Monitoring Drought Effects on Vegetation Productivity Using Satellite Solar-Induced Chlorophyll Fluorescence
Abstract
1. Introduction
2. Data Used in this Study
2.1. Raster Data
2.1.1. Vegetation Proxies
2.1.2. FLUXCOM GPP
2.1.3. Meteorological Data
2.1.4. Land Cover Data
2.2. Meteorological Station Data
3. Methods
4. Results
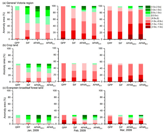
4.1. Monitoring and Assessing the 2009 Drought in Victoria
4.2. General Analyses of the Responses of FLUXCOM GPP, SIF, APARNDVI and APAREVI to Drought
5. Discussion
6. Conclusions
Author Contributions
Funding
Conflicts of Interest
Appendix A
| Number | Site Name | Site Number | Latitude | Longitude |
|---|---|---|---|---|
| 1 | Mildura Airport | 76031 | 142.0867 | −34.2358 |
| 2 | Ouyen (Post Office) | 76047 | 142.3125 | −35.0682 |
| 3 | Swan Hill Post Office | 77042 | 143.5533 | −35.3406 |
| 4 | Echuca Aerodrome | 80015 | 144.7642 | −36.1647 |
| 5 | Tatura Institute of Sustainable Agriculture | 81049 | 145.2672 | −36.4378 |
| 6 | Rutherglen Research | 82039 | 146.5100 | −36.1000 |
| 7 | Wangaratta Aero | 82138 | 146.3056 | −36.4206 |
| 8 | Gabo Island Lighthouse | 84016 | 149.9200 | −37.5700 |
| 9 | East Sale Airport | 85072 | 147.1322 | −38.1156 |
| 10 | Bairnsdale Airport | 85279 | 147.5700 | −37.8800 |
| 11 | Moorabbin Airport | 86077 | 145.0962 | −37.9800 |
| 12 | Melbourne Airport | 86282 | 144.8321 | −37.6655 |
| 13 | Laverton Raaf | 87031 | 144.7566 | −37.8565 |
| 14 | Lake Eildon | 88023 | 145.9124 | −37.2313 |
| 15 | Maryborough | 88043 | 143.7300 | −37.0600 |
| 16 | Mangalore Airport | 88109 | 145.1900 | −36.8900 |
| 17 | Ararat Prison | 89085 | 142.9786 | −37.2769 |
| 18 | Cape Otway Lighthouse | 90015 | 143.5128 | −38.8556 |
| 19 | Portland (Cashmore Airport) | 90171 | 141.4705 | −38.3148 |
| 20 | Hamilton Airport | 90173 | 142.0600 | −37.6500 |
| 21 | Mortlake Racecourse | 90176 | 142.7744 | −38.0737 |
| Number | Site Name | Site Number | Latitude | Longitude |
|---|---|---|---|---|
| 1 | Kaniva | 78078 | 141.2427 | −36.3725 |
| 2 | Mildura Airport | 76031 | 142.0867 | −34.2358 |
| 3 | Nulkwyne Kiamal | 76043 | 142.1800 | −34.9300 |
| 4 | Ouyen (Post Office) | 76047 | 142.3100 | −35.0700 |
| 5 | Dimboola | 78010 | 142.0327 | −36.4644 |
| 6 | Warranooke (Glenorchy) | 79016 | 142.7303 | −36.7281 |
| 7 | St. Arnaud | 79040 | 143.2644 | −36.6175 |
| 8 | Kerang | 80023 | 143.9197 | −35.7236 |
| 9 | Wedderburn (Post Office) | 80061 | 143.6123 | −36.4183 |
| 10 | Avoca (Post Office) | 81000 | 143.4747 | −37.0887 |
| 11 | Dookie Agricultural College | 81013 | 145.7048 | −36.3717 |
| 12 | Dunolly | 81085 | 143.7295 | −36.8593 |
