relocated to the fringe of cities [79]. In addition, infrastructure expansion occurred in urban areas within or near gas and oil exploitation zones (e.g., the areas related to the Orinoco Heavy Oil) [42], and in rural areas that have experienced an increase in infrastructure (e.g., oil and gas fields, pipelines, refineries, and terminals), and roads [80]. In Colombia, industrialization led the growth and expansion of economically important urban areas, such as Bogotá, Medellín, Cali, and Barranquilla [68]. In Brazil, the Brasilia–Goiania economic center played a key role in the economy of the region and experienced infrastructure expansion in a sprawling pattern [78,81,82]. Belem expanded rapidly with the advance of the agriculture frontier and economic development projects [83]. Similar urban growth patterns presented in major cities in Chile, and Paraguay (e.g., hotspots around Santiago and Asunción) (Figure 3) [82]. For instance, the metropolitan area of Santiago expanded, in a sprawling pattern, into agricultural land and natural vegetation on flat areas, and more recently into the Andean piedmont [55,82]. In general, land-use based activities (e.g., agriculture) on nearby rural areas do not constitute the main economic sources of these cities. Consequently, rural people did not have to migrate as a response to the lack of competitiveness due to agriculture intensification, a common scenario in areas where agriculture plays a key economic role [84]. Therefore, the rural population increase (481,716) between 2001 and 2011 in this cluster and urban population growth (6,328,442) could be a consequence of urban-urban migration.
Agriculture expansion: This cluster is composed of a large number of hotspots (n = 125), with a mean size of 4088 km2, located across South America (except in Guyana and French Guyana where the analysis identified no hotspots) (Figure 3). The increase in infrastructure (62,318.90 km2), could be related with the expansion of agriculture (19,295 km2) coupled with urban growth (3,753,095 people). For instance, agriculture expansion and intensification occurred in areas like San Luis, Tucumán/Santiago del Estero/Catamarca, Gualeguaychú, Mar del Plata (Argentina), Santa Cruz (Bolivia), Dourados, Vitoria da Conquista and Campo Grande (Brazil), San Pedro (Paraguay), and Canelones/San José (Uruguay). These areas experienced an increase in the built environment due to urban expansion, coupled with an increase in infrastructure related to agro-business (e.g., ethanol plants, silos, logistic facilities) which are generally located outside the fringe of urban areas [37]. An increase in feedlots was also observed in many hotspots. For example, water-dependent agriculture, feedlots (specifically for chicken) and urban areas have been expanding in the coastal desert region in Peru [85]. Furthermore, in several hotspots where agriculture did not expand considerably, mining and oil extraction activities, livestock production, and forestry could be linked to the expansion in infrastructure.
Highland mining: At higher elevations in the Andes, mining and the urbanization of large and medium urban areas (urban population increased by 927,533) could explain the expansion of infrastructure within this cluster (7667 km2). Large mining concessions in Peru, Bolivia, and Chile and at the border between Chile and Argentina were identified within this cluster (Figure 3). Examples of these concessions are the open pit mining project for gold, silver, copper in the border of Argentina and Chile, the lithium mining in the Salar de Atacama in Chile, gold, and other mineral mining in Bolivia, and copper mining in Southern Peru. In addition, urban population and economy have increased in many urban areas located within this cluster. For example, the medium-size cities of Cusco (approximately 348,935 inhabitants) and Cajamarca (approximately 162,326 inhabitants) in Peru have experienced large population and economic growth in the last decades due to their international importance for tourism and mining activities [86].
Lowland rural development: This cluster comprised 48 hotspots with a mean size of 2270 km2, and encompasses 13,325 km2 of infrastructure expansion in Venezuela, Colombia, Ecuador, Bolivia, Peru, Chile, Argentina, and Brazil (Figure 3). Lowland rural development was characterized by low road density (mean 0.03 km/km2) and low elevation (hotspots are located at mean elevation <1100 m) areas (Figure 5e,f). Most hotspots included small-medium size urban areas, and several were solely located in rural areas. In this cluster, urban population, agriculture and pastures increased (Figure 6 and Figure 7, Table 4) and infrastructure expansion could be related to the expansion and intensification of natural resource extraction activities [42,77]. For instance, the establishment of agrobusiness promotes urban population increase and urban expansion, as well as an increase in infrastructure (e.g., sheds, silos, and ethanol and pulp plants) in suburban and rural areas [37]. In addition to agriculture and cattle ranching, oil and babassu palms plantations [87,88], forestry [89] and cattle and chicken feedlots among others were land uses located within this cluster. Furthermore, infrastructure related to hydroelectric dams [90], mining [57], forestry [91], oil, and hydrocarbon extraction increased near and far from several urban areas within this cluster [92].
