Optical and Geometrical Properties of Cirrus Clouds over the Tibetan Plateau Measured by LiDAR and Radiosonde Sounding during the Summertime in 2014
Abstract
1. Introduction
2. Instruments and Campaign
2.1. Water Vapor, Cloud and Aerosol LiDAR (WACAL)
2.2. Radiosonde Sounding
2.3. TIPEX III Campaign
3. Methodology
3.1. Calibration of the Linear Particle Depolarization Ratio and Error Analysis
3.2. Determination of the Extinction Coefficient
3.3. Multiple Scattering Correction
3.4. Extraction of the Cloud Base and Top Heights
3.5. Cirrus OLR
4. Discussion
4.1. Measument Case and Short Summary
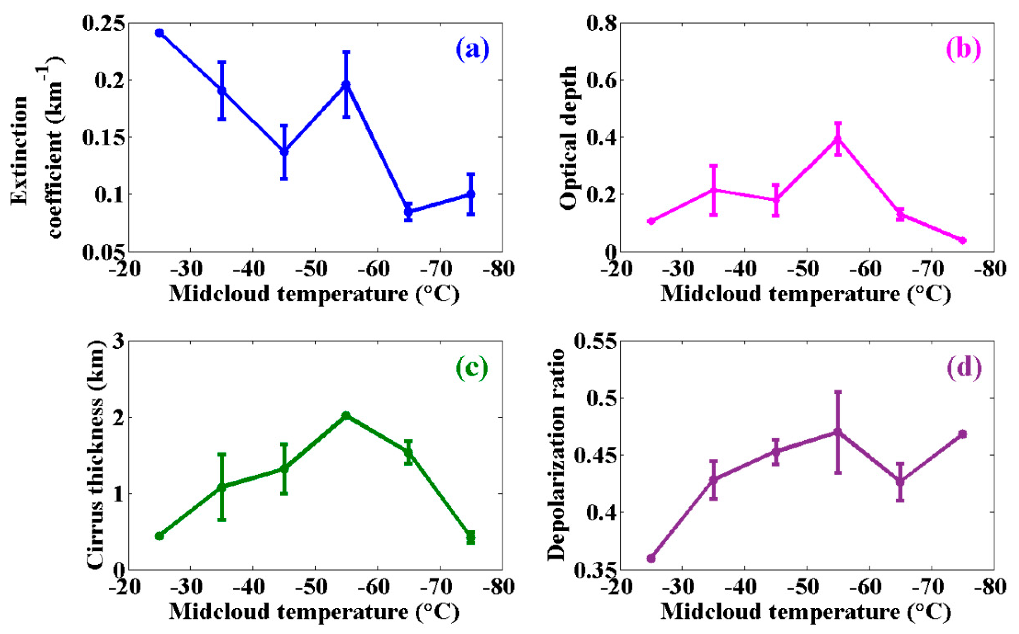
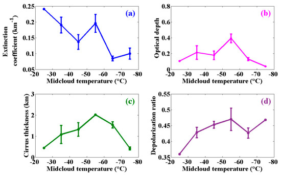
4.2. Geometrical Characteristics and Temperature Dependence
4.3. Optical Properties and Temperature Dependence
4.4. Cirrus Occurrence and Temperature Anomaly
5. Results and Conclusions
Author Contributions
Funding
Acknowledgments
Conflicts of Interest
References
- Webster, P.J. The role of hydrological processes in ocean-atmosphere interactions. Rev. Geophys. 1994, 32, 427–476. [Google Scholar] [CrossRef]
- Nazaryan, H.; McCormick, M.P.; Menzel, W.P. Global characterization of cirrus clouds using CALIPSO data. J. Geophys. Res. 2008, 113. [Google Scholar] [CrossRef]
- Lynch, D. Cirrus: History and definition. In CIRRUS; Lynch, D., Sassen, K., Starr, D., Stephens, G., Eds.; Oxford Univ. Press: New York, NY, USA, 2002; pp. 3–10. [Google Scholar]
- Sassen, K. The polarization lidar technique for cloud research: A review and current assessment. Bull. Am. Meteorol. Soc. 1991, 72, 1848–1866. [Google Scholar] [CrossRef]
- Giannakaki, E.; Balis, D.; Amiridis, V.; Kazadzis, S. Optical and geometrical characteristics of cirrus clouds over a southern European lidar station. Atmos. Chem. Phys. 2007, 7, 5519–5530. [Google Scholar] [CrossRef]
- Zerefos, C.; Eleftheratos, K.; Balis, D.; Zanis, P.; Tselioudis, G.; Meleti, C. Evidence of impact of aviation on cirrus cloud formation. Atmos. Chem. Phys. 2003, 3, 1633–1644. [Google Scholar] [CrossRef]
- Stephens, G.L.; Webster, P.J. Clouds and climate: Sensitivity of simple systems. J. Atmos. Sci. 1981, 38, 235–247. [Google Scholar] [CrossRef]
- Fu, Q.; Liou, K.N. Parameterization of the radiative properties of cirrus clouds. J. Atmos. Sci. 1993, 50, 2008–2025. [Google Scholar] [CrossRef]
- Fahey, D.W.; Schumann, U.; Ackerman, S.; Artaxo, P.; Boucher, O.; Danilin, M.Y.; Kärcher, B.; Minnis, P.; Nakajima, T.; Toon, O.B. Aviation-Produced Aerosols and Cloudiness. In Aviation and the Global Atmosphere: A Special Report of the Intergovernmental Panel on Climate Change; Cambridge University Press: Cambridge, UK, 1999; pp. 65–120. [Google Scholar]
- Stocker, T.F.; Qin, D.; Plattner, G.K.; Tignor, M.M.B.; Allen, S.K.; Boschung, J.; Nauels, A.; Xia, Y.; Bex, V.; Midgley, P.M. Climate Change 2013: The Physical Science Basis. Contribution of Working Group I to the Fifth Assessment Report of IPCC the Intergovernmental Panel on Climate Change; Cambridge University Press: Cambridge, UK; New York, NY, USA, 2014; pp. 159–254. [Google Scholar]
- Ansmann, A.; Wandinger, U.; Riebesell, M.; Weitkamp, C.; Michaelis, W. Independent measurement of extinction and backscatter profiles in cirrus clouds by using a combined Raman elastic-backscatter lidar. Appl. Opt. 1992, 31, 7113–7131. [Google Scholar] [CrossRef]