| 13 | Beechworth Composite | 82001 | 146.7132 | −36.3702 |
| 14 | Chiltern (Post Office) | 82010 | 146.6106 | −36.1491 |
| 15 | Tallangatta Dcnr | 82045 | 147.1764 | −36.2161 |
| 16 | Bruthen (Post Office) | 84003 | 147.8314 | −37.7073 |
| 17 | Gabo Island Lighthouse | 84016 | 149.9158 | −37.5679 |
| 18 | Foster (Post Office) | 85029 | 146.1997 | −38.6520 |
| 19 | Yan Yean | 86131 | 145.1259 | −37.5552 |
| 20 | Ballan | 87006 | 144.2295 | −37.6018 |
| 21 | Bungaree (Kirks Reservoir) | 87014 | 143.9322 | −37.5512 |
| 22 | Meredith (Darra) | 87043 | 144.1492 | −37.8197 |
| 23 | Alexandra (Post Office) | 88001 | 145.7116 | −37.1916 |
| 24 | Clunes | 88015 | 143.7776 | −37.3049 |
| 25 | Daylesford | 88020 | 144.1575 | −37.3432 |
| 26 | Maryborough | 88043 | 143.7320 | −37.0560 |
| 27 | Kinglake West (Wallaby Creek) | 88060 | 145.2143 | −37.4475 |
| 28 | Cavendish (Post Office) | 89009 | 142.0414 | −37.5267 |
| 29 | Wickliffe | 89033 | 142.7253 | −37.6901 |
| 30 | Cape Bridgewater | 90013 | 141.4060 | −38.3215 |
| 31 | Cape Otway Lighthouse | 90015 | 143.5128 | −38.8556 |
| 32 | Penshurst (Post Office) | 90063 | 142.2895 | −37.8750 |
Appendix B

References
- Evans, B.J.; Lyons, T. Bioclimatic extremes drive forest mortality in southwest, Western Australia. Climate 2013, 1, 28–52. [Google Scholar] [CrossRef]
- Zhao, M.; Running, S.W. Drought-Induced Reduction in Global Terrestrial Net Primary Production from 2000 Through 2009. Science 2010, 329, 940–943. [Google Scholar] [CrossRef] [PubMed]
- Lewis, S.L.; Brando, P.M.; Phillips, O.L.; van der Heijden, G.M.F.; Nepstad, D. The 2010 Amazon Drought. Science 2011, 331, 554. [Google Scholar] [CrossRef] [PubMed]
- Gibbs, W. The great Australian drought: 1982–1983. Disasters 1984, 8, 89–104. [Google Scholar] [CrossRef] [PubMed]
- Rice, K.J.; Matzner, S.L.; Byer, W.; Brown, J.R. Patterns of tree dieback in Queensland, Australia: The importance of drought stress and the role of resistance to cavitation. Oecologia 2004, 139, 190–198. [Google Scholar] [CrossRef]
- van Dijk, A.I.; Beck, H.E.; Crosbie, R.S.; de Jeu, R.A.; Liu, Y.Y.; Podger, G.M.; Timbal, B.; Viney, N.R. The Millennium Drought in southeast Australia (2001–2009): Natural and human causes and implications for water resources, ecosystems, economy, and society. Water Resour. Res. 2013, 49, 1040–1057. [Google Scholar] [CrossRef]
- Centre, N.C. The exceptional January-February 2009 heatwave in southeastern Australia. Bur. Meteorol. 2009, 17, 2–3. [Google Scholar]
- Department of Climate Change and Energy Efficiency, A.G. Wildfire in forests in Australia. Available online: http://www.climatechange.gov.au/emissions (accessed on 26 April 2017).