5. Conclusions
South America is being heavily exploited, and humans are using infrastructure to access, extract, and process natural resources, even in remote places. In addition, urban areas of all sizes are expanding across South America. Our study found that infrastructure expansion showed different socio-economic and environmental characteristics across the region, and that urban population growth and large economic investment in mining, as well as the expansion and intensification of productive systems (e.g., agriculture and meat production) play a dominant role. Under the current trends of globalization, infrastructure investments [93], and land changes, we foresee a continued increase of infrastructure expansion, reaching even remote areas and leading to deforestation and land degradation.
Our study also found a net increase of woody vegetation in some rural and peri-urban areas as well as an increase of cropland at the expenses of pasturelands. These are examples of positives land trends towards forest transition and land sustainability as forest is not being cleared to provide land for agriculture, and because cropland is in general a more efficient way to produce food than pasturelands [27]. Further research in this area is needed to identify which are the local and regional drivers of these trends, and to identify if these positive land trends are also occurring outside of the infrastructure hotspots. To fully address the direct and indirect impacts of land change in natural ecosystems, and to provide better management alternatives for the conservation of high biodiversity areas, and peri-urban areas with conservation value we highlight the need to: (1) focus the attention on the interactions of rural and small-medium sized urban areas; (2) consider infrastructure in land use change analysis beyond the general “built-up”/“urban” definition; and (3) delineate land planning regarding the establishment of infrastructure in suburban and rural areas.
Supplementary Materials
The following are available online at https://www.mdpi.com/2072-4292/12/1/116/s1, Figure S1: The use of night-time light (NTL) data as a proxy for infrastructure in South America. a) Electrification rate (%) (defined as the percentage of population with access to electricity) in 2000 and 2011 for 12 countries in South America. b) Relationship between the difference in housing units and NTL data between 2001 and 2011 in South America countries: including Brazil (left), and excluding Brazil, due to its extreme value (right). Figures were extracted from Andrade-Núñez, Aide [9]. Figure S2: Hotspot areas of infrastructure expansion between 2001 and 2011 in South America. Optimized hotspot analysis results are showed as following: Gi_Bin scores of: +3 (statistically significant at the 99 percent confidence level); + 2 (statistically significant at the 95 percent confidence level); + 1 (statistically significant at the 90 percent confidence level); and 0 (not statistically significant). Infrastructure expansion clusters are depicted. Figure S3: New infrastructure areas within hotspots of infrastructure expansion between 2001 and 2011 in South America. The red areas depict those hexagons (115 km2) that showed new infrastructure expansion (defined as the increase of infrastructure from no development to scattered (ND-SC), and from no-development to aggregated (ND-AG)), and had no scattered to scattered (SC-SC) or aggregated to aggregated (AG-AG) transition classes between 2001 and 2011.
Author Contributions
M.J.A.-N. compiled the data, performed the statistics and the spatial analysis, and wrote the first draft of the manuscript. M.J.A.-N. and T.M.A. contributed to the design of the study and manuscript revision. All authors have read and agreed to the published version of the manuscript.
Funding
The study was supported by NSF IGERT Grant # 0801577, the Dean of Graduate Studies at the University of Puerto Rico (Mérito Académico y Ejecutorias Excepcionales, and Dissertation Scholarships), the Puerto Rico Science Technology and Research Trust (Post-Hurricane Maria Aid for Researchers Grant), and the American Society of Naturalists (Hurricane Recovery Grant).
Acknowledgments
We thank Jordan Graesser for land-use/land-cover data assistance, Carolina Monmany, María Isabel Herrera-Montes, Ose Pauleus, David Clark, Nicole Gutierrez Ramos, Natalie Rodriguez, Ricardo Grau, Carlos Corrada, and three anonymous reviewers for their comments on the manuscript.
Conflicts of Interest
The authors declare no conflict of interest. The funders had no role in the design of the study; in the collection, analyses, or interpretation of data; in the writing of the manuscript, or in the decision to publish the results.