- Sassen, K.; Benson, S. A midlatitude cirrus cloud climatology from the facility for atmospheric remote sensing. Part II: Microphysical properties derived from lidar depolarization. J. Atmos. Sci. 2001, 58, 2103–2112. [Google Scholar] [CrossRef]
- Chen, W.-N.; Chiang, C.-W.; Nee, J.-B. Lidar ratio and depolarization ratio for cirrus clouds. Appl. Opt. 2002, 41, 6470–6476. [Google Scholar] [CrossRef]
- Sunilkumar, S.; Parameswaran, K. Temperature dependence of tropical cirrus properties and radiative effects. J. Geophys. Res. 2005, 110. [Google Scholar] [CrossRef]
- Elouragini, S.; Flamant, P.H. Iterative method to determine an averaged backscatter-to-extinction ratio in cirrus clouds. Appl. Opt. 1996, 35, 1512–1518. [Google Scholar] [CrossRef] [PubMed]
- Wandinger, U. Multiple-scattering influence on extinction-and backscatter-coefficient measurements with Raman and high-spectral-resolution lidars. Appl. Opt. 1998, 37, 417–427. [Google Scholar] [CrossRef] [PubMed]
- Kuwagata, T.; Numaguti, A.; Endo, N. Diurnal variation of water vapor over the central Tibetan Plateau during summer. J. Meteorol. Soc. Jpn. Ser. II 2001, 79, 401–418. [Google Scholar] [CrossRef]
- Wu, S.; Dai, G.; Song, X.; Liu, B.; Liu, L. Observations of water vapor mixing ratio profile and flux in the Tibetan Plateau based on the lidar technique. Atmos. Meas. Tech. 2016, 9, 1399–1413. [Google Scholar] [CrossRef]
- Wu, G.X.; Chen, S.J. The effect of mechanical forcing on the formation of a mesoscale vortex. Quart. J. R. Meteorol. Soc. 1985, 111, 1049–1070. [Google Scholar] [CrossRef]
- Wu, S.; Song, X.; Liu, B.; Dai, G.; Liu, J.; Zhang, K.; Qin, S.; Hua, D.; Gao, F.; Liu, L. Mobile multi-wavelength polarization Raman lidar for water vapor, cloud and aerosol measurement. Opt. Express 2015, 23, 33870–33892. [Google Scholar] [CrossRef] [PubMed]
- Qiyun, G.; Wei, L.; Yucun, Z.; Fengqin, L.; Peitao, Z. Performance test and comparative analysis of GTS1, GTS1-1 and GTS1-2 radiosondes. Meteorol. Hydrol. Mar. Instrum. 2012, 1, 7–12. [Google Scholar]
- Song, X.; Zhai, X.; Liu, L.; Wu, S. Lidar and ceilometer observations and comparisons of atmospheric cloud structure at Nagqu of Tibetan Plateau in 2014 summer. Atmosphere 2017, 8, 9. [Google Scholar] [CrossRef]
- GROß, S.; Tesche, M.; Freudenthaler, V.; Toledano, C.; Wiegner, M.; Ansmann, A.; Althausen, D.; Seefeldner, M. Characterization of Saharan dust, marine aerosols and mixtures of biomass-burning aerosols and dust by means of multi-wavelength depolarization and Raman lidar measurements during SAMUM-2. Tellus B 2011, 63, 706–724. [Google Scholar] [CrossRef]
- Freudenthaler, V.; Esselborn, M.; Wiegner, M.; Heese, B.; Tesche, M.; Ansmann, A.; Müller, D.; Althausen, D.; Wirth, M.; Fix, A. Depolarization ratio profiling at several wavelengths in pure Saharan dust during SAMUM 2006. Tellus B 2009, 61, 165–179. [Google Scholar] [CrossRef]
- Dai, G.; Wu, S.; Song, X. Depolarization ratio profiles calibration and observations of aerosol and cloud in the Tibetan Plateau based on polarization Raman lidar. Remote Sens. 2018, 10, 378. [Google Scholar] [CrossRef]
- Fernald, F.G. Analysis of atmospheric lidar observations: Some comments. Appl. Opt. 1984, 23, 652–653. [Google Scholar] [CrossRef]