- Meehl, G.A.; Tebaldi, C. More intense, more frequent, and longer lasting heat waves in the 21st century. Science 2004, 305, 994–997. [Google Scholar] [CrossRef]
- Pachauri, R.K.; Meyer, L.; Plattner, G.-K.; Stocker, T. IPCC, 2014: Climate Change 2014: Synthesis Report. Contribution of Working Groups I, II and III to the Fifth Assessment Report of the Intergovernmental Panel on Climate Change; IPCC: Geneva, Switzerland, 2015. [Google Scholar]
- Zhang, Y.; Xiao, X.M.; Zhou, S.; Ciais, P.; McCarthy, H.; Luo, Y.Q. Canopy and physiological controls of GPP during drought and heat wave. Geophys. Res. Lett. 2016, 43, 3325–3333. [Google Scholar] [CrossRef]
- Zeng, F.-W.; Collatz, G.; Pinzon, J.; Ivanoff, A. Evaluating and Quantifying the Climate-Driven Interannual Variability in Global Inventory Modeling and Mapping Studies (GIMMS) Normalized Difference Vegetation Index (NDVI3g) at Global Scales. Remote Sens. 2013, 5, 3918–3950. [Google Scholar] [CrossRef]
- Gu, Y.; Brown, J.F.; Verdin, J.P.; Wardlow, B. A five-year analysis of MODIS NDVI and NDWI for grassland drought assessment over the central Great Plains of the United States. Geophys. Res. Lett. 2007, 34. [Google Scholar] [CrossRef]
- Brouwers, N.C.; van Dongen, R.; Matusick, G.; Coops, N.C.; Strelein, G.; Hardy, G. Inferring drought and heat sensitivity across a Mediterranean forest region in southwest Western Australia: A comparison of approaches. Forestry 2015, 88, 454–464. [Google Scholar] [CrossRef]
- Kogan, F.N. Droughts of the late 1980s in the United States as derived from NOAA polar-orbiting satellite data. Bull. Am. Meteorol. Soc. 1995, 76, 655–668. [Google Scholar] [CrossRef]
- Rhee, J.; Im, J.; Carbone, G.J. Monitoring agricultural drought for arid and humid regions using multi-sensor remote sensing data. Remote Sens. Environ. 2010, 114, 2875–2887. [Google Scholar] [CrossRef]
- Huete, A.; Didan, K.; Miura, T.; Rodriguez, E.P.; Gao, X.; Ferreira, L.G. Overview of the radiometric and biophysical performance of the MODIS vegetation indices. Remote Sens. Environ. 2002, 83, 195–213. [Google Scholar] [CrossRef]
- Xu, L.A.; Samanta, A.; Costa, M.H.; Ganguly, S.; Nemani, R.R.; Myneni, R.B. Widespread decline in greenness of Amazonian vegetation due to the 2010 drought. Geophys. Res. Lett. 2011, 38. [Google Scholar] [CrossRef]
- Brede, B.; Verbesselt, J.; Dutrieux, L.P.; Herold, M. Performance of the enhanced vegetation index to detect inner-annual dry season and drought impacts on amazon forest canopies. In Proceedings of the 36th International Symposium on Remote Sensing of Environment, Berlin, Germany, 11–15 May 2015; Schreier, G., Skrovseth, P.E., Staudenrausch, H., Eds.; Volume 47, pp. 337–344. [Google Scholar]
- Soudani, K.; Hmimina, G.; Delpierre, N.; Pontailler, J.-Y.; Aubinet, M.; Bonal, D.; Caquet, B.; De Grandcourt, A.; Burban, B.; Flechard, C. Ground-based Network of NDVI measurements for tracking temporal dynamics of canopy structure and vegetation phenology in different biomes. Remote Sens. Environ. 2012, 123, 234–245. [Google Scholar] [CrossRef]