References
- Ramankutty, N.; Foley, J.A. Characterizing patterns of global land use: An analysis of global croplands data. Glob. Biogeochem. Cycles 1998, 12, 667–685. [Google Scholar] [CrossRef]
- Robinson, T.P.; Wint, G.R.W.; Conchedda, G.; Van Boeckel, T.P.; Ercoli, V.; Palamara, E.; Cinardi, G.; D’Aietti, L.; Hay, S.I.; Gilbert, M. Mapping the global distribution of livestock. PLoS ONE 2014, 9, e96084. [Google Scholar] [CrossRef]
- Seto, K.C.; Dhakal, S.; Bigio, A.; Blanco, H.; Delgado, G.C.; Dewar, D.; Huang, L.; Inaba, A.; Kansal, A.; Lwasa, S.; et al. Human Settlements, Infrastructure, and Spatial Planning. In Climate Change 2014: Mitigation of Climate Change. Contribution of Working Group III to the Fifth Assessment Report of the Intergovernmental Panel on Climate Change; Edenhofer, O., Pichs-Madruga, R., Sokana, Y., Farahani, E., Kadner, S., Seyboth, K., Adler, A., Baum, I., Brunner, S., Eickemeier, P., et al., Eds.; Cambridge University Press: Cambridge, UK; New York, NY, USA, 2014; pp. 923–1000. ISBN 978-1-107-65481-5. [Google Scholar]
- Bebbington, D.H.; Verdun, R.; Gamboa, C.; Bebbington, A.J. Impacts of Extractive Industry and Infrastructure on Forests. Assessment and Scoping of Extractive Industries and Infrastructure in Relation to Deforestation: Amazonia; Climate Land Use Alliance: San Francisco, CA, USA, 2018; 83p. [Google Scholar]
- Angel, S.; Parent, J.; Civco, D.L.; Blei, A.; Potere, D. The dimensions of global urban expansion: Estimates and projections for all countries, 2000–2050. Prog. Plan. 2011, 75, 53–107. [Google Scholar] [CrossRef]
- Laurance, W.F.; Sayer, J.; Cassman, K.G. Agricultural expansion and its impacts on tropical nature. Trends Ecol. Evol. 2014, 29, 107–116. [Google Scholar] [CrossRef] [PubMed]
- Grau, R.; Kuemmerle, T.; Macchi, L. Beyond “land sparing versus land sharing”: Environmental heterogeneity, globalization and the balance between agricultural production and nature conservation. Curr. Opin. Environ. Sustain. 2013, 5, 477–483. [Google Scholar] [CrossRef]
- Lambin, E.F.; Meyfroidt, P. Global land use change, economic globalization, and the looming land scarcity. Proc. Natl. Acad. Sci. USA 2011, 108, 3465–3472. [Google Scholar] [CrossRef]
- Andrade-Núñez, M.J.; Aide, T.M. Built-up expansion between 2001 and 2011 in South America continues well beyond the cities. Environ. Res. Lett. 2018, 13, 084006. [Google Scholar] [CrossRef]
- Venter, O.; Sanderson, E.W.; Magrach, A.; Allan, J.R.; Beher, J.; Jones, K.R.; Possingham, H.P.; Laurance, W.F.; Wood, P.; Fekete, B.M.; et al. Sixteen years of change in the global terrestrial human footprint and implications for biodiversity conservation. Nat. Commun. 2016, 7, 12558. [Google Scholar] [CrossRef]
- McKinney, M.L. Urbanization as a major cause of biotic homogenization. Biol. Conserv. 2006, 127, 247–260. [Google Scholar] [CrossRef]
- Seto, K.C.; Güneralp, B.; Hutyra, L.R.; Guneralp, B.; Hutyra, L.R. Global forecasts of urban expansion to 2030 and direct impacts on biodiversity and carbon pools. Proc. Natl. Acad. Sci. USA 2012, 109, 16083–16088. [Google Scholar] [CrossRef]
- Grimm, N.B.; Faeth, S.H.; Golubiewski, N.E.; Redman, C.L.; Wu, J.; Bai, X.; Briggs, J.M. Global Change and the Ecology of Cities. Science 2008, 319, 756–760. [Google Scholar] [CrossRef]
- Liu, J.; Daily, G.C.; Ehrlicht, P.R.; Luck, G.W. Effects of household dynamics on resource consumption and biodiversity. Nature 2003, 421, 530–533. [Google Scholar] [CrossRef]
- Rivas, V.; Cendrero, A.; Hurtado, M.; Cabral, M.; Giménez, J.; Forte, L.; del Río, L.; Cantú, M.; Becker, A. Geomorphic consequences of urban development and mining activities; an analysis of study areas in Spain and Argentina. Geomorphology 2006, 73, 185–206. [Google Scholar] [CrossRef]