- He, Q.; Li, C.; Ma, J.; Wang, H.; Shi, G.; Liang, Z.; Luan, Q.; Geng, F.; Zhou, X. The properties and formation of cirrus clouds over the Tibetan Plateau based on summertime lidar measurements. J. Atmos. Sci. 2013, 70, 901–915. [Google Scholar] [CrossRef]
- Comstock, J.M.; Sassen, K. Retrieval of cirrus cloud radiative and backscattering properties using combined lidar and infrared radiometer (LIRAD) measurements. J. Atmos. Ocean. Technol. 2001, 18, 1658–1673. [Google Scholar] [CrossRef]
- Althausen, D.; Engelmann, R.; Baars, H.; Heese, B.; Ansmann, A.; Müller, D.; Komppula, M. Portable Raman lidar PollyXT for automated profiling of aerosol backscatter, extinction, and depolarization. J. Atmos. Ocean. Technol. 2009, 26, 2366–2378. [Google Scholar] [CrossRef]
- Platt, C.M.R. Temperature dependence of cirrus extinction: Implications for climate feedback. J. Geophys. Res. 1988, 93, 11051–11058. [Google Scholar] [CrossRef]
- Sassen, K.; Cho, B.S. Subvisual-thin cirrus lidar dataset for satellite verification and climatological research. J. Appl. Meteorol. 1992, 31, 1275–1285. [Google Scholar] [CrossRef]
- Chepfer, H.; Pelon, J.; Brogniez, G.; Flamant, C.; Trouillet, V.; Flamant, P.H. Impact of cirrus cloud ice crystal shape and size on multiple scattering effects: Application to spaceborne and airborne backscatter lidar measurements during lite mission and e lite campaign. Geophys. Res. Let. 1999, 26, 2203–2206. [Google Scholar] [CrossRef]
- Macke, A.; Mueller, J.; Raschke, E. Single scattering properties of atmospheric ice crystals. J. Atmos. Sci. 1996, 53, 2813–2825. [Google Scholar] [CrossRef]
- Hogan, R.J. Fast approximate calculation of multiply scattered lidar returns. Appl. Opt. 2006, 45, 5984–5992. [Google Scholar] [CrossRef]
- Seifert, P.; Ansmann, A.; Müller, D.; Wandinger, U.; Althausen, D.; Heymsfield, A.; Massie, S.; Schmitt, C. Cirrus optical properties observed with lidar, radiosonde, and satellite over the tropical Indian ocean during the aerosol-polluted northeast and clean maritime southwest monsoon. J. Geophys. Res. 2007, 112. [Google Scholar] [CrossRef]
- Kienast-Sjögren, E.; Rolf, C.; Seifert, P.; Krieger, U.K.; Luo, B.P.; Krämer, M.; Peter, T. Climatological and radiative properties of midlatitude cirrus clouds derived by automatic evaluation of lidar measurements. Atmos. Chem. Phys. 2016, 16, 7605–7621. [Google Scholar] [CrossRef]
- Gouveia, D.A.; Barja, B.; Barbosa, H.M.; Seifert, P.; Baars, H.; Pauliquevis, T.; Artaxo, P. Optical and geometrical properties of cirrus clouds in Amazonia derived from 1 year of ground-based lidar measurements. Atmos. Chem. Phys. 2017, 17, 3619–3636. [Google Scholar] [CrossRef]
- Krämer, M.; Rolf, C.; Anna, L.; Armin, A.; Nicole, S.; Anja, C.; Jessica, M.; Martin, Z.; Jessica, S.; Robert, H. A microphysics guide to cirrus clouds-part i: Cirrus types. Atmos. Chem. Phys. 2016, 16, 346–3483. [Google Scholar] [CrossRef]
- Pal, S.R.; Steinbrecht, W.; Carswell, A.I. Automated method for lidar determination of cloud-base height and vertical extent. Appl. Opt. 1992, 31, 1488–1494. [Google Scholar] [CrossRef]
- Winker, D.; Vaughan, M. Vertical distribution of clouds over Hampton, Virginia observed by lidar under the ECLIPS and FIRE ETO programs. Atmos. Res. 1994, 34, 117–133. [Google Scholar] [CrossRef]
- Goldfarb, L.; Keckhut, P.; Chanin, M.L.; Hauchecorne, A. Cirrus climatological results from lidar measurements at OHP (44 N, 6 E). Geophys. Res. Lett. 2001, 28, 1687–1690. [Google Scholar] [CrossRef]