- Lloret, F.; Lobo, A.; Estevan, H.; Maisongrande, P.; Vayreda, J.; Terradas, J. Woody plant richness and NDVI response to drought events in Catalonian (northeastern Spain) forests. Ecology 2007, 88, 2270–2279. [Google Scholar] [CrossRef]
- Rossini, M.; Nedbal, L.; Guanter, L.; Ač, A.; Alonso, L.; Burkart, A.; Cogliati, S.; Colombo, R.; Damm, A.; Drusch, M.; et al. Red and far red Sun-induced chlorophyll fluorescence as a measure of plant photosynthesis. Geophys. Res. Lett. 2015, 42, 1632–1639. [Google Scholar] [CrossRef]
- Grace, J.; Nichol, C.; Disney, M.; Lewis, P.; Quaife, T.; Bowyer, P. Can we measure terrestrial photosynthesis from space directly, using spectral reflectance and fluorescence? Glob. Chang. Biol. 2007, 13, 1484–1497. [Google Scholar] [CrossRef]
- van der Tol, C.; Berry, J.A.; Campbell, P.K.; Rascher, U. Models of fluorescence and photosynthesis for interpreting measurements of solar-induced chlorophyll fluorescence. J. Geophys. Res. Biogeosci. 2014, 119, 2312–2327. [Google Scholar] [CrossRef] [PubMed]
- Song, L.; Guanter, L.; Guan, K.; You, L.; Huete, A.; Ju, W.; Zhang, Y. Satellite sun-induced chlorophyll fluorescence detects early response of winter wheat to heat stress in the Indian Indo-Gangetic Plains. Glob. Chang. Biol. 2018. [Google Scholar] [CrossRef]
- Yoshida, Y.; Joiner, J.; Tucker, C.; Berry, J.; Lee, J.E.; Walker, G.; Reichle, R.; Koster, R.; Lyapustin, A.; Wang, Y. The 2010 Russian drought impact on satellite measurements of solar-induced chlorophyll fluorescence: Insights from modeling and comparisons with parameters derived from satellite reflectances. Remote Sens. Environ. 2015, 166, 163–177. [Google Scholar] [CrossRef]
- Sun, Y.; Fu, R.; Dickinson, R.; Joiner, J.; Frankenberg, C.; Gu, L.; Xia, Y.; Fernando, N. Drought onset mechanisms revealed by satellite solar-induced chlorophyll fluorescence: Insights from two contrasting extreme events. J. Geophys. Res. Biogeosci. 2015, 120, 2427–2440. [Google Scholar] [CrossRef]
- Lee, J.E.; Frankenberg, C.; van der Tol, C.; Berry, J.A.; Guanter, L.; Boyce, C.K.; Fisher, J.B.; Morrow, E.; Worden, J.R.; Asefi, S.; et al. Forest productivity and water stress in amazonia: Observations from gosat chlorophyll fluorescence. Proc. Biol. Sci. 2013, 280, 20130171. [Google Scholar] [CrossRef] [PubMed]
- Wohlfahrt, G.; Gerdel, K.; Migliavacca, M.; Rotenberg, E.; Tatarinov, F.; Müller, J.; Hammerle, A.; Julitta, T.; Spielmann, F.; Yakir, D. Sun-induced fluorescence and gross primary productivity during a heat wave. Sci. Rep. 2018, 8, 14169. [Google Scholar] [CrossRef]
- Guanter, L.; Zhang, Y.; Jung, M.; Joiner, J.; Voigt, M.; Berry, J.A.; Frankenberg, C.; Huete, A.R.; Zarco-Tejada, P.; Lee, J.E.; et al. Global and time-resolved monitoring of crop photosynthesis with chlorophyll fluorescence. Proc. Natl. Acad. Sci. USA 2014, 111, E1327–E1333. [Google Scholar] [CrossRef] [PubMed]
- Wagle, P.; Xiao, X.; Torn, M.S.; Cook, D.R.; Matamala, R.; Fischer, M.L.; Jin, C.; Dong, J.; Biradar, C. Sensitivity of vegetation indices and gross primary production of tallgrass prairie to severe drought. Remote Sens. Environ. 2014, 152, 1–14. [Google Scholar] [CrossRef]