- Chen, G.; Powers, R.P.; de Carvalho, L.M.T.; Mora, B. Spatiotemporal patterns of tropical deforestation and forest degradation in response to the operation of the Tucuruí hydroelectricdam in the Amazon basin. Appl. Geogr. 2015, 63, 1–8. [Google Scholar] [CrossRef]
- Jiang, X.; Lu, D.; Moran, E.; Freitas Calvi, M.; Vieira Dutra, L.; Li, G. Examining impacts of the Belo Monte hydroelectric dam construction on land-cover changes using multitemporal Landsat imagery. Appl. Geogr. 2018, 97, 35–47. [Google Scholar] [CrossRef]
- Lees, A.C.; Peres, C.A.; Fearnside, P.M.; Schneider, M.; Zuanon, J.A.S. Hydropower and the future of Amazonian biodiversity. Biodivers. Conserv. 2016, 25, 451–466. [Google Scholar] [CrossRef]
- Mcdonald, R.I.; Forman, R.T.T.; Kareiva, P.; Neugarten, R.; Salzer, D.; Fisher, J. Urban effects, distance, and protected areas in an urbanizing world. Landsc. Urban Plan. 2009, 93, 63–75. [Google Scholar] [CrossRef]
- Deichmann, J.L.; Hernández-Serna, A.; Campos-Cerqueira, M.; Aide, T.M. Soundscape analysis and acoustic monitoring document impacts of natural gas exploration on biodiversity in a tropical forest. Ecol. Indic. 2017, 74, 39–48. [Google Scholar] [CrossRef]
- Finer, M.; Jenkins, C.N. Proliferation of hydroelectric dams in the andean amazon and implications for andes-amazon connectivity. PLoS ONE 2012, 7, e35126. [Google Scholar] [CrossRef]
- Hansen, A.J.; Knight, R.L.; Marzluff, J.M.; Powell, S.; Brown, K.; Gude, P.H.; Jones, K. Effects of Exurban Development on Biodiversity: Patterns, Mechanisms, and Research Needs. Ecol. Appl. 2005, 15, 1893–1905. [Google Scholar] [CrossRef]
- Myers, N.; Mittermeier, R.A.; Mittermeier, C.G.; da Fonseca, G.A.B.; Kent, J. Biodiversity hotspots for conservation priorities. Nature 2000, 403, 853–858. [Google Scholar] [CrossRef] [PubMed]
- Eva, H.D.; Belward, A.S.; De Miranda, E.E.; Di Bella, C.M.; Gond, V.; Huber, O.; Jones, S.; Sgrenzaroli, M.; Fritz, S. A land cover map of South America. Glob. Chang. Biol. 2004, 10, 731–744. [Google Scholar] [CrossRef]
- Apergis, N.; Payne, J.E. Energy consumption and growth in South Asia: Evidence from a panel error correction model. Energy 2010, 329, 1421–1426. [Google Scholar]
- Gómez, S. The Land Market in Latin America and the Caribbean: Concentration and Foreignization; FAO: Santiago, Chile, 2014; ISBN 9789251086155. [Google Scholar]
- Graesser, J.; Aide, T.M.; Grau, H.R.; Ramankutty, N. Cropland/pastureland dynamics and the slowdown of deforestation in Latin America. Environ. Res. Lett. 2015, 10, 34017. [Google Scholar] [CrossRef]
- Lambin, E.F.; Gibbs, H.K.; Ferreira, L.; Grau, R.; Mayaux, P.; Meyfroidt, P.; Morton, D.C.; Rudel, T.K.; Gasparri, I.; Munger, J. Estimating the world’s potentially available cropland using a bottom-up approach. Glob. Environ. Chang. 2013, 23, 892–901. [Google Scholar] [CrossRef]
- Sperandelli, D.I.; Dupas, F.A.; Dias Pons, N.A. Dynamics of Urban Sprawl, Vacant Land, and Green Spaces on the Metropolitan Fringe of Sao Paulo, Brazil. J. Urban Plan. Dev. 2013, 139, 274–279. [Google Scholar] [CrossRef]
- Corbane, C.; Pesaresi, M.; Kemper, T.; Politis, P.; Florczyk, A.J.; Syrris, V.; Melchiorri, M.; Sabo, F.; Soille, P. Automated global delineation of human settlements from 40 years of Landsat satellite data archives. Big Earth Data 2019, 3, 140–169. [Google Scholar] [CrossRef]
- Pesaresi, M.; Huadong, G.; Blaes, X.; Ehrlich, D.; Ferri, S.; Gueguen, L.; Halkia, M.; Kauffmann, M.; Kemper, T.; Lu, L.; et al. A global human settlement layer from optical HR/VHR RS data: Concept and first results. IEEE J. Sel. Top. Appl. Earth Obs. Remote Sens. 2013, 6, 2102–2131. [Google Scholar] [CrossRef]