- Reichardt, J. Optical and geometrical properties of northern midlatitude cirrus clouds observed with a UV Raman lidar. Phys. Chem. Earth B Hydrol. Oceans Atmos. 1999, 24, 255–260. [Google Scholar] [CrossRef]
- Sassen, K.; Campbell, J.R. A midlatitude cirrus cloud climatology from the facility for atmospheric remote sensing. Part I: Macrophysical and synoptic properties. J. Atmos. Sci. 2001, 58, 481–496. [Google Scholar] [CrossRef]
- Noel, V.; Chepfer, H.; Ledanois, G.; Delaval, A.; Flamant, P.H. Classification of particle effective shape ratios in cirrus clouds based on the lidar depolarization ratio. Appl. Opt. 2002, 41, 4245–4257. [Google Scholar] [CrossRef]
- Heymsfield, A.J.; Iaquinta, J. Cirrus crystal terminal velocities. J. Atmos. Sci. 2000, 57, 916–938. [Google Scholar] [CrossRef]
- Miloshevich, L.M.; Heymsfield, A.J. A balloon-borne continuous cloud particle replicator for measuring vertical profiles of cloud microphysical properties: Instrument design, performance, and collection efficiency analysis. J. Atmos. Ocean. Technol. 1997, 14, 753–768. [Google Scholar] [CrossRef]
- Wang, Z.; Sassen, K. Cirrus cloud microphysical property retrieval using lidar and radar measurements. Part II: Midlatitude cirrus microphysical and radiative properties. J. Atmos. Sci. 2002, 59, 2291–2302. [Google Scholar] [CrossRef]
- Platt, C.; Scott, S.; Dilley, A. Remote sounding of high clouds. Part VI: Optical properties of midlatitude and tropical cirrus. J. Atmos. Sci. 1987, 44, 729–747. [Google Scholar] [CrossRef]
- Gage, K.; Green, J. An objective method for the determination of tropopause height from vhf radar observations. J. Appl. Meteorol. 1982, 21, 1150–1154. [Google Scholar] [CrossRef]
- Comstock, J.M.; Ackerman, T.P.; Mace, G.G. Ground-based lidar and radar remote sensing of tropical cirrus clouds at Nauru Island: Cloud statistics and radiative impacts. J. Geophys. Res. 2002, 107. [Google Scholar] [CrossRef]









© 2019 by the authors. Licensee MDPI, Basel, Switzerland. This article is an open access article distributed under the terms and conditions of the Creative Commons Attribution (CC BY) license (http://creativecommons.org/licenses/by/4.0/).
Share and Cite
Dai, G.; Wu, S.; Song, X.; Liu, L. Optical and Geometrical Properties of Cirrus Clouds over the Tibetan Plateau Measured by LiDAR and Radiosonde Sounding during the Summertime in 2014. Remote Sens. 2019, 11, 302. https://doi.org/10.3390/rs11030302
Dai G, Wu S, Song X, Liu L. Optical and Geometrical Properties of Cirrus Clouds over the Tibetan Plateau Measured by LiDAR and Radiosonde Sounding during the Summertime in 2014. Remote Sensing. 2019; 11(3):302. https://doi.org/10.3390/rs11030302
Chicago/Turabian StyleDai, Guangyao, Songhua Wu, Xiaoquan Song, and Liping Liu. 2019. "Optical and Geometrical Properties of Cirrus Clouds over the Tibetan Plateau Measured by LiDAR and Radiosonde Sounding during the Summertime in 2014" Remote Sensing 11, no. 3: 302. https://doi.org/10.3390/rs11030302
APA StyleDai, G., Wu, S., Song, X., & Liu, L. (2019). Optical and Geometrical Properties of Cirrus Clouds over the Tibetan Plateau Measured by LiDAR and Radiosonde Sounding during the Summertime in 2014. Remote Sensing, 11(3), 302. https://doi.org/10.3390/rs11030302