- Liu, L.; Guan, L.; Liu, X. Directly estimating diurnal changes in GPP for C3 and C4 crops using far-red sun-induced chlorophyll fluorescence. Agric. For. Meteorol. 2017, 232, 1–9. [Google Scholar] [CrossRef]
- Wagle, P.; Zhang, Y.; Jin, C.; Xiao, X. Comparison of solar-induced chlorophyll fluorescence, light-use efficiency, and process-based GPP models in maize. Ecol. Appl. 2016, 26, 1211–1222. [Google Scholar] [CrossRef] [PubMed]
- Yang, X.; Tang, J.; Mustard, J.F.; Lee, J.E.; Rossini, M.; Joiner, J.; Munger, J.W.; Kornfeld, A.; Richardson, A.D. Solar-induced chlorophyll fluorescence that correlates with canopy photosynthesis on diurnal and seasonal scales in a temperate deciduous forest. Geophys. Res. Lett. 2015, 42, 2977–2987. [Google Scholar] [CrossRef]
- Porcar-Castell, A.; Tyystjarvi, E.; Atherton, J.; van der Tol, C.; Flexas, J.; Pfundel, E.E.; Moreno, J.; Frankenberg, C.; Berry, J.A. Linking chlorophyll a fluorescence to photosynthesis for remote sensing applications: Mechanisms and challenges. J. Exp. Bot. 2014, 65, 4065–4095. [Google Scholar] [CrossRef] [PubMed]
- van der Molen, M.K.; Dolman, A.J.; Ciais, P.; Eglin, T.; Gobron, N.; Law, B.E.; Meir, P.; Peters, W.; Phillips, O.L.; Reichstein, M. Drought and ecosystem carbon cycling. Agric. For. Meteorol. 2011, 151, 765–773. [Google Scholar] [CrossRef]
- Flexas, J.; Escalona, J.M.; Evain, S.; Gulías, J.; Moya, I.; Osmond, C.B.; Medrano, H. Steady-state chlorophyll fluorescence (Fs) measurements as a tool to follow variations of net CO2 assimilation and stomatal conductance during water-stress in C3 plants. Physiol. Plant. 2002, 114, 231–240. [Google Scholar] [CrossRef] [PubMed]
- Daumard, F.; Champagne, S.; Fournier, A.; Goulas, Y.; Ounis, A.; Hanocq, J.-F.; Moya, I. A field platform for continuous measurement of canopy fluorescence. IEEE Trans. Geosci. Remote Sens. 2010, 48, 3358–3368. [Google Scholar] [CrossRef]
- Wang, S.; Huang, C.; Zhang, L.; Lin, Y.; Cen, Y.; Wu, T. Monitoring and Assessing the 2012 Drought in the Great Plains: Analyzing Satellite-Retrieved Solar-Induced Chlorophyll Fluorescence, Drought Indices, and Gross Primary Production. Remote Sens. 2016, 8, 61. [Google Scholar] [CrossRef]
- Miao, G.; Guan, K.; Yang, X.; Bernacchi, C.J.; Berry, J.A.; DeLucia, E.H.; Wu, J.; Moore, C.E.; Meacham, K.; Cai, Y. Sun-Induced Chlorophyll Fluorescence, Photosynthesis, and Light Use Efficiency of a Soybean Field from Seasonally Continuous Measurements. J. Geophys. Res. Biogeosci. 2018, 123, 610–623. [Google Scholar] [CrossRef]
- Verma, M.; Schimel, D.; Evans, B.; Frankenberg, C.; Beringer, J.; Drewry, D.T.; Magney, T.; Marang, I.; Hutley, L.; Moore, C. Effect of environmental conditions on the relationship between solar-induced fluorescence and gross primary productivity at an OzFlux grassland site. J. Geophys. Res. Biogeosci. 2017, 122, 716–733. [Google Scholar] [CrossRef]
- Köhler, P.; Guanter, L.; Joiner, J. A linear method for the retrieval of sun-induced chlorophyll fluorescence from GOME-2 and SCIAMACHY data. Atmos. Meas. Tech. 2015, 8, 2589–2608. [Google Scholar] [CrossRef]