- Zhang, Q.; Pandey, B.; Seto, K.C. A Robust Method to Generate a Consistent Time Series From DMSP/OLS Nighttime Light Data. IEEE Trans. Geosci. Remote Sens. 2016, 54, 5821–5831. [Google Scholar] [CrossRef]
- Elvidge, C.D.; Imhoff, M.L.; Baugh, K.E.; Hobson, V.R.; Nelson, I.; Safran, J.; Dietz, J.B.; Tuttle, B.T. Night-time lights of the world: 1994–1995. ISPRS J. Photogramm. Remote Sens. 2001, 56, 81–99. [Google Scholar] [CrossRef]
- Sanchez-Cuervo, A.M.; Aide, T.M. Identifying hotspots of deforestation and reforestation in Colombia (2001–2010): Implications for protected areas. Ecosphere 2013, 4, 1–21. [Google Scholar] [CrossRef]
- Harris, N.L.; Goldman, E.; Gabris, C.; Nordling, J.; Minnemeyer, S.; Ansari, S.; Lippmann, M.; Bennett, L.; Raad, M.; Hansen, M.; et al. Using spatial statistics to identify emerging hot spots of forest loss. Environ. Res. Lett. 2017, 12, 024012. [Google Scholar] [CrossRef]
- Aide, T.M.; Grau, H.R.; Graesser, J.; Andrade-Nuñez, M.J.; Aráoz, E.; Barros, A.P.; Campos-Cerqueira, M.; Chacon-Moreno, E.; Cuesta, F.; Espinoza, R.; et al. Woody vegetation dynamics in the tropical and subtropical Andes from 2001 to 2014: Satellite image interpretation and expert validation. Glob. Chang. Biol. 2019, 25, 2112–2126. [Google Scholar] [CrossRef] [PubMed]
- Graesser, J.; Ramankutty, N.; Coomes, O.T. Increasing expansion of large-scale crop production onto deforested land in sub-Andean South America. Environ. Res. Lett. 2018, 13, 084021. [Google Scholar] [CrossRef]
- Etter, A.; McAlpine, C.; Wilson, K.; Phinn, S.; Possingham, H. Regional patterns of agricultural land use and deforestation in Colombia. Agric. Ecosyst. Environ. 2006, 114, 369–386. [Google Scholar] [CrossRef]
- Doll, C.N.H. CIESIN Thematic Guide to Night-Time Light Remote Sensing and Its Applications; Center for International Earth Science Information Network of Columbia University: Palisades, NY, USA, 2008. [Google Scholar]
- Weinhold, D.; Reis, E. Transportation costs and the spatial distribution of land use in the Brazilian Amazon. Glob. Environ. Chang. 2008, 18, 54–68. [Google Scholar] [CrossRef]
- Müller, R.; Müller, D.; Schierhorn, F.; Gerold, G. Spatiotemporal modeling of the expansion of mechanized agriculture in the Bolivian lowland forests. Appl. Geogr. 2011, 31, 631–640. [Google Scholar] [CrossRef]
- Richards, P.; VanWey, L. Where Deforestation Leads to Urbanization: How Resource Extraction Is Leading to Urban Growth in the Brazilian Amazon. Ann. Assoc. Am. Geogr. 2015, 105, 806–823. [Google Scholar] [CrossRef]
- Clark, M.L.; Aide, T.M.; Riner, G. Land change for all municipalities in Latin America and the Caribbean assessed from 250-m MODIS imagery (2001–2010). Remote Sens. Environ. 2012, 126, 84–103. [Google Scholar] [CrossRef]
- Aide, T.M.; Clark, M.L.; Grau, H.R.; López-Carr, D.; Levy, M.A.; Redo, D.; Bonilla-Moheno, M.; Riner, G.; Andrade-Núñez, M.J.; Muñiz, M. Deforestation and Reforestation of Latin America and the Caribbean (2001–2010). Biotropica 2013, 45, 262–271. [Google Scholar] [CrossRef]
- Álvarez-Berríos, N.L.; Redo, D.J.; Aide, T.M.; Clark, M.L.; Grau, R. Land Change in the Greater Antilles between 2001 and 2010. Land 2013, 2, 81–107. [Google Scholar] [CrossRef]
- Nordhaus, W.D. Geography and macroeconomics: New data and new findings. Proc. Natl. Acad. Sci. USA 2006, 103, 3510–3517. [Google Scholar] [CrossRef] [PubMed]
- Oksanen, J.; Blanchet, F.G.; Friendly, M.; Kindt, R.; Legendre, P.; McGlinn, D.; Minchin, P.R.; O’Hara, R.B.; Simpson, G.L.; Solymos, P.; et al. Vegan: Community Ecology Package. R Package Version 2.5-2. 2018. Available online: https://CRAN.R-project.org/package=vegan (accessed on 28 November 2019).