- Joiner, J.; Guanter, L.; Lindstrot, R.; Voigt, M.; Vasilkov, A.P.; Middleton, E.M.; Huemmrich, K.F.; Yoshida, Y.; Frankenberg, C. Global monitoring of terrestrial chlorophyll fluorescence from moderate-spectral-resolution near-infrared satellite measurements: Methodology, simulations, and application to GOME-2. Atmos. Meas. Tech. 2013, 6, 2803–2823. [Google Scholar] [CrossRef]
- Tramontana, G.; Jung, M.; Schwalm, C.R.; Ichii, K.; Camps-Valls, G.; Ráduly, B.; Reichstein, M.; Arain, M.A.; Cescatti, A.; Kiely, G.; et al. Predicting carbon dioxide and energy fluxes across global FLUXNET sites with regression algorithms. Biogeosciences 2016, 13, 4291–4313. [Google Scholar] [CrossRef]
- Jung, M.; Reichstein, M.; Schwalm, C.R.; Huntingford, C.; Sitch, S.; Ahlstrom, A.; Arneth, A.; Camps-Valls, G.; Ciais, P.; Friedlingstein, P.; et al. Compensatory water effects link yearly global land CO2 sink changes to temperature. Nature 2017, 541, 516–520. [Google Scholar] [CrossRef] [PubMed]
- Sun, Y.; Frankenberg, C.; Wood, J.D.; Schimel, D.S.; Jung, M.; Guanter, L.; Drewry, D.T.; Verma, M.; Porcar-Castell, A.; Griffis, T.J.; et al. OCO-2 advances photosynthesis observation from space via solar-induced chlorophyll fluorescence. Science 2017, 358, eaam5747. [Google Scholar] [CrossRef] [PubMed]
- ECMWF. European Centre for Medium-Range Weather Forecasts. Available online: http://www.ecmwf.int/ (accessed on 2 December 2017).
- Seddon, A.W.; Macias-Fauria, M.; Long, P.R.; Benz, D.; Willis, K.J. Sensitivity of global terrestrial ecosystems to climate variability. Nature 2016, 531, 229. [Google Scholar] [CrossRef]
- Mu, Q.; Zhao, M.; Running, S.W. Improvements to a MODIS global terrestrial evapotranspiration algorithm. Remote Sens. Environ. 2011, 115, 1781–1800. [Google Scholar] [CrossRef]
- Wolf, S.; Keenan, T.F.; Fisher, J.B.; Baldocchi, D.D.; Desai, A.R.; Richardson, A.D.; Scott, R.L.; Law, B.E.; Litvak, M.E.; Brunsell, N.A. Warm spring reduced carbon cycle impact of the 2012 US summer drought. Proc. Natl. Acad. Sci. USA 2016, 113, 5880–5885. [Google Scholar] [CrossRef]
- De Keersmaecker, W.; Lhermitte, S.; Tits, L.; Honnay, O.; Somers, B.; Coppin, P. A model quantifying global vegetation resistance and resilience to short-term climate anomalies and their relationship with vegetation cover. Glob. Ecol. Biogeogr. 2015, 24, 539–548. [Google Scholar] [CrossRef]
- Greene, H.; Leighton, H.G.; Stewart, R.E. Drought and associated cloud fields over the Canadian Prairie Provinces. Atmos. Ocean 2011, 49, 356–365. [Google Scholar] [CrossRef]
- Aires, L.M.I.; Pio, C.A.; Pereira, J.S. Carbon dioxide exchange above a Mediterranean C3/C4 grassland during two climatologically contrasting years. Glob. Chang. Biol. 2008, 14, 539–555. [Google Scholar] [CrossRef]
- Delalieux, S.; Somers, B.; Hereijgers, S.; Verstraeten, W.; Keulemans, W.; Coppin, P. A near-infrared narrow-waveband ratio to determine Leaf Area Index in orchards. Remote Sens. Environ. 2008, 112, 3762–3772. [Google Scholar] [CrossRef]
- Sanders, A.F.; Verstraeten, W.W.; Kooreman, M.L.; Van Leth, T.C.; Beringer, J.; Joiner, J. Spaceborne sun-induced vegetation fluorescence time series from 2007 to 2015 evaluated with australian flux tower measurements. Remote Sens. 2016, 8, 895. [Google Scholar] [CrossRef]
- Guanter, L.; Aben, I.; Tol, P.; Krijger, J.M.; Hollstein, A.; Köhler, P.; Damm, A.; Joiner, J.; Frankenberg, C.; Landgraf, J. Potential of the TROPOspheric Monitoring Instrument (TROPOMI) onboard the Sentinel-5 Precursor for the monitoring of terrestrial chlorophyll fluorescence. Atmos. Meas. Tech. 2015, 8, 1337–1352. [Google Scholar] [CrossRef]







| Vegetation variables | Parameters of the ARx Model for General Victoria Region | ||||||
| aT | aW | aP | aM | R2 | RMSE | p Value | |
| GPP | −0.24 *** | 0.29 *** | −0.25 *** | 0.23 *** | 0.75 | 0.51 | 0.00 |
| SIF | −0.22 ** | 0.28 *** | −0.25 * | 0.24 * | 0.72 | 0.35 | 0.00 |
| APARNDVI | −0.16 | 0.26 * | −0.13 * | 0.16 ** | 0.29 | 0.78 | 0.01 |
| APAREVI | −0.11 | 0.24 ** | −0.08 * | 0.11 | 0.20 | 0.83 | 0.21 |
| Vegetation variables | Parameters of the ARx Model for Crop Land in Victoria | ||||||
| aT | aW | aP | aM | R2 | RMSE | p Value | |
| GPP | −0.19 *** | 0.32 *** | −0.26 *** | 0.27 *** | 0.77 | 0.48 | 0.00 |
| SIF | −0.17 *** | 0.32 *** | −0.24 *** | 0.23 *** | 0.61 | 0.63 | 0.00 |
| APARNDVI | −0.16 ** | 0.31 *** | −0.15 * | 0.16 * | 0.38 | 0.77 | 0.01 |
| APAREVI | −0.13 * | 0.26 ** | −0.08 | 0.12 | 0.20 | 0.79 | 0.34 |
| Vegetation variables | Parameters of the ARx Model for Evergreen Broadleaf Forest Land in Victoria | ||||||
| aT | aW | aP | aM | R2 | RMSE | p Value | |
| GPP | −0.17 * | 0.27 *** | −0.28 *** | 0.18 ** | 0.48 | 0.71 | 0.01 |
| SIF | −0.10 | 0.22 * | −0.23 * | 0.22 | 0.36 | 0.50 | 0.01 |
| APARNDVI | 0.17 | 0.70 | 0.60 | 0.53 | 0.19 | 0.64 | 0.07 |
| APAREVI | 0.24 | 0.97 | 0.62 | 0.44 | 0.33 | 0.45 | 0.46 |
© 2019 by the authors. Licensee MDPI, Basel, Switzerland. This article is an open access article distributed under the terms and conditions of the Creative Commons Attribution (CC BY) license (http://creativecommons.org/licenses/by/4.0/).
Share and Cite
Zhang, L.; Qiao, N.; Huang, C.; Wang, S. Monitoring Drought Effects on Vegetation Productivity Using Satellite Solar-Induced Chlorophyll Fluorescence. Remote Sens. 2019, 11, 378. https://doi.org/10.3390/rs11040378
Zhang L, Qiao N, Huang C, Wang S. Monitoring Drought Effects on Vegetation Productivity Using Satellite Solar-Induced Chlorophyll Fluorescence. Remote Sensing. 2019; 11(4):378. https://doi.org/10.3390/rs11040378
Chicago/Turabian StyleZhang, Lifu, Na Qiao, Changping Huang, and Siheng Wang. 2019. "Monitoring Drought Effects on Vegetation Productivity Using Satellite Solar-Induced Chlorophyll Fluorescence" Remote Sensing 11, no. 4: 378. https://doi.org/10.3390/rs11040378
APA StyleZhang, L., Qiao, N., Huang, C., & Wang, S. (2019). Monitoring Drought Effects on Vegetation Productivity Using Satellite Solar-Induced Chlorophyll Fluorescence. Remote Sensing, 11(4), 378. https://doi.org/10.3390/rs11040378