- Charrad, M.; Ghazzali, N.; Boiteau, V.; Niknafs, A. NbClust: An R Package for Determining the Relevant Number of Clusters in a Data Set. J. Stat. Softw. 2014, 61, 1–36. [Google Scholar] [CrossRef]
- Borcard, D.; Gillet, F.; Legendre, P. Unconstrained Ordination. In Numerical Ecology with R; Springer: Cham, Switzerland, 2011; pp. 115–151. ISBN 978-0-387-78170-9. [Google Scholar]
- Oksanen, J. Multivariate Analysis of Ecological Communities in R: Vegan Tutorial; Scientific Research Publishing Inc.: Wuhan, China, 2015. [Google Scholar]
- Barragán, J.M.; de Andrés, M. Expansión urbana en las áreas litorales de América Latina y Caribe. Rev. Geogr. Norte Gd. 2016, 149, 129–149. [Google Scholar] [CrossRef]
- Henríquez, C.; Azócar, G.; Romero, H. Monitoring and modeling the urban growth of two mid-sized Chilean cities. Habitat Int. 2006, 30, 945–964. [Google Scholar] [CrossRef]
- Inostroza, L. Informal urban development in Latin American urban peripheries. Spatial assessment in Bogotá, Lima and Santiago de Chile. Landsc. Urban Plan. 2017, 165, 267–279. [Google Scholar] [CrossRef]
- Parés-Ramos, I.K.; Álvarez-Berríos, N.L.; Aide, T.M. Mapping Urbanization Dynamics in Major Cities of Colombia, Ecuador, Perú, and Bolivia Using Night-Time Satellite Imagery. Land 2013, 2, 37–59. [Google Scholar] [CrossRef]
- Romero, H.; Ordenes, F. Emerging Urbanization in the Southern Andes. Mt. Res. Dev. 2004, 24, 197–202. [Google Scholar] [CrossRef]
- Bonilla, M.; Zapparoli, I. The Challenge of Financing Urban Infrastructure for Sustainable Cities; Housing and Urban Development Division, Inter-American Development Bank: Washington DC, USA, 2017. [Google Scholar]
- Alvarez-Berríos, N.L.; Aide, T.M. Corrigendum: Global demand for gold is another threat for tropical forests (2014 Environ. Res. Lett. 10 014006). Environ. Res. Lett. 2015, 10, 029501. [Google Scholar] [CrossRef]
- Nanni, A.S.; Sloan, S.; Aide, T.M.; Graesser, J.; Edwards, D.; Grau, H.R. The neotropical reforestation hotspots: A biophysical and socioeconomic typology of contemporary forest expansion. Glob. Environ. Chang. 2019, 54, 148–159. [Google Scholar] [CrossRef]
- Redo, D.; Aide, T.M.; Clark, M.L. Vegetation change in Brazil’s dryland ecoregions and the relationship to crop production and environmental factors: Cerrado, Caatinga, and Mato Grosso, 2001–2009. J. Land Use Sci. 2013, 8, 123–153. [Google Scholar] [CrossRef]
- Baptista, S.R. Metropolization and forest recovery in Southern Brazil: A multiscale analysis of the Florianópolis City-Region, Santa Catarina State, 1970 to 2005. Ecol. Soc. 2008, 13, 21. [Google Scholar] [CrossRef]
- Baptista, S.R.; Rudel, T.K. A re-emerging Atlantic forest? Urbanization, industrialization and the forest transition in Santa Catarina, southern Brazil. Environ. Conserv. 2006, 33, 195–202. [Google Scholar] [CrossRef]
- Alberto, J.A.; Alberto, J.A. Procesos de ocupación formal e informal del suelo con fines urbanos del Área Metropolitana del Gran Resistencia (AMGR), República Argentina. Rev. Geogr. 2007, 142, 7–35. [Google Scholar]
- Izquierdo, A.E.; Grau, H.R.; Aide, T.M. Implications of Rural–Urban Migration for Conservation of the Atlantic Forest and Urban Growth in Misiones, Argentina (1970–2030). Ambio 2010, 40, 298–309. [Google Scholar] [CrossRef] [PubMed]
- Martine, G.; McGranahan, G. Brazil’s Early Urban Transition: What Can It Teach Urbanizing Countries; IIED: London, UK, 2010. [Google Scholar]
- Oyarzún, J.; Oyarzún, R. Sustainable Development Threats, Inter-sector Conflicts and Environmental Policy Requirements in the Arid, Mining Rich, Northern Chile Territory. Sustain. Dev. 2011, 19, 263–274. [Google Scholar] [CrossRef]
- Sánchez-Cuervo, A.M.; Aide, T.M. Consequences of the Armed Conflict, Forced Human Displacement, and Land Abandonment on Forest Cover Change in Colombia: A Multi-scaled Analysis. Ecosystems 2013, 16, 1052–1070. [Google Scholar] [CrossRef]
- Arelovich, H.M.; Bravo, R.D.; Martinez, M.F. Development, characteristics, and trends for beef cattle production in Argentina. Anim. Front. 2011, 1, 37–45. [Google Scholar] [CrossRef]
- Álvarez-Berríos, N.L.; Parés-Ramos, I.K.; Aide, T.M. Contrasting patterns of urban expansion in Colombia, Ecuador, Peru, and Bolivia between 1992 and 2009. Ambio 2012, 42, 29–40. [Google Scholar] [CrossRef] [PubMed]
- Morris, A. Afforestation Projects in Highland Ecuador: Patterns of Success and Failure. Mt. Res. Dev. 1997, 17, 31–42. [Google Scholar] [CrossRef]
- Calero, C.; Bedi, A.S.; Sparrow, R. Remittances, Liquidity Constraints and Human Capital Investments in Ecuador. World Dev. 2009, 37, 1143–1154. [Google Scholar] [CrossRef]
- Bolay, J.-C.; Rabinovich, A.; de la Porte, C.A.; Ruiz, L.; Unda, M.; Vivero, M.; Serrano, T.; Nieves, G. Interfase Urbano-Rural en Ecuador, Hacia un Desarrollo Territorial Integrado; LaSUR-INTER-ENAC/EPFL: Lausanne, Switzerland, 2004. [Google Scholar]
- Jokisch, B.D. Migration and Agricultural Change: The Case of Smallholders Agriculture in Highland Ecuador. Hum. Ecol. 2002, 30, 523–550. [Google Scholar] [CrossRef]
- Reyes-Bueno, F.; Sánchez, J.T.; Samaniego, J.G.; Barrós, D.M.; Maseda, R.C.; Sánchez-Rodríguez, A. Factors influencing land fractioning in the context of land market deregulation in Ecuador. Land Use Policy 2016, 52, 144–150. [Google Scholar] [CrossRef]
- Meloni Nassar, A.; Moreira, M. Evidences on Sugarcane Expansion and Agricultural Land Use Changes in Brazil; Institute for the International Trade Negotiation: Brighton, UK, 2013. [Google Scholar]
- Wilkinson, J.; Reydon, B.; Di Sabbato, A. Concentration and foreign ownership of land in Brazil in the context of global land grabbing. Can. J. Dev. Stud. 2012, 33, 417–438. [Google Scholar] [CrossRef]
- Ojima, R.; Hogan, D.J. Mobility, Urban Sprawl and Environmental Risks in Brazilian Urban Agglomerations: Challenges for Urban Sustainability. In Urban Population-Environment Dynamics in the Developing World: Case Studies and Lessons Learned; de Sherbiniin, A., Rahman, A., Barbieri, A., Fotso, J.C., Zhu, Y., Eds.; Committee for International Cooperation in National Research in Demography: Paris, France, 2009; pp. 281–316. ISBN 2-910053-35-0. [Google Scholar]
- Mira de Espindola, G.; Neves da Costa Carneiro, E.L.; Cardoso Façanha, A. Four decades of urban sprawl and population growth in Teresina, Brazil. Appl. Geogr. 2017, 79, 73–83. [Google Scholar] [CrossRef]
- Inostroza, L.; Baur, R.; Csaplovics, E. Urban Sprawl and Fragmentation in Latin America: A Comparision with European Cities. The Myth of the Diffuse Latin American City; Lincoln Institute of Land Policy: Cambridge, MA, USA, 2010. [Google Scholar]
- Pulido, N. Bordes urbanos metropolitanos en Venezuela ante nuevas leyes y proyectos inmobiliarios. Cuad. Geogr. Rev. Colomb. Geogr. 2014, 23, 15–38. [Google Scholar] [CrossRef]
- Baynard, C.W.; Ellis, J.M.; Davis, H. Roads, petroleum and accessibility: The case of eastern Ecuador. GeoJournal 2013, 78, 675–695. [Google Scholar] [CrossRef]
- da Silva, W.V.; Ferreira, N.C.; de Araujo Boggione, G. Análise de vetores de crescimento para a quantificação das transaformações urbanas no município de Goiânia. In Proceedings of the Anais XII Simpósio Brasileiro de Sensoriamento Remoto, Goiania, Brasil, 16–21 April 2005; pp. 681–688. [Google Scholar]
- Inostroza, L.; Baur, R.; Csaplovics, E. Urban sprawl and fragmentation in Latin America: A dynamic quantification and characterization of spatial patterns. J. Environ. Manag. 2013, 115, 87–97. [Google Scholar] [CrossRef]
- ONU-HABITAT. Estado de Las Ciudades de Améria Latina y el Caribe 2012. Rumbo a Una Nueva Transición Urbana; ONU-HABITAT: Nairobi, Kenia, 2012; ISBN 9789211333978. [Google Scholar]
- Aide, T.M.; Grau, R.H. Globalization, Migration, and Latin American Ecosystems. Science 2004, 305, 1915–1916. [Google Scholar] [CrossRef]
- Bebbington, A. Latin America: Contesting extraction, producing geographies. Singap. J. Trop. Geogr. 2009, 30, 7–12. [Google Scholar] [CrossRef]
- Steel, G. Mining and tourism: Urban transformations in the intermediate cities of Cajamarca and Cusco, Peru. Lat. Am. Perspect. 2013, 40, 237–249. [Google Scholar] [CrossRef]
- Castiblanco, C.; Etter, A.; Aide, T.M. Oil palm plantations in Colombia: A model of future expansion. Environ. Sci. Policy 2013, 27, 172–183. [Google Scholar] [CrossRef]
- May, P.H.; Anderson, A.B.; Frazão, J.M.F.; Balick, M.J. Babassu palm in the agroforestry systems in Brazil’s Mid-North region. Agrofor. Syst. 1985, 3, 275–295. [Google Scholar] [CrossRef]
- Vergara Córdoba, C.A.; Cardona Ayala, C.E.; Murillo Gamboa, O.; Jarma Orozco, A.D.; Araméndiz Tatis, H. Valor de mercado de plantaciones de Teca (Tectona grandis Linn.) en el departamento de Córdoba. Temas Agrar. 2013, 18, 9–22. [Google Scholar] [CrossRef][Green Version]
- van der Gelder, J.W.; van der Valk, F.; Dros, J.M.; Worm, J. The Impacts and Financing of Large Dams; AIDEnvironment: Amsterdam, The Netherlands, 2002; p. 218. [Google Scholar]
- Kröger, M. Grievances, agency and the absence of conflict: The new Suzano pulp investment in the Eastern Amazon. For. Policy Econ. 2013, 33, 28–35. [Google Scholar] [CrossRef]
- Finer, M.; Jenkins, C.N.; Pimm, S.L.; Keane, B.; Ross, C. Oil and gas projects in the Western Amazon: Threats to wilderness, biodiversity, and indigenous peoples. PLoS ONE 2008, 3, e2932. [Google Scholar] [CrossRef]
- Alexander, N. The Emerging Multi-Polar World Order: Its Unprecedented Consensus on a New Model for Financing Infrastructure Investment and Development. Novemb. 2014 G20 Summit Part II 2014. Available online: http://us. boell. org/sites/default/files/alexander_multipolar_world_order_1 pdf (accessed on 9 November 2019).
© 2020 by the authors. Licensee MDPI, Basel, Switzerland. This article is an open access article distributed under the terms and conditions of the Creative Commons Attribution (CC BY) license (http://creativecommons.org/licenses/by/4.0/).






